Cập nhật lần cuối :
27/04/2026
Thuốc chống nấm   Amphotericin B  
Dạng tiêm
Dung dịch uống Khí dung Thuốc nhỏ mắt Thuốc súc miệng
Tính ổn định của các dung dịch Độ ổn định khi trộn lẫn Những yếu tố ảnh hưởng đến độ ổn định Khả năng tương thích Đường dùng Tài liệu tham khảo Pdf
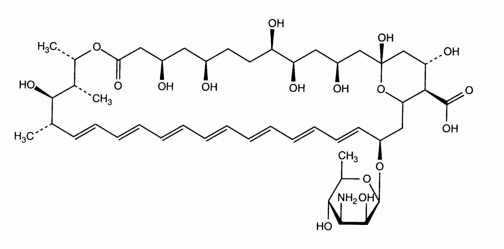
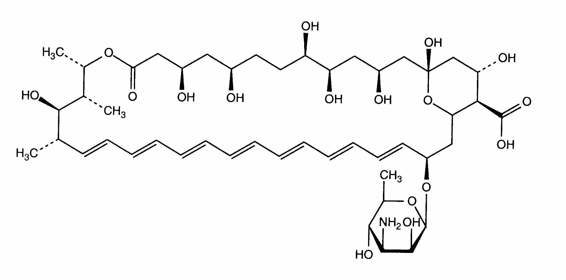
   Cấu trúc hóa học  

Tên thương mại   Tên thương mại     

Các tên thương mại được cung cấp và thành phần tá dược có thể khác nhau giữa các quốc gia và các hãng dược

Fungizone Ấn Độ, Anh, Bồ Đào Nha, Canada, Colombia, Hà Lan, Hoa Kỳ, Hungary, Hy Lạp, Iran, Ireland, Malaysia, Morocco, new zealand, Phần Lan, Pháp, Thổ Nhĩ Kỳ, Thụy Sỹ, Thụy Điển, Tunisia, Venezuela, Ý, Đan Mạch, Đức
Khả năng tương thích   Dạng tiêm   Khả năng tương thích : Amphotericin B              
Màn hình này cho biết khả năng tương thích hoặc không tương thích, trong trường hợp này là loại không tương thích (kết tủa, thay đổi màu sắc, sửa đổi nhũ tương, v.v.). Sự tương hợp được chỉ ra ở đây chủ yếu chỉ là vật lý, với độ ổn định hóa học của mỗi phân tử hiếm khi được đánh giá. Việc đánh giá các hỗn hợp này được nghiên cứu để xem xét khả năng sử dụng vị trí Y cho bệnh nhân. Những dữ liệu này không thể được sử dụng để tạo hỗn hợp trước trong túi hoặc ống tiêm. Loại thông tin này có sẵn trong màn hình "Độ ổn định trong hỗn hợp».
Phân tử Dung môi Mục lục
Tương thích
Dạng tiêm Amphotericin B 1.6 mg/ml
Dạng tiêm Aldesleukin 0.0338 MUI/ml
Glucose 5% 36
Lượng mưa ngay lập tức Không tương thích
Dạng tiêm Amphotericin B 0.6 mg/ml
Dạng tiêm Aztreonam 40 mg/ml
Glucose 5% 99
Không tương thích không xác định Không tương thích
Dạng tiêm Amphotericin B
Dung dịch Ringer’s lactate 3968
Mất độ đục Không tương thích
Dạng tiêm Amphotericin B 0.6 mg/ml
Dạng tiêm Allopurinol sodium 3 mg/ml
NaCl 0,9% 307
Độ đục ngay lập tức Không tương thích
Dạng tiêm Amphotericin B 0.6 mg/ml
Dạng tiêm Amifostine 10 mg/ml
Glucose 5% 3
Không tương thích không xác định Không tương thích
Dạng tiêm Amphotericin B
Dạng tiêm Amikacin sulfate
3549
Tương thích
Dạng tiêm Amphotericin B 0,5 mg/ml
Dạng tiêm Amiodarone hydrochloride 6 mg/ml
Glucose 5% 1611
Độ đục ngay lập tức Không tương thích
Dạng tiêm Amphotericin B 0,6 mg/ml
Dạng tiêm Anidulafungin 0,5 mg/ml
Glucose 5% 1982
Lượng mưa ngay lập tức Không tương thích
Dạng tiêm Amphotericin B
Dạng tiêm Bivalirudin
3539
Lượng mưa ngay lập tức Không tương thích
Dạng tiêm Amphotericin B 0.6 mg/ml
Dạng tiêm Bivalirudin 5 mg/ml
Glucose 5% 1713
Tương thích
Dạng tiêm Amphotericin B 0.1 mg/ml
