zadnja posodobitev :
27/04/2026
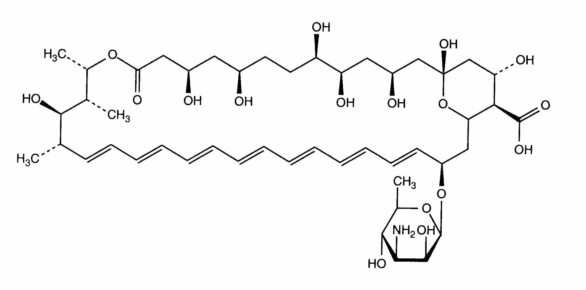
Antimikotik   Amphotericin B  
Brizgalka
Aerosol Kapljice za oči Peroralna raztopina Ustna voda
Stabilnost raztopine Stabilnost mešanice Faktorji, ki vplivajo na stabilnost Kompatibilnost način aplikacije Viri pdf
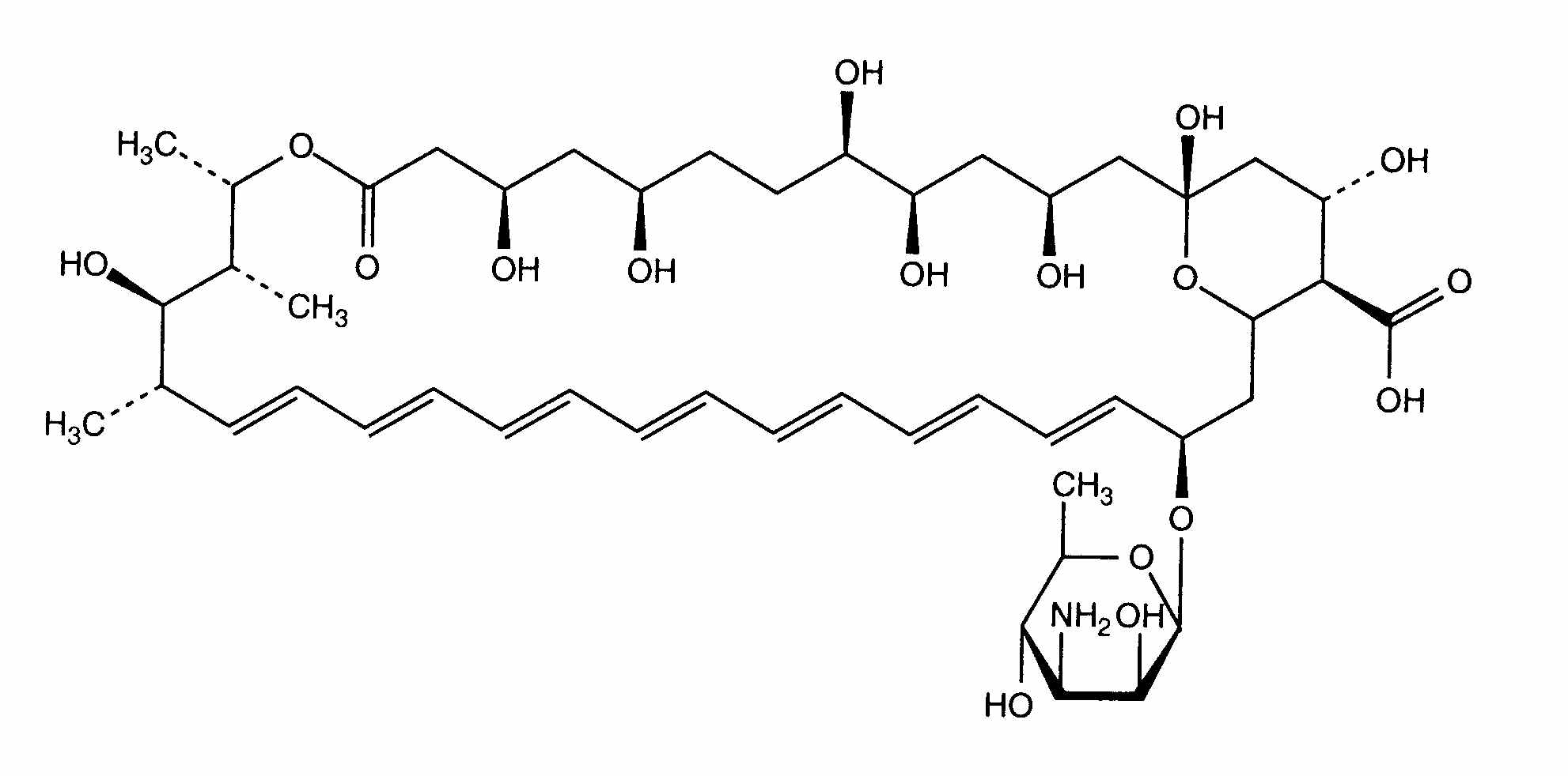
   Kemična formula  

Lastniško ime   Lastniško ime     

Sestava pomožnih snovi je med paralelami lahko različna

Fungizone Danska, Finska, Francija, Grčija, Indija, Iran, Irska, Italija, Kanada, Kolumbija, Madžarska, Malezija, Maroko, Nemčija, Nizozemska, nova Zelandija, Portugalska, Švedska, Švica, Tunizija, Turčija, Velika Britanija, Venezuela, Združene države Amerike
Kompatibilnost   Brizgalka   Kompatibilnost : Amphotericin B              
Ta zaslon prikazuje združljivost ali nezdružljivost s, v tem primeru, vrsto nezdružljivosti (padavine, sprememba barve, sprememba emulzije itd.). Tu prikazane združljivosti so večinoma samo fizične, pri čemer se kemijska stabilnost vsake molekule redko ocenjuje. Vrednotenje teh zmesi so preučevali, da bi preučili možnost pacientovega dajanja na mestu Y. Teh podatkov ni mogoče uporabiti za pripravo mešanic v vrečkah ali brizgah. Ta vrsta informacij je na voljo na zaslonu "Obstojnost v mešanici".
Sestava Topilo Viri
Združljivo
Brizgalka Amphotericin B 1.6 mg/ml
Brizgalka Aldesleukin 0.0338 MUI/ml
Glukoza 5% 36
Takoj padavine Nezdružljivo
Brizgalka Amphotericin B 0.6 mg/ml
Brizgalka Aztreonam 40 mg/ml
Glukoza 5% 99
Nedoločena nezdružljivost Nezdružljivo
Brizgalka Amphotericin B
Ringerjev laktat 3968
Izguba motnosti Nezdružljivo
Brizgalka Amphotericin B 0.6 mg/ml
Brizgalka Allopurinol sodium 3 mg/ml
Natrijev klorid 0,9% 307
Takojšnja motnost Nezdružljivo
Brizgalka Amphotericin B 0.6 mg/ml
Brizgalka Amifostine 10 mg/ml
Glukoza 5% 3
Nedoločena nezdružljivost Nezdružljivo
Brizgalka Amphotericin B
Brizgalka Amikacin sulfate
3549
Združljivo
Brizgalka Amphotericin B 0,5 mg/ml
Brizgalka Amiodarone hydrochloride 6 mg/ml
Glukoza 5% 1611
Takojšnja motnost Nezdružljivo
