Последнее обновление :
27/04/2026
Противогрибковое средство   Amphotericin B  
Инъекция
Аэрозоль Глазные капли Ополаскиватель для полости рта Раствор для перорального приёма
Стабильность растворов Стабильность смесей Факторы, которые влияют на стабильность Совместимость Способы введения Библиография pdf
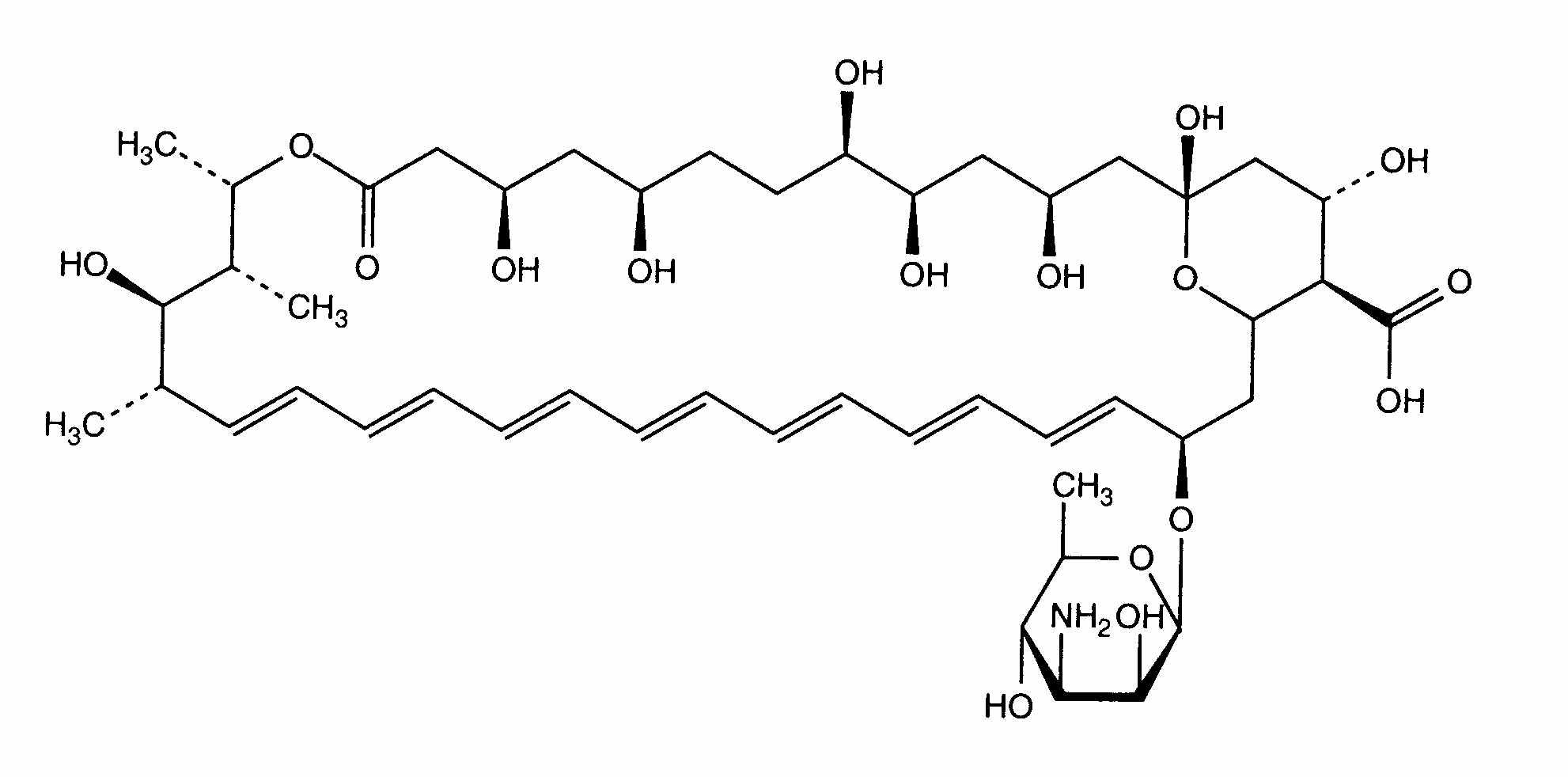
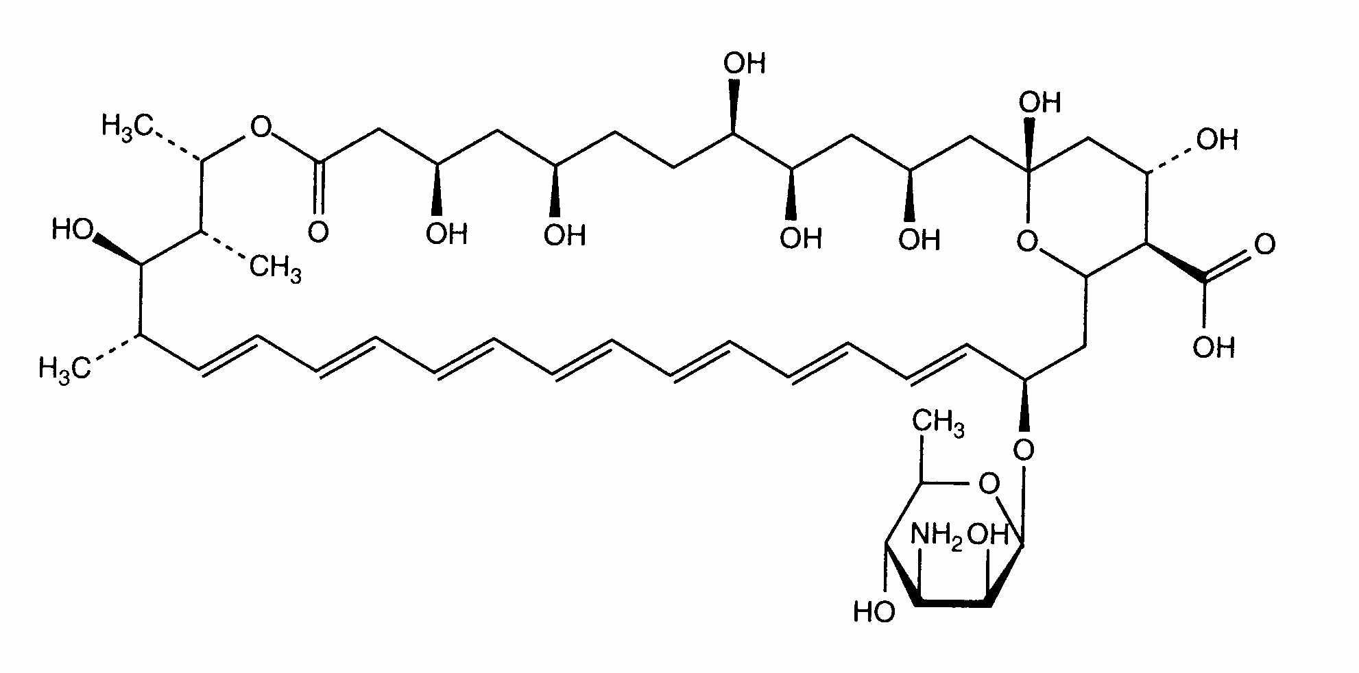
   Химическая структура  

Товарное название   Товарное название     

Trade names are indicative and excipients composition can be different depending on the country and manufacturers

Fungizone Великобритания, Венгрия, Венесуэла, Германия, Голландия, Греция, Дания, Индия, Иран, Ирландия, Италия, Канада, Колумбия, Малайзия, Марокко, новая Зеландия, Португалия, Соединённые Штаты Америки, Тунис, Турция, Финляндия, Франция, Швейцария, Швеция
Совместимость   Инъекция   Совместимость : Amphotericin B              
Эта таблица показывает совместимость или несовместимость препаратов, по возможности тип несовместимости (преципитат, смена цвета, разложение эмульсии и др.). Показанные здесь совместимости в основном физические, по возможности указана и химическая стабильность каждой молекулы. Анализ этих смесей произведён для исследования возможности ввести препараты пациенту в Y-соединении систем. Эти данные нельзя использовать, чтобы приготовить лекарства на будущее в мешках или шприцах. Эта информация доступна в разделе "Стабильность смесей".