Dạng tiêm Caffeine 10 mg/ml
Glucose 5% 4837
Tương thích
Dạng tiêm Amphotericin B 0,1 mg/ml
Dạng tiêm Caffeine citrate 20 mg/ml
Glucose 5% 4837
Tương thích
Dạng tiêm Amphotericin B
Glucose 5% 3591
Mất độ đục Không tương thích
Dạng tiêm Amphotericin B 0.6 mg/ml
Dạng tiêm Allopurinol sodium 3 mg/ml
Glucose 5% 307
Lượng mưa ngay lập tức Không tương thích
Dạng tiêm Amphotericin B 0.6 mg/ml
Dạng tiêm Amsacrine 1 mg/ml
Glucose 5% 253
Không tương thích
Dạng tiêm Amphotericin B 0.1 mg/ml
Dung dịch Ringer’s lactate 1172
Không tương thích không xác định Không tương thích
Dạng tiêm Amphotericin B
Dạng tiêm Calcium gluconate
3644
Lượng mưa sau 1 giờ Không tương thích
Dạng tiêm Amphotericin B
Dạng tiêm Cefotaxime sodium
NaCl 0,9% 3871
Độ đục ngay lập tức Không tương thích
Dạng tiêm Amphotericin B 0,6 mg/ml
Dạng tiêm Ceftaroline fosamil 2,22 mg/ml
Dung dịch Ringer’s lactate 3249
Lượng mưa ngay lập tức Không tương thích
Dạng tiêm Amphotericin B
NaCl 0,9% + chất kháng khuẩn 3591
Lượng mưa ngay lập tức Không tương thích
Dạng tiêm Amphotericin B 0.6 mg/ml
Dinh dưỡng đường tĩnh mạch (hỗn hợp 2 thành phần) 301
Lượng mưa ngay lập tức Không tương thích
Dạng tiêm Amphotericin B 1 mg/ml
Dạng tiêm Cefiderocol sulfate tosylate 20 mg/mL
NaCl 0,9% 4528
Không ổn định hóa học Không tương thích
Dạng tiêm Amphotericin B 0.1 mg/ml
Dạng tiêm Cefpirome sulfate 50 mg/ml
NaCl 0,9% 280
Độ đục ngay lập tức Không tương thích
Dạng tiêm Amphotericin B 0,6 mg/ml
Dạng tiêm Ceftaroline fosamil 2,22 mg/ml
NaCl 0,9% 3249
Lượng mưa ngay lập tức Không tương thích
Dạng tiêm Amphotericin B 0.6 mg/ml
Dạng tiêm Ceftobiprole medocaril sodium 2 mg/ml
NaCl 0,9% 2269
Lượng mưa ngay lập tức Không tương thích
Dạng tiêm Amphotericin B 0.6 mg/ml
Dinh dưỡng đường tĩnh mạch (có lipids) 1415
Độ đục ngay lập tức Không tương thích
Dạng tiêm Amphotericin B 0.1 mg/ml
Dạng tiêm Cimetidine hydrochloride 0.6 mg/ml
Glucose 5% 1201
Lượng mưa ngay lập tức Không tương thích
Dạng tiêm Amphotericin B 0,6 & 1,2 mg/ml
Dinh dưỡng đường tĩnh mạch (có lipids) 2043
Sự mất ổn định tức thì của nhũ tương Không tương thích
Dạng tiêm Amphotericin B 0.01 >> 5 mg/ml
Dinh dưỡng đường tĩnh mạch (có lipids) 1498
Độ đục ngay lập tức Không tương thích
Dạng tiêm Amphotericin B 0.1 mg/ml
Dạng tiêm Ceftolozane / tazobactam 10/5 mg/ml
Glucose 5% 3828
Lượng mưa ngay lập tức Không tương thích
Dạng tiêm Amphotericin B 1.35 mg/ml
Dinh dưỡng đường tĩnh mạch (có lipids) 793
Lượng mưa ngay lập tức Không tương thích
Dạng tiêm Amphotericin B 0.6 mg/ml
Dạng tiêm Ceftobiprole medocaril sodium 2 mg/ml
Dung dịch Ringer’s lactate 2269