Brizgalka Amphotericin B 0,6 mg/ml
Brizgalka Anidulafungin 0,5 mg/ml
Glukoza 5% 1982
Takoj padavine Nezdružljivo
Brizgalka Amphotericin B
Brizgalka Bivalirudin
3539
Takoj padavine Nezdružljivo
Brizgalka Amphotericin B 0.6 mg/ml
Brizgalka Bivalirudin 5 mg/ml
Glukoza 5% 1713
Združljivo
Brizgalka Amphotericin B 0.1 mg/ml
Brizgalka Caffeine 10 mg/ml
Glukoza 5% 4837
Združljivo
Brizgalka Amphotericin B 0,1 mg/ml
Brizgalka Caffeine citrate 20 mg/ml
Glukoza 5% 4837
Združljivo
Brizgalka Amphotericin B
Glukoza 5% 3591
Izguba motnosti Nezdružljivo
Brizgalka Amphotericin B 0.6 mg/ml
Brizgalka Allopurinol sodium 3 mg/ml
Glukoza 5% 307
Takoj padavine Nezdružljivo
Brizgalka Amphotericin B 0.6 mg/ml
Brizgalka Amsacrine 1 mg/ml
Glukoza 5% 253
Nezdružljivo
Brizgalka Amphotericin B 0.1 mg/ml
Ringerjev laktat 1172
Nedoločena nezdružljivost Nezdružljivo
Brizgalka Amphotericin B
Brizgalka Calcium gluconate
3644
Padavine po 1 uri Nezdružljivo
Brizgalka Amphotericin B
Brizgalka Cefotaxime sodium
Natrijev klorid 0,9% 3871
Takojšnja motnost Nezdružljivo
Brizgalka Amphotericin B 0,6 mg/ml
Brizgalka Ceftaroline fosamil 2,22 mg/ml
Ringerjev laktat 3249
Takoj padavine Nezdružljivo
Brizgalka Amphotericin B
NaCl 0,9%  + bakteriostatik 3591
Takoj padavine Nezdružljivo
Brizgalka Amphotericin B 0.6 mg/ml
Parenteralna prehrana (binarno zmes) 301
Takoj padavine Nezdružljivo
Brizgalka Amphotericin B 1 mg/ml
Brizgalka Cefiderocol sulfate tosylate 20 mg/mL
Natrijev klorid 0,9% 4528
Kemijska nestabilnost Nezdružljivo
Brizgalka Amphotericin B 0.1 mg/ml
Brizgalka Cefpirome sulfate 50 mg/ml
Natrijev klorid 0,9% 280
Takojšnja motnost Nezdružljivo
Brizgalka Amphotericin B 0,6 mg/ml
Brizgalka Ceftaroline fosamil 2,22 mg/ml
Natrijev klorid 0,9% 3249
Takoj padavine Nezdružljivo
Brizgalka Amphotericin B 0.6 mg/ml
Brizgalka Ceftobiprole medocaril sodium 2 mg/ml
Natrijev klorid 0,9% 2269
Takoj padavine Nezdružljivo
Brizgalka Amphotericin B 0.6 mg/ml
Parenteralna prehrana (z lipidi) 1415
Takojšnja motnost Nezdružljivo
Brizgalka Amphotericin B 0.1 mg/ml
Brizgalka Cimetidine hydrochloride 0.6 mg/ml