Молекула Растворитель Ссылки
совместимый
Инъекция Amphotericin B 1.6 mg/ml
Инъекция Aldesleukin 0.0338 MUI/ml
Глюкоза 5% 36
Немедленные осадки несовместимый
Инъекция Amphotericin B 0.6 mg/ml
Инъекция Aztreonam 40 mg/ml
Глюкоза 5% 99
Неопределенная несовместимость несовместимый
Инъекция Amphotericin B
Раствор Рингера лактата 3968
Потеря мутности несовместимый
Инъекция Amphotericin B 0.6 mg/ml
Инъекция Allopurinol sodium 3 mg/ml
Натрия хлорид 0,9% 307
Немедленная мутность несовместимый
Инъекция Amphotericin B 0.6 mg/ml
Инъекция Amifostine 10 mg/ml
Глюкоза 5% 3
Неопределенная несовместимость несовместимый
Инъекция Amphotericin B
Инъекция Amikacin sulfate
3549
совместимый
Инъекция Amphotericin B 0,5 mg/ml
Инъекция Amiodarone hydrochloride 6 mg/ml
Глюкоза 5% 1611
Немедленная мутность несовместимый
Инъекция Amphotericin B 0,6 mg/ml
Инъекция Anidulafungin 0,5 mg/ml
Глюкоза 5% 1982
Немедленные осадки несовместимый
Инъекция Amphotericin B
Инъекция Bivalirudin
3539
Немедленные осадки несовместимый
Инъекция Amphotericin B 0.6 mg/ml
Инъекция Bivalirudin 5 mg/ml
Глюкоза 5% 1713
совместимый
Инъекция Amphotericin B 0.1 mg/ml
Инъекция Caffeine 10 mg/ml
Глюкоза 5% 4837
совместимый
Инъекция Amphotericin B 0,1 mg/ml
Инъекция Caffeine citrate 20 mg/ml
Глюкоза 5% 4837
совместимый
Инъекция Amphotericin B
Глюкоза 5% 3591
Потеря мутности несовместимый
Инъекция Amphotericin B 0.6 mg/ml
Инъекция Allopurinol sodium 3 mg/ml
Глюкоза 5% 307
Немедленные осадки несовместимый
Инъекция Amphotericin B 0.6 mg/ml
Инъекция Amsacrine 1 mg/ml
Глюкоза 5% 253
несовместимый
Инъекция Amphotericin B 0.1 mg/ml
Раствор Рингера лактата 1172
Неопределенная несовместимость несовместимый
Инъекция Amphotericin B
Инъекция Calcium gluconate
3644
Осадки через 1 час несовместимый
Инъекция Amphotericin B
Инъекция Cefotaxime sodium
Натрия хлорид 0,9% 3871
Немедленная мутность несовместимый
Инъекция Amphotericin B 0,6 mg/ml
Инъекция Ceftaroline fosamil 2,22 mg/ml
Раствор Рингера лактата 3249
Немедленные осадки несовместимый
Инъекция Amphotericin B
NaCl 0,9% + антибактериальный 3591
Немедленные осадки несовместимый
Инъекция Amphotericin B 0.6 mg/ml
Парентеральное питание (бинарная смесь) 301
Немедленные осадки несовместимый
Инъекция Amphotericin B 1 mg/ml
Инъекция Cefiderocol sulfate tosylate 20 mg/mL
Натрия хлорид 0,9% 4528
Химическая нестабильность несовместимый
Инъекция Amphotericin B 0.1 mg/ml
Инъекция Cefpirome sulfate 50 mg/ml
Натрия хлорид 0,9% 280
Немедленная мутность несовместимый
Инъекция Amphotericin B 0,6 mg/ml
Инъекция Ceftaroline fosamil 2,22 mg/ml
Натрия хлорид 0,9% 3249
Немедленные осадки несовместимый
Инъекция Amphotericin B 0.6 mg/ml
Инъекция Ceftobiprole medocaril sodium 2 mg/ml