Không ổn định hóa học Không tương thích
Dạng tiêm Amphotericin B 0.09 mg/ml
Dinh dưỡng đường tĩnh mạch (có lipids) 984
Không tương thích không xác định Không tương thích
Dạng tiêm Amphotericin B
Dạng tiêm Calcium gluconate
4964
Lượng mưa ngay lập tức Không tương thích
Dạng tiêm Amphotericin B 0,6 mg/ml
Dạng tiêm Caspofungin acetate 0,7 mg/ml
NaCl 0,9% 2247
Độ đục ngay lập tức Không tương thích
Dạng tiêm Amphotericin B 0,6 mg/ml
Dạng tiêm Ceftaroline fosamil 2,22 mg/ml
Glucose 5% 3249
Tương thích
Dạng tiêm Amphotericin B
Dạng tiêm Ceftazidime
3883
Không tương thích không xác định Không tương thích
Dạng tiêm Amphotericin B
Dạng tiêm Ceftobiprole medocaril sodium
4650
Lượng mưa ngay lập tức Không tương thích
Dạng tiêm Amphotericin B
Dinh dưỡng đường tĩnh mạch (có lipids) 270
Lượng mưa ngay lập tức Không tương thích
Dạng tiêm Amphotericin B 0.6 mg/ml
Dạng tiêm Ceftobiprole medocaril sodium 2 mg/ml
Glucose 5% 2269
Sự mất ổn định tức thì của nhũ tương Không tương thích
Dạng tiêm Amphotericin B 0.6 mg/ml
Dinh dưỡng đường tĩnh mạch (có lipids) 265
Lượng mưa ngay lập tức Không tương thích
Dạng tiêm Amphotericin B 1 mg/ml
Dạng tiêm Cefiderocol sulfate tosylate 20 mg/mL
Glucose 5% 4528
Không ổn định hóa học Không tương thích
Dạng tiêm Amphotericin B 0.1 mg/ml
Dạng tiêm Cefpirome sulfate 50 mg/ml
NaCl 0,45% 280
Không ổn định hóa học Không tương thích
Dạng tiêm Amphotericin B 0.1 mg/ml
Dạng tiêm Cefpirome sulfate 50 mg/ml
Dung dịch Ringer’s lactate 280
Không ổn định hóa học Không tương thích
Dạng tiêm Amphotericin B 0.1 mg/ml
Dạng tiêm Cefpirome sulfate 50 mg/ml
Glucose 5% 280
Lượng mưa ngay lập tức Không tương thích
Dạng tiêm Amphotericin B 0.1 mg/ml
Dạng tiêm Ciprofloxacin lactate 2 mg/ml
Glucose 5% 285
Lượng mưa ngay lập tức Không tương thích
Dạng tiêm Amphotericin B
NaCl 0,9% 3591
Tương thích
Dạng tiêm Amphotericin B 0.6 mg/ml
Dạng tiêm Cisatracurium besylate 0.1 mg/ml
Glucose 5% 299
Lượng mưa ngay lập tức Không tương thích
Dạng tiêm Amphotericin B 0.6 mg/ml
Dạng tiêm Cisatracurium besylate 2 & 5 mg/ml
Glucose 5% 299
Lượng mưa ngay lập tức Không tương thích
Dạng tiêm Amphotericin B 0.6 mg/ml
Dạng tiêm Dexmedetomidine 4 µg/ml
Glucose 5% 1712
Tương thích
Dạng tiêm Amphotericin B 0.1 mg/ml
Dạng tiêm Diltiazem hydrochloride 1 mg/ml
NaCl 0,9% 198
Độ đục ngay lập tức Không tương thích
Dạng tiêm Amphotericin B 0.6 mg/ml
Dạng tiêm Docetaxel 0.9 mg/ml
Glucose 5% 1754
Lượng mưa ngay lập tức Không tương thích
Dạng tiêm Amphotericin B
Dạng tiêm Dopamine hydrochloride
Glucose 5% 3638
Tương thích
Dạng tiêm Amphotericin B 0,6 mg/ml