Glukoza 5% 1201
Takoj padavine Nezdružljivo
Brizgalka Amphotericin B 0,6 & 1,2 mg/ml
Parenteralna prehrana (z lipidi) 2043
Takojšnja nestabilnost emulzije Nezdružljivo
Brizgalka Amphotericin B 0.01 >> 5 mg/ml
Parenteralna prehrana (z lipidi) 1498
Takojšnja motnost Nezdružljivo
Brizgalka Amphotericin B 0.1 mg/ml
Brizgalka Ceftolozane / tazobactam 10/5 mg/ml
Glukoza 5% 3828
Takoj padavine Nezdružljivo
Brizgalka Amphotericin B 1.35 mg/ml
Parenteralna prehrana (z lipidi) 793
Takoj padavine Nezdružljivo
Brizgalka Amphotericin B 0.6 mg/ml
Brizgalka Ceftobiprole medocaril sodium 2 mg/ml
Ringerjev laktat 2269
Kemijska nestabilnost Nezdružljivo
Brizgalka Amphotericin B 0.09 mg/ml
Parenteralna prehrana (z lipidi) 984
Nedoločena nezdružljivost Nezdružljivo
Brizgalka Amphotericin B
Brizgalka Calcium gluconate
4964
Takoj padavine Nezdružljivo
Brizgalka Amphotericin B 0,6 mg/ml
Brizgalka Caspofungin acetate 0,7 mg/ml
Natrijev klorid 0,9% 2247
Takojšnja motnost Nezdružljivo
Brizgalka Amphotericin B 0,6 mg/ml
Brizgalka Ceftaroline fosamil 2,22 mg/ml
Glukoza 5% 3249
Združljivo
Brizgalka Amphotericin B
Brizgalka Ceftazidime
3883
Nedoločena nezdružljivost Nezdružljivo
Brizgalka Amphotericin B
Brizgalka Ceftobiprole medocaril sodium
4650
Takoj padavine Nezdružljivo
Brizgalka Amphotericin B
Parenteralna prehrana (z lipidi) 270
Takoj padavine Nezdružljivo
Brizgalka Amphotericin B 0.6 mg/ml
Brizgalka Ceftobiprole medocaril sodium 2 mg/ml
Glukoza 5% 2269
Takojšnja nestabilnost emulzije Nezdružljivo
Brizgalka Amphotericin B 0.6 mg/ml
Parenteralna prehrana (z lipidi) 265
Takoj padavine Nezdružljivo
Brizgalka Amphotericin B 1 mg/ml
Brizgalka Cefiderocol sulfate tosylate 20 mg/mL
Glukoza 5% 4528
Kemijska nestabilnost Nezdružljivo
Brizgalka Amphotericin B 0.1 mg/ml
Brizgalka Cefpirome sulfate 50 mg/ml
Natrijev klorid 0,45% 280
Kemijska nestabilnost Nezdružljivo
Brizgalka Amphotericin B 0.1 mg/ml
Brizgalka Cefpirome sulfate 50 mg/ml
Ringerjev laktat 280
Kemijska nestabilnost Nezdružljivo
Brizgalka Amphotericin B 0.1 mg/ml
Brizgalka Cefpirome sulfate 50 mg/ml
