Viimeisin päivitys :
27/04/2026
Sienilääkkeet   Amphotericin B  
Injektioneste
Aerosoli Oraaliliuos Silmätipat Suuvesi
Stabilius liuoksessa Stabilius seoksissa Tekijät, jotka vaikuttavat stabiliuteen Yhteensopivuus Antotapa Viitteet pdf
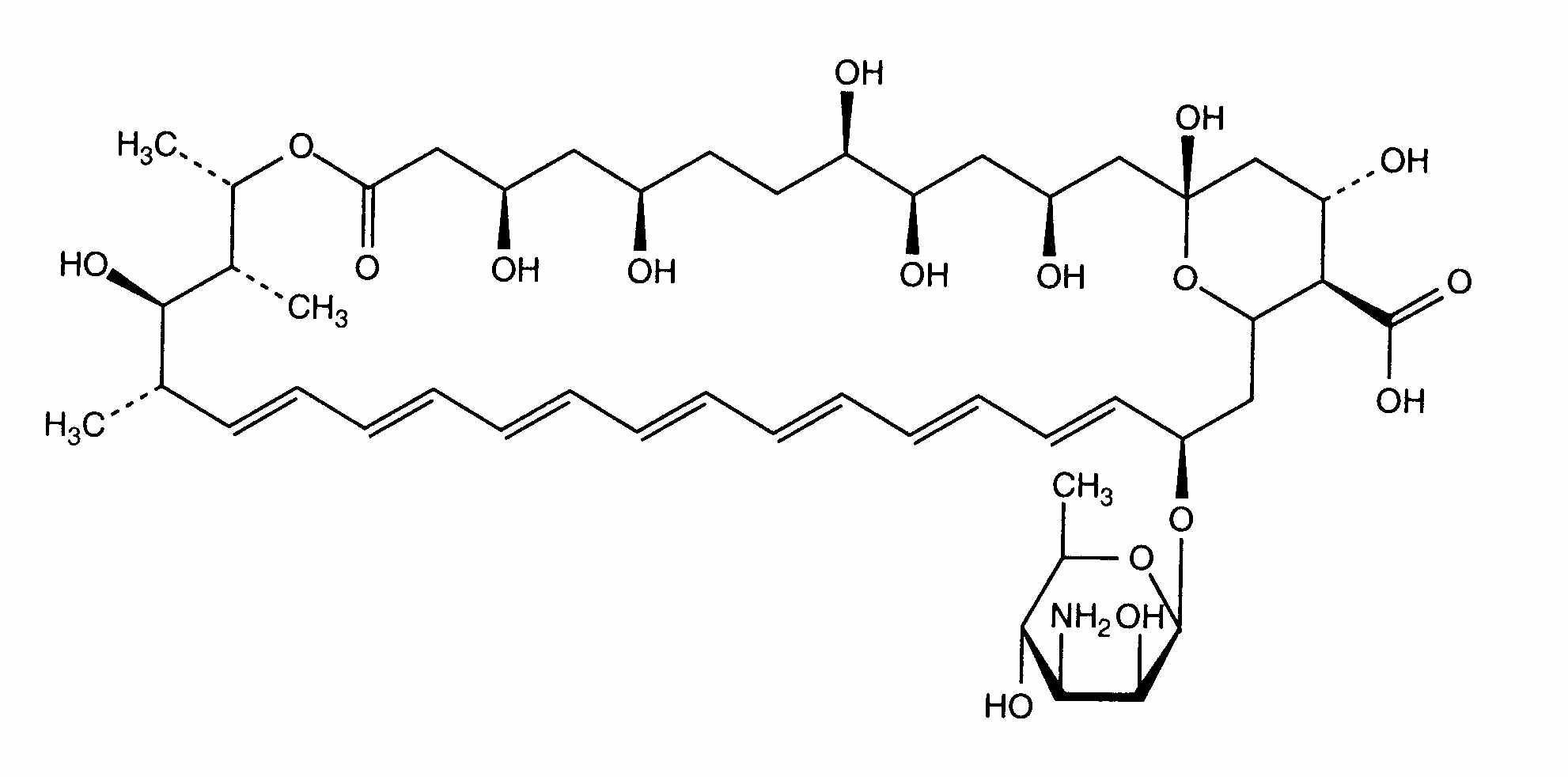
   Kemiallinen rakenne  