Натрия хлорид 0,9% 2269
Немедленные осадки несовместимый
Инъекция Amphotericin B 0.6 mg/ml
Парентеральное питание (с липидами) 1415
Немедленная мутность несовместимый
Инъекция Amphotericin B 0.1 mg/ml
Инъекция Cimetidine hydrochloride 0.6 mg/ml
Глюкоза 5% 1201
Немедленные осадки несовместимый
Инъекция Amphotericin B 0,6 & 1,2 mg/ml
Парентеральное питание (с липидами) 2043
Немедленная нестабильность эмульсии несовместимый
Инъекция Amphotericin B 0.01 >> 5 mg/ml
Парентеральное питание (с липидами) 1498
Немедленная мутность несовместимый
Инъекция Amphotericin B 0.1 mg/ml
Инъекция Ceftolozane / tazobactam 10/5 mg/ml
Глюкоза 5% 3828
Немедленные осадки несовместимый
Инъекция Amphotericin B 1.35 mg/ml
Парентеральное питание (с липидами) 793
Немедленные осадки несовместимый
Инъекция Amphotericin B 0.6 mg/ml
Инъекция Ceftobiprole medocaril sodium 2 mg/ml
Раствор Рингера лактата 2269
Химическая нестабильность несовместимый
Инъекция Amphotericin B 0.09 mg/ml
Парентеральное питание (с липидами) 984
Неопределенная несовместимость несовместимый
Инъекция Amphotericin B
Инъекция Calcium gluconate
4964
Немедленные осадки несовместимый
Инъекция Amphotericin B 0,6 mg/ml
Инъекция Caspofungin acetate 0,7 mg/ml
Натрия хлорид 0,9% 2247
Немедленная мутность несовместимый
Инъекция Amphotericin B 0,6 mg/ml
Инъекция Ceftaroline fosamil 2,22 mg/ml
Глюкоза 5% 3249
совместимый
Инъекция Amphotericin B
Инъекция Ceftazidime
3883
Неопределенная несовместимость несовместимый
Инъекция Amphotericin B
Инъекция Ceftobiprole medocaril sodium
4650
Немедленные осадки несовместимый
Инъекция Amphotericin B
Парентеральное питание (с липидами) 270
Немедленные осадки несовместимый
Инъекция Amphotericin B 0.6 mg/ml
Инъекция Ceftobiprole medocaril sodium 2 mg/ml
Глюкоза 5% 2269
Немедленная нестабильность эмульсии несовместимый
Инъекция Amphotericin B 0.6 mg/ml
Парентеральное питание (с липидами) 265
Немедленные осадки несовместимый
Инъекция Amphotericin B 1 mg/ml
Инъекция Cefiderocol sulfate tosylate 20 mg/mL
Глюкоза 5% 4528
Химическая нестабильность несовместимый
Инъекция Amphotericin B 0.1 mg/ml
Инъекция Cefpirome sulfate 50 mg/ml
Натрия хлорид 0,45% 280
Химическая нестабильность несовместимый
Инъекция Amphotericin B 0.1 mg/ml
Инъекция Cefpirome sulfate 50 mg/ml
Раствор Рингера лактата 280
Химическая нестабильность несовместимый
Инъекция Amphotericin B 0.1 mg/ml
Инъекция Cefpirome sulfate 50 mg/ml
Глюкоза 5% 280
Немедленные осадки несовместимый
Инъекция Amphotericin B 0.1 mg/ml
Инъекция Ciprofloxacin lactate 2 mg/ml
Глюкоза 5% 285
Немедленные осадки несовместимый
Инъекция Amphotericin B
Натрия хлорид 0,9% 3591
совместимый
Инъекция Amphotericin B 0.6 mg/ml
Инъекция Cisatracurium besylate 0.1 mg/ml