Glukoza 5% 280
Takoj padavine Nezdružljivo
Brizgalka Amphotericin B 0.1 mg/ml
Brizgalka Ciprofloxacin lactate 2 mg/ml
Glukoza 5% 285
Takoj padavine Nezdružljivo
Brizgalka Amphotericin B
Natrijev klorid 0,9% 3591
Združljivo
Brizgalka Amphotericin B 0.6 mg/ml
Brizgalka Cisatracurium besylate 0.1 mg/ml
Glukoza 5% 299
Takoj padavine Nezdružljivo
Brizgalka Amphotericin B 0.6 mg/ml
Brizgalka Cisatracurium besylate 2 & 5 mg/ml
Glukoza 5% 299
Takoj padavine Nezdružljivo
Brizgalka Amphotericin B 0.6 mg/ml
Brizgalka Dexmedetomidine 4 µg/ml
Glukoza 5% 1712
Združljivo
Brizgalka Amphotericin B 0.1 mg/ml
Brizgalka Diltiazem hydrochloride 1 mg/ml
Natrijev klorid 0,9% 198
Takojšnja motnost Nezdružljivo
Brizgalka Amphotericin B 0.6 mg/ml
Brizgalka Docetaxel 0.9 mg/ml
Glukoza 5% 1754
Takoj padavine Nezdružljivo
Brizgalka Amphotericin B
Brizgalka Dopamine hydrochloride
Glukoza 5% 3638
Združljivo
Brizgalka Amphotericin B 0,6 mg/ml
Brizgalka Doripenem 5 mg/ml
Glukoza 5% 2262
Takoj padavine Nezdružljivo
Brizgalka Amphotericin B 0.6 mg/ml
Brizgalka Doxorubicin hydrochloride liposome peg 0.4 mg/ml
Glukoza 5% 251
Takoj padavine Nezdružljivo
Brizgalka Amphotericin B 0.6 mg/ml
Brizgalka Etoposide phosphate 5 mg/ml
Glukoza 5% 1410
Nezdružljivo
Brizgalka Amphotericin B 0.1 mg/ml
Natrijev klorid 0,9% 1172
Takoj padavine Nezdružljivo
Brizgalka Amphotericin B 0.6 mg/ml
Brizgalka Doripenem 5 mg/ml
Natrijev klorid 0,9% 2262
Motnost v 4 urah Nezdružljivo
Brizgalka Amphotericin B 0.1 mg/ml
Brizgalka Enalaprilate 1.25 mg/ml
Glukoza 5% 201
Motnost v 2 urah Nezdružljivo
Brizgalka Amphotericin B 0.1 mg/ml
Brizgalka Enalaprilate 0.0125 mg/ml
Glukoza 5% 1703
Združljivo
Brizgalka Amphotericin B 0.6 mg/ml
Brizgalka Famotidine 2 mg/ml
Natrijev klorid 0,9% 215
Takoj padavine Nezdružljivo
Brizgalka Amphotericin B 0.6 mg/ml
Brizgalka Fenoldopam mesylate 80 µg/ml
Natrijev klorid 0,9% 1803
Takoj padavine Nezdružljivo
Brizgalka Amphotericin B 0.6 mg/ml
Brizgalka Filgrastim 30 µg/ml
Glukoza 5% 244
Motnost v eni uri Nezdružljivo
Brizgalka Amphotericin B 5 mg/ml
Brizgalka Fluconazole 2 mg/ml