Dạng tiêm Doripenem 5 mg/ml
Glucose 5% 2262
Lượng mưa ngay lập tức Không tương thích
Dạng tiêm Amphotericin B 0.6 mg/ml
Dạng tiêm Doxorubicin hydrochloride liposome peg 0.4 mg/ml
Glucose 5% 251
Lượng mưa ngay lập tức Không tương thích
Dạng tiêm Amphotericin B 0.6 mg/ml
Dạng tiêm Etoposide phosphate 5 mg/ml
Glucose 5% 1410
Không tương thích
Dạng tiêm Amphotericin B 0.1 mg/ml
NaCl 0,9% 1172
Lượng mưa ngay lập tức Không tương thích
Dạng tiêm Amphotericin B 0.6 mg/ml
Dạng tiêm Doripenem 5 mg/ml
NaCl 0,9% 2262
Độ đục trong 4 giờ Không tương thích
Dạng tiêm Amphotericin B 0.1 mg/ml
Dạng tiêm Enalaprilate 1.25 mg/ml
Glucose 5% 201
Độ đục trong 2 giờ Không tương thích
Dạng tiêm Amphotericin B 0.1 mg/ml
Dạng tiêm Enalaprilate 0.0125 mg/ml
Glucose 5% 1703
Tương thích
Dạng tiêm Amphotericin B 0.6 mg/ml
Dạng tiêm Famotidine 2 mg/ml
NaCl 0,9% 215
Lượng mưa ngay lập tức Không tương thích
Dạng tiêm Amphotericin B 0.6 mg/ml
Dạng tiêm Fenoldopam mesylate 80 µg/ml
NaCl 0,9% 1803
Lượng mưa ngay lập tức Không tương thích
Dạng tiêm Amphotericin B 0.6 mg/ml
Dạng tiêm Filgrastim 30 µg/ml
Glucose 5% 244
Độ đục trong một giờ Không tương thích
Dạng tiêm Amphotericin B 5 mg/ml
Dạng tiêm Fluconazole 2 mg/ml
NaCl 0,9% 496
Tương thích
Dạng tiêm Amphotericin B 0.1 mg/ml
Dạng tiêm Fluconazole 2 mg/ml
Không 256
Lượng mưa sau 4 giờ Không tương thích
Dạng tiêm Amphotericin B 0.6 mg/ml
Dạng tiêm Fludarabine phosphate 1 mg/ml
Glucose 5% 492
Không tương thích không xác định Không tương thích
Dạng tiêm Amphotericin B
Dạng tiêm Foscarnet sodium
3662
Độ đục ngay lập tức Không tương thích
Dạng tiêm Amphotericin B 0.6 mg/ml
Dạng tiêm Foscarnet sodium 24 mg/ml
Glucose 5% 1135
Lượng mưa ngay lập tức Không tương thích
Dạng tiêm Amphotericin B 5 mg/ml
Dạng tiêm Foscarnet sodium 24 mg/ml
Không 73
Độ đục ngay lập tức Không tương thích
Dạng tiêm Amphotericin B 0.1 mg/ml
Dạng tiêm Fosfomycin 30 mg/ml
Glucose 5% 4055
Lượng mưa ngay lập tức Không tương thích
Dạng tiêm Amphotericin B 0.6 mg/ml
Dạng tiêm Gemcitabine hydrochloride 10 mg/ml
NaCl 0,9% 1423
Độ đục ngay lập tức Không tương thích
Dạng tiêm Amphotericin B 0.6 mg/ml
Dạng tiêm Granisetron hydrochloride 0.05 mg/ml
Glucose 5% 182
Lượng mưa ngay lập tức Không tương thích
Dạng tiêm Amphotericin B 0.6 mg/ml
Dạng tiêm Hetastarch 60 mg/ml
dung môi cụ thể 1721
Độ đục ngay lập tức Không tương thích
Dạng tiêm Amphotericin B 0.1 mg/ml
Dạng tiêm Isavuconazonium sulfate 1.5 mg/ml
Glucose 5% 3829
Lượng mưa ngay lập tức Không tương thích
Dạng tiêm Amphotericin B 0.6 mg/ml
Dạng tiêm Lansoprazole 0.55 mg/ml
NaCl 0,9% 1625