Глюкоза 5% 299
Немедленные осадки несовместимый
Инъекция Amphotericin B 0.6 mg/ml
Инъекция Cisatracurium besylate 2 & 5 mg/ml
Глюкоза 5% 299
Немедленные осадки несовместимый
Инъекция Amphotericin B 0.6 mg/ml
Инъекция Dexmedetomidine 4 µg/ml
Глюкоза 5% 1712
совместимый
Инъекция Amphotericin B 0.1 mg/ml
Инъекция Diltiazem hydrochloride 1 mg/ml
Натрия хлорид 0,9% 198
Немедленная мутность несовместимый
Инъекция Amphotericin B 0.6 mg/ml
Инъекция Docetaxel 0.9 mg/ml
Глюкоза 5% 1754
Немедленные осадки несовместимый
Инъекция Amphotericin B
Инъекция Dopamine hydrochloride
Глюкоза 5% 3638
совместимый
Инъекция Amphotericin B 0,6 mg/ml
Инъекция Doripenem 5 mg/ml
Глюкоза 5% 2262
Немедленные осадки несовместимый
Инъекция Amphotericin B 0.6 mg/ml
Инъекция Doxorubicin hydrochloride liposome peg 0.4 mg/ml
Глюкоза 5% 251
Немедленные осадки несовместимый
Инъекция Amphotericin B 0.6 mg/ml
Инъекция Etoposide phosphate 5 mg/ml
Глюкоза 5% 1410
несовместимый
Инъекция Amphotericin B 0.1 mg/ml
Натрия хлорид 0,9% 1172
Немедленные осадки несовместимый
Инъекция Amphotericin B 0.6 mg/ml
Инъекция Doripenem 5 mg/ml
Натрия хлорид 0,9% 2262
Мутность за 4 часа несовместимый
Инъекция Amphotericin B 0.1 mg/ml
Инъекция Enalaprilate 1.25 mg/ml
Глюкоза 5% 201
Мутность через 2 часа несовместимый
Инъекция Amphotericin B 0.1 mg/ml
Инъекция Enalaprilate 0.0125 mg/ml
Глюкоза 5% 1703
совместимый
Инъекция Amphotericin B 0.6 mg/ml
Инъекция Famotidine 2 mg/ml
Натрия хлорид 0,9% 215
Немедленные осадки несовместимый
Инъекция Amphotericin B 0.6 mg/ml
Инъекция Fenoldopam mesylate 80 µg/ml
Натрия хлорид 0,9% 1803
Немедленные осадки несовместимый
Инъекция Amphotericin B 0.6 mg/ml
Инъекция Filgrastim 30 µg/ml
Глюкоза 5% 244
Мутность за один час несовместимый
Инъекция Amphotericin B 5 mg/ml
Инъекция Fluconazole 2 mg/ml
Натрия хлорид 0,9% 496
совместимый
Инъекция Amphotericin B 0.1 mg/ml
Инъекция Fluconazole 2 mg/ml
Нет 256
Осадки через 4 часа несовместимый
Инъекция Amphotericin B 0.6 mg/ml
Инъекция Fludarabine phosphate 1 mg/ml
Глюкоза 5% 492
Неопределенная несовместимость несовместимый
Инъекция Amphotericin B
Инъекция Foscarnet sodium
3662
Немедленная мутность несовместимый
Инъекция Amphotericin B 0.6 mg/ml
Инъекция Foscarnet sodium 24 mg/ml
Глюкоза 5% 1135
Немедленные осадки несовместимый
Инъекция Amphotericin B 5 mg/ml
Инъекция Foscarnet sodium 24 mg/ml
Нет 73
Немедленная мутность несовместимый
Инъекция Amphotericin B 0.1 mg/ml
Инъекция Fosfomycin 30 mg/ml
Глюкоза 5% 4055
Немедленные осадки несовместимый
Инъекция Amphotericin B 0.6 mg/ml
Инъекция Gemcitabine hydrochloride 10 mg/ml
Натрия хлорид 0,9% 1423
Немедленная мутность несовместимый
Инъекция Amphotericin B 0.6 mg/ml