Natrijev klorid 0,9% 496
Združljivo
Brizgalka Amphotericin B 0.1 mg/ml
Brizgalka Fluconazole 2 mg/ml
Nobeden 256
Padavine po 4 urah Nezdružljivo
Brizgalka Amphotericin B 0.6 mg/ml
Brizgalka Fludarabine phosphate 1 mg/ml
Glukoza 5% 492
Nedoločena nezdružljivost Nezdružljivo
Brizgalka Amphotericin B
Brizgalka Foscarnet sodium
3662
Takojšnja motnost Nezdružljivo
Brizgalka Amphotericin B 0.6 mg/ml
Brizgalka Foscarnet sodium 24 mg/ml
Glukoza 5% 1135
Takoj padavine Nezdružljivo
Brizgalka Amphotericin B 5 mg/ml
Brizgalka Foscarnet sodium 24 mg/ml
Nobeden 73
Takojšnja motnost Nezdružljivo
Brizgalka Amphotericin B 0.1 mg/ml
Brizgalka Fosfomycin 30 mg/ml
Glukoza 5% 4055
Takoj padavine Nezdružljivo
Brizgalka Amphotericin B 0.6 mg/ml
Brizgalka Gemcitabine hydrochloride 10 mg/ml
Natrijev klorid 0,9% 1423
Takojšnja motnost Nezdružljivo
Brizgalka Amphotericin B 0.6 mg/ml
Brizgalka Granisetron hydrochloride 0.05 mg/ml
Glukoza 5% 182
Takoj padavine Nezdružljivo
Brizgalka Amphotericin B 0.6 mg/ml
Brizgalka Hetastarch 60 mg/ml
Posebni topila 1721
Takojšnja motnost Nezdružljivo
Brizgalka Amphotericin B 0.1 mg/ml
Brizgalka Isavuconazonium sulfate 1.5 mg/ml
Glukoza 5% 3829
Takoj padavine Nezdružljivo
Brizgalka Amphotericin B 0.6 mg/ml
Brizgalka Lansoprazole 0.55 mg/ml
Natrijev klorid 0,9% 1625
Nedoločena nezdružljivost Nezdružljivo
Brizgalka Amphotericin B
Brizgalka Lidocaine hydrochloride
5060
Takoj padavine Nezdružljivo
Brizgalka Amphotericin B 0.6 mg/ml
Brizgalka Linezolid 2 mg/ml
Nobeden 1925
Nedoločena nezdružljivost Nezdružljivo
Brizgalka Amphotericin B
Brizgalka Linezolid
3560
Padavine po 2 urah Nezdružljivo
Brizgalka Amphotericin B 0,04 & 0,08 mg/ml
Brizgalka Magnesium sulfate 2 & 4 mg/ml
Glukoza 5% 682
Takojšnja motnost Nezdružljivo
Brizgalka Amphotericin B 0.6 mg/ml
Brizgalka Melphalan 0.1 mg/ml
Natrijev klorid 0,9% 169
Kemijska nestabilnost Nezdružljivo
Brizgalka Amphotericin B 0.6 mg/ml
Brizgalka Melphalan 0.1 mg/ml
Glukoza 5% 169
Združljivo
Brizgalka Amphotericin B 5 mg/ml
Brizgalka Meropenem 1 & 50 mg/ml
Natrijev klorid 0,9% 266