Không tương thích không xác định Không tương thích
Dạng tiêm Amphotericin B
Dạng tiêm Lidocaine hydrochloride
5060
Lượng mưa ngay lập tức Không tương thích
Dạng tiêm Amphotericin B 0.6 mg/ml
Dạng tiêm Linezolid 2 mg/ml
Không 1925
Không tương thích không xác định Không tương thích
Dạng tiêm Amphotericin B
Dạng tiêm Linezolid
3560
Lượng mưa sau 2 giờ Không tương thích
Dạng tiêm Amphotericin B 0,04 & 0,08 mg/ml
Dạng tiêm Magnesium sulfate 2 & 4 mg/ml
Glucose 5% 682
Độ đục ngay lập tức Không tương thích
Dạng tiêm Amphotericin B 0.6 mg/ml
Dạng tiêm Melphalan 0.1 mg/ml
NaCl 0,9% 169
Không ổn định hóa học Không tương thích
Dạng tiêm Amphotericin B 0.6 mg/ml
Dạng tiêm Melphalan 0.1 mg/ml
Glucose 5% 169
Tương thích
Dạng tiêm Amphotericin B 5 mg/ml
Dạng tiêm Meropenem 1 & 50 mg/ml
NaCl 0,9% 266
Tương thích
Dạng tiêm Amphotericin B 0.2 mg/ml
Dạng tiêm Meropenem 1 & 20 mg/ml
NaCl 0,9% 266
Không tương thích không xác định Không tương thích
Dạng tiêm Amphotericin B
Dạng tiêm Metaraminol
5046
Không tương thích không xác định Không tương thích
Dạng tiêm Amphotericin B
Dạng tiêm N-acetylcysteine 200 mg/ml
Không 3766
Lượng mưa ngay lập tức Không tương thích
Dạng tiêm Amphotericin B 0,5 mg/ml
Dạng tiêm Nalbuphine hydrochloride 0,05 >>0,33 mg/ml
NaCl 0,9% 5097
Lượng mưa ngay lập tức Không tương thích
Dạng tiêm Amphotericin B 0,5 mg/ml
Dạng tiêm Nalbuphine hydrochloride 0,05 >> 0,33 mg/ml
Glucose 5% 4867
Không tương thích không xác định Không tương thích
Dạng tiêm Amphotericin B 4 mg/ml
Dạng tiêm Naloxone hydrochloride 0.4 mg/ml
Không 3408
Độ đục ngay lập tức Không tương thích
Dạng tiêm Amphotericin B 0.6 mg/ml
Dạng tiêm Ondansetron hydrochloride 1 mg/ml
Glucose 5% 334
Độ đục ngay lập tức Không tương thích
Dạng tiêm Amphotericin B 0.1 mg/ml
Dạng tiêm Oritavancin 0.8>>2 mg/ml
Glucose 5% 3152
Độ đục ngay lập tức Không tương thích
Dạng tiêm Amphotericin B 0.6 mg/ml
Dạng tiêm Paclitaxel 1.2 mg/ml
Glucose 5% 248
Độ đục trong một giờ Không tương thích
Dạng tiêm Amphotericin B
Dạng tiêm Pantoprazole sodium
2090
Lượng mưa ngay lập tức Không tương thích
Dạng tiêm Amphotericin B 0.6 mg/ml
Dạng tiêm Pemetrexed disodium 20 mg/ml
NaCl 0,9% 1953
Không tương thích không xác định Không tương thích
Dạng tiêm Amphotericin B
Dạng tiêm Penicillin G sodium
3585
Tương thích
Dạng tiêm Amphotericin B 0,1 mg/ml
Dạng tiêm Pentoxifyllin 5 mg/ml
Glucose 5% 4543
Tương thích
Dạng tiêm Amphotericin B 1 mg/ml
Dạng tiêm Phloroglucinol 2,5 mg/ml
3791
Lượng mưa ngay lập tức Không tương thích
Dạng tiêm Amphotericin B 0.6 mg/ml
Dạng tiêm Piperacillin sodium / tazobactam 40/5 mg/ml