Инъекция Granisetron hydrochloride 0.05 mg/ml
Глюкоза 5% 182
Немедленные осадки несовместимый
Инъекция Amphotericin B 0.6 mg/ml
Инъекция Hetastarch 60 mg/ml
Конкретные растворителя 1721
Немедленная мутность несовместимый
Инъекция Amphotericin B 0.1 mg/ml
Инъекция Isavuconazonium sulfate 1.5 mg/ml
Глюкоза 5% 3829
Немедленные осадки несовместимый
Инъекция Amphotericin B 0.6 mg/ml
Инъекция Lansoprazole 0.55 mg/ml
Натрия хлорид 0,9% 1625
Неопределенная несовместимость несовместимый
Инъекция Amphotericin B
Инъекция Lidocaine hydrochloride
5060
Немедленные осадки несовместимый
Инъекция Amphotericin B 0.6 mg/ml
Инъекция Linezolid 2 mg/ml
Нет 1925
Неопределенная несовместимость несовместимый
Инъекция Amphotericin B
Инъекция Linezolid
3560
Осадки через 2 часа несовместимый
Инъекция Amphotericin B 0,04 & 0,08 mg/ml
Инъекция Magnesium sulfate 2 & 4 mg/ml
Глюкоза 5% 682
Немедленная мутность несовместимый
Инъекция Amphotericin B 0.6 mg/ml
Инъекция Melphalan 0.1 mg/ml
Натрия хлорид 0,9% 169
Химическая нестабильность несовместимый
Инъекция Amphotericin B 0.6 mg/ml
Инъекция Melphalan 0.1 mg/ml
Глюкоза 5% 169
совместимый
Инъекция Amphotericin B 5 mg/ml
Инъекция Meropenem 1 & 50 mg/ml
Натрия хлорид 0,9% 266
совместимый
Инъекция Amphotericin B 0.2 mg/ml
Инъекция Meropenem 1 & 20 mg/ml
Натрия хлорид 0,9% 266
Неопределенная несовместимость несовместимый
Инъекция Amphotericin B
Инъекция Metaraminol
5046
Неопределенная несовместимость несовместимый
Инъекция Amphotericin B
Инъекция N-acetylcysteine 200 mg/ml
Нет 3766
Немедленные осадки несовместимый
Инъекция Amphotericin B 0,5 mg/ml
Инъекция Nalbuphine hydrochloride 0,05 >>0,33 mg/ml
Натрия хлорид 0,9% 5097
Немедленные осадки несовместимый
Инъекция Amphotericin B 0,5 mg/ml
Инъекция Nalbuphine hydrochloride 0,05 >> 0,33 mg/ml
Глюкоза 5% 4867
Неопределенная несовместимость несовместимый
Инъекция Amphotericin B 4 mg/ml
Инъекция Naloxone hydrochloride 0.4 mg/ml
Нет 3408
Немедленная мутность несовместимый
Инъекция Amphotericin B 0.6 mg/ml
Инъекция Ondansetron hydrochloride 1 mg/ml
Глюкоза 5% 334
Немедленная мутность несовместимый
Инъекция Amphotericin B 0.1 mg/ml
Инъекция Oritavancin 0.8>>2 mg/ml
Глюкоза 5% 3152
Немедленная мутность несовместимый
Инъекция Amphotericin B 0.6 mg/ml
Инъекция Paclitaxel 1.2 mg/ml
Глюкоза 5% 248
Мутность за один час несовместимый
Инъекция Amphotericin B
Инъекция Pantoprazole sodium
2090
Немедленные осадки несовместимый
Инъекция Amphotericin B 0.6 mg/ml
Инъекция Pemetrexed disodium 20 mg/ml
Натрия хлорид 0,9% 1953
Неопределенная несовместимость несовместимый
Инъекция Amphotericin B
Инъекция Penicillin G sodium
3585
совместимый
Инъекция Amphotericin B 0,1 mg/ml
Инъекция Pentoxifyllin 5 mg/ml