Združljivo
Brizgalka Amphotericin B 0.2 mg/ml
Brizgalka Meropenem 1 & 20 mg/ml
Natrijev klorid 0,9% 266
Nedoločena nezdružljivost Nezdružljivo
Brizgalka Amphotericin B
Brizgalka Metaraminol
5046
Nedoločena nezdružljivost Nezdružljivo
Brizgalka Amphotericin B
Brizgalka N-acetylcysteine 200 mg/ml
Nobeden 3766
Takoj padavine Nezdružljivo
Brizgalka Amphotericin B 0,5 mg/ml
Brizgalka Nalbuphine hydrochloride 0,05 >>0,33 mg/ml
Natrijev klorid 0,9% 5097
Takoj padavine Nezdružljivo
Brizgalka Amphotericin B 0,5 mg/ml
Brizgalka Nalbuphine hydrochloride 0,05 >> 0,33 mg/ml
Glukoza 5% 4867
Nedoločena nezdružljivost Nezdružljivo
Brizgalka Amphotericin B 4 mg/ml
Brizgalka Naloxone hydrochloride 0.4 mg/ml
Nobeden 3408
Takojšnja motnost Nezdružljivo
Brizgalka Amphotericin B 0.6 mg/ml
Brizgalka Ondansetron hydrochloride 1 mg/ml
Glukoza 5% 334
Takojšnja motnost Nezdružljivo
Brizgalka Amphotericin B 0.1 mg/ml
Brizgalka Oritavancin 0.8>>2 mg/ml
Glukoza 5% 3152
Takojšnja motnost Nezdružljivo
Brizgalka Amphotericin B 0.6 mg/ml
Brizgalka Paclitaxel 1.2 mg/ml
Glukoza 5% 248
Motnost v eni uri Nezdružljivo
Brizgalka Amphotericin B
Brizgalka Pantoprazole sodium
2090
Takoj padavine Nezdružljivo
Brizgalka Amphotericin B 0.6 mg/ml
Brizgalka Pemetrexed disodium 20 mg/ml
Natrijev klorid 0,9% 1953
Nedoločena nezdružljivost Nezdružljivo
Brizgalka Amphotericin B
Brizgalka Penicillin G sodium
3585
Združljivo
Brizgalka Amphotericin B 0,1 mg/ml
Brizgalka Pentoxifyllin 5 mg/ml
Glukoza 5% 4543
Združljivo
Brizgalka Amphotericin B 1 mg/ml
Brizgalka Phloroglucinol 2,5 mg/ml
3791
Takoj padavine Nezdružljivo
Brizgalka Amphotericin B 0.6 mg/ml
Brizgalka Piperacillin sodium / tazobactam 40/5 mg/ml
Glukoza 5% 81
Takojšnja motnost Nezdružljivo
Brizgalka Amphotericin B 0,1 mg/ml
Brizgalka Plazomicin sulfate 24 mg/ml
Natrijev klorid 0,9% 4145
Takoj padavine Nezdružljivo
Brizgalka Amphotericin B 0.6 mg/ml
Brizgalka Propofol 10 mg/ml
Nobeden 300
Združljivo
Brizgalka Amphotericin B 0.6 mg/ml
Brizgalka Remifentanil hydrochloride 25 µg/ml
Glukoza 5% 59
Takoj padavine Nezdružljivo