Glucose 5% 81
Độ đục ngay lập tức Không tương thích
Dạng tiêm Amphotericin B 0,1 mg/ml
Dạng tiêm Plazomicin sulfate 24 mg/ml
NaCl 0,9% 4145
Lượng mưa ngay lập tức Không tương thích
Dạng tiêm Amphotericin B 0.6 mg/ml
Dạng tiêm Propofol 10 mg/ml
Không 300
Tương thích
Dạng tiêm Amphotericin B 0.6 mg/ml
Dạng tiêm Remifentanil hydrochloride 25 µg/ml
Glucose 5% 59
Lượng mưa ngay lập tức Không tương thích
Dạng tiêm Amphotericin B 0.6 mg/ml
Dạng tiêm Remifentanil hydrochloride 250 µg/ml
Glucose 5% 59
Không tương thích không xác định Không tương thích
Dạng tiêm Amphotericin B
Dạng tiêm Rocuronium bromide
3564
Độ đục ngay lập tức Không tương thích
Dạng tiêm Amphotericin B 50 mg/ml
Dạng tiêm Salbutamol sulfate 1 mg/ml
Không 3216
Tương thích
Dạng tiêm Amphotericin B 0.6 mg/ml
Dạng tiêm Sargramostim 10 µg/ml
Glucose 5% 335
Lượng mưa ngay lập tức Không tương thích
Dạng tiêm Amphotericin B 0.6 mg/ml
Dạng tiêm Sargramostim 10 µg/ml
NaCl 0,9% 335
Lượng mưa ngay lập tức Không tương thích
Dạng tiêm Amphotericin B 0,1 mg/ml
Dạng tiêm Sildenafil citrate 0,6 mg/ml
Glucose 5% 4845
Không ổn định hóa học Không tương thích
Dạng tiêm Amphotericin B 0.1 mg/ml
Dạng tiêm Sildenafil citrate 0,6 mg/ml
Glucose 5% 4845
Tương thích
Dạng tiêm Amphotericin B 5 mg/ml
Dạng tiêm Tacrolimus 1000 µg/ml
Nước cất pha tiêm 479
Độ đục ngay lập tức Không tương thích
Dạng tiêm Amphotericin B 0,1 mg/ml
Dạng tiêm Telavancin hydrochloride 7,5 mg/ml
Glucose 5% 3254
Tương thích
Dạng tiêm Amphotericin B 0.6 mg/ml
Dạng tiêm Teniposide 0.1 mg/ml
Glucose 5% 905
Lượng mưa ngay lập tức Không tương thích
Dạng tiêm Amphotericin B
Dạng tiêm Thiopental sodium 25 mg/ml
NaCl 0,9% 3767
Tương thích
Dạng tiêm Amphotericin B 0.6 mg/ml
Dạng tiêm Thiotepa 1 mg/ml
Glucose 5% 249
Không tương thích không xác định Không tương thích
Dạng tiêm Amphotericin B
Dạng tiêm Tigecycline
3332
Lượng mưa sau 8 giờ Không tương thích
Dạng tiêm Amphotericin B 0.1 mg/ml
Dạng tiêm Verapamil hydrochloride 0.08 mg/ml
Glucose 5% 1057
Lượng mưa ngay lập tức Không tương thích
Dạng tiêm Amphotericin B 0.1 mg/ml
Dạng tiêm Verapamil hydrochloride 0.08 mg/ml
NaCl 0,9% 1057
Lượng mưa ngay lập tức Không tương thích
Dạng tiêm Amphotericin B 0.6 mg/ml
Dạng tiêm Vinorelbine tartrate 1 mg/ml
Glucose 5% 84
Tương thích
Dạng tiêm Amphotericin B 0.6 mg/ml
Dạng tiêm Zidovudine 4 mg/ml
Glucose 5% 337
Lượng mưa ngay lập tức Không tương thích
Dạng tiêm Amphotericin B ? mg/ml
NaCl 0,9% 892
Lượng mưa ngay lập tức Không tương thích
Dạng tiêm Amphotericin B 0.6 mg/ml
Dạng tiêm Vinorelbine tartrate 1 mg/ml
NaCl 0,9% 84

  Mentions Légales