Глюкоза 5% 4543
совместимый
Инъекция Amphotericin B 1 mg/ml
Инъекция Phloroglucinol 2,5 mg/ml
3791
Немедленные осадки несовместимый
Инъекция Amphotericin B 0.6 mg/ml
Инъекция Piperacillin sodium / tazobactam 40/5 mg/ml
Глюкоза 5% 81
Немедленная мутность несовместимый
Инъекция Amphotericin B 0,1 mg/ml
Инъекция Plazomicin sulfate 24 mg/ml
Натрия хлорид 0,9% 4145
Немедленные осадки несовместимый
Инъекция Amphotericin B 0.6 mg/ml
Инъекция Propofol 10 mg/ml
Нет 300
совместимый
Инъекция Amphotericin B 0.6 mg/ml
Инъекция Remifentanil hydrochloride 25 µg/ml
Глюкоза 5% 59
Немедленные осадки несовместимый
Инъекция Amphotericin B 0.6 mg/ml
Инъекция Remifentanil hydrochloride 250 µg/ml
Глюкоза 5% 59
Неопределенная несовместимость несовместимый
Инъекция Amphotericin B
Инъекция Rocuronium bromide
3564
Немедленная мутность несовместимый
Инъекция Amphotericin B 50 mg/ml
Инъекция Salbutamol sulfate 1 mg/ml
Нет 3216
совместимый
Инъекция Amphotericin B 0.6 mg/ml
Инъекция Sargramostim 10 µg/ml
Глюкоза 5% 335
Немедленные осадки несовместимый
Инъекция Amphotericin B 0.6 mg/ml
Инъекция Sargramostim 10 µg/ml
Натрия хлорид 0,9% 335
Немедленные осадки несовместимый
Инъекция Amphotericin B 0,1 mg/ml
Инъекция Sildenafil citrate 0,6 mg/ml
Глюкоза 5% 4845
Химическая нестабильность несовместимый
Инъекция Amphotericin B 0.1 mg/ml
Инъекция Sildenafil citrate 0,6 mg/ml
Глюкоза 5% 4845
совместимый
Инъекция Amphotericin B 5 mg/ml
Инъекция Tacrolimus 1000 µg/ml
Вода для инъекций 479
Немедленная мутность несовместимый
Инъекция Amphotericin B 0,1 mg/ml
Инъекция Telavancin hydrochloride 7,5 mg/ml
Глюкоза 5% 3254
совместимый
Инъекция Amphotericin B 0.6 mg/ml
Инъекция Teniposide 0.1 mg/ml
Глюкоза 5% 905
Немедленные осадки несовместимый
Инъекция Amphotericin B
Инъекция Thiopental sodium 25 mg/ml
Натрия хлорид 0,9% 3767
совместимый
Инъекция Amphotericin B 0.6 mg/ml
Инъекция Thiotepa 1 mg/ml
Глюкоза 5% 249
Неопределенная несовместимость несовместимый
Инъекция Amphotericin B
Инъекция Tigecycline
3332
Осадки через 8 часа несовместимый
Инъекция Amphotericin B 0.1 mg/ml
Инъекция Verapamil hydrochloride 0.08 mg/ml
Глюкоза 5% 1057
Немедленные осадки несовместимый
Инъекция Amphotericin B 0.1 mg/ml
Инъекция Verapamil hydrochloride 0.08 mg/ml
Натрия хлорид 0,9% 1057
Немедленные осадки несовместимый
Инъекция Amphotericin B 0.6 mg/ml
Инъекция Vinorelbine tartrate 1 mg/ml
Глюкоза 5% 84
совместимый
Инъекция Amphotericin B 0.6 mg/ml
Инъекция Zidovudine 4 mg/ml
Глюкоза 5% 337
Немедленные осадки несовместимый
Инъекция Amphotericin B ? mg/ml
Натрия хлорид 0,9% 892
Немедленные осадки несовместимый
Инъекция Amphotericin B 0.6 mg/ml
Инъекция Vinorelbine tartrate 1 mg/ml
Натрия хлорид 0,9% 84

  Mentions Légales