Brizgalka Amphotericin B 0.6 mg/ml
Brizgalka Remifentanil hydrochloride 250 µg/ml
Glukoza 5% 59
Nedoločena nezdružljivost Nezdružljivo
Brizgalka Amphotericin B
Brizgalka Rocuronium bromide
3564
Takojšnja motnost Nezdružljivo
Brizgalka Amphotericin B 50 mg/ml
Brizgalka Salbutamol sulfate 1 mg/ml
Nobeden 3216
Združljivo
Brizgalka Amphotericin B 0.6 mg/ml
Brizgalka Sargramostim 10 µg/ml
Glukoza 5% 335
Takoj padavine Nezdružljivo
Brizgalka Amphotericin B 0.6 mg/ml
Brizgalka Sargramostim 10 µg/ml
Natrijev klorid 0,9% 335
Takoj padavine Nezdružljivo
Brizgalka Amphotericin B 0,1 mg/ml
Brizgalka Sildenafil citrate 0,6 mg/ml
Glukoza 5% 4845
Kemijska nestabilnost Nezdružljivo
Brizgalka Amphotericin B 0.1 mg/ml
Brizgalka Sildenafil citrate 0,6 mg/ml
Glukoza 5% 4845
Združljivo
Brizgalka Amphotericin B 5 mg/ml
Brizgalka Tacrolimus 1000 µg/ml
Voda za injekcije 479
Takojšnja motnost Nezdružljivo
Brizgalka Amphotericin B 0,1 mg/ml
Brizgalka Telavancin hydrochloride 7,5 mg/ml
Glukoza 5% 3254
Združljivo
Brizgalka Amphotericin B 0.6 mg/ml
Brizgalka Teniposide 0.1 mg/ml
Glukoza 5% 905
Takoj padavine Nezdružljivo
Brizgalka Amphotericin B
Brizgalka Thiopental sodium 25 mg/ml
Natrijev klorid 0,9% 3767
Združljivo
Brizgalka Amphotericin B 0.6 mg/ml
Brizgalka Thiotepa 1 mg/ml
Glukoza 5% 249
Nedoločena nezdružljivost Nezdružljivo
Brizgalka Amphotericin B
Brizgalka Tigecycline
3332
Padavine po 8 urah Nezdružljivo
Brizgalka Amphotericin B 0.1 mg/ml
Brizgalka Verapamil hydrochloride 0.08 mg/ml
Glukoza 5% 1057
Takoj padavine Nezdružljivo
Brizgalka Amphotericin B 0.1 mg/ml
Brizgalka Verapamil hydrochloride 0.08 mg/ml
Natrijev klorid 0,9% 1057
Takoj padavine Nezdružljivo
Brizgalka Amphotericin B 0.6 mg/ml
Brizgalka Vinorelbine tartrate 1 mg/ml
Glukoza 5% 84
Združljivo
Brizgalka Amphotericin B 0.6 mg/ml
Brizgalka Zidovudine 4 mg/ml
Glukoza 5% 337
Takoj padavine Nezdružljivo
Brizgalka Amphotericin B ? mg/ml
Natrijev klorid 0,9% 892
Takoj padavine Nezdružljivo
Brizgalka Amphotericin B 0.6 mg/ml
Brizgalka Vinorelbine tartrate 1 mg/ml
Natrijev klorid 0,9% 84

  Mentions Légales