Kauppanimi   Kauppanimi     

Trade names are indicative and excipients composition can be different depending on the country and manufacturers

Fungizone Hollanti, Intia, Iran, Irlanti, Iso-Britannia, Italia, Kanada, Kolumbia, Kreikka, Malesia, Marokko, New Zealand, Portugali, Ranska, Ruotsi, Saksa, Suomi, Sveitsi, Tanska, Tunisia, Turkki, Unkari, Venezuela, Yhdysvallat
Yhteensopivuus   Injektioneste   Yhteensopivuus : Amphotericin B              
Tämä näyttö osoittaa yhteensopivuuden tai yhteensopimattomuuden yhteensopimattomuuden tyypin kanssa (saostuminen, värinmuutos, emulsiomuutos jne.). Tässä esitetty yhteensopivuus on useimmissa tapauksissa vain fysikaalinen, ja kunkin molekyylin kemiallista stabiilisuutta arvioidaan harvoin. Näiden seosten arviointia tutkittiin mahdollisuuden antaa Y-kohta potilaalle. Näitä tietoja ei voida käyttää seosten valmistamiseen etukäteen pusseissa tai ruiskuissa. Tämäntyyppiset tiedot ovat saatavilla "Stabiilisuus seoksessa" -näytössä.
Yhdiste Liuotin Viitteet
Yhteensopiva
Injektioneste Amphotericin B 1.6 mg/ml
Injektioneste Aldesleukin 0.0338 MUI/ml
Glukoosi 5% 36
Välittömät sateet yhteensopimaton
Injektioneste Amphotericin B 0.6 mg/ml
Injektioneste Aztreonam 40 mg/ml
Glukoosi 5% 99
Määrittelemätön yhteensopimattomuus yhteensopimaton
Injektioneste Amphotericin B
Ringerlaktaattiliuos 3968
Sameuden menetys yhteensopimaton
Injektioneste Amphotericin B 0.6 mg/ml
Injektioneste Allopurinol sodium 3 mg/ml
Natriumkloridi 0,9% 307
Välitön sameus yhteensopimaton
Injektioneste Amphotericin B 0.6 mg/ml
Injektioneste Amifostine 10 mg/ml
Glukoosi 5% 3
Määrittelemätön yhteensopimattomuus yhteensopimaton
Injektioneste Amphotericin B
Injektioneste Amikacin sulfate
3549
Yhteensopiva
Injektioneste Amphotericin B 0,5 mg/ml
Injektioneste Amiodarone hydrochloride 6 mg/ml
Glukoosi 5% 1611
Välitön sameus yhteensopimaton
Injektioneste Amphotericin B 0,6 mg/ml
Injektioneste Anidulafungin 0,5 mg/ml
Glukoosi 5% 1982
Välittömät sateet yhteensopimaton
Injektioneste Amphotericin B
Injektioneste Bivalirudin
3539
Välittömät sateet yhteensopimaton
Injektioneste Amphotericin B 0.6 mg/ml
Injektioneste Bivalirudin 5 mg/ml
Glukoosi 5% 1713
Yhteensopiva
Injektioneste Amphotericin B 0.1 mg/ml
Injektioneste Caffeine 10 mg/ml
Glukoosi 5% 4837
Yhteensopiva
Injektioneste Amphotericin B 0,1 mg/ml
Injektioneste Caffeine citrate 20 mg/ml
Glukoosi 5% 4837
Yhteensopiva
Injektioneste Amphotericin B
Glukoosi 5% 3591
Sameuden menetys yhteensopimaton
Injektioneste Amphotericin B 0.6 mg/ml
Injektioneste Allopurinol sodium 3 mg/ml
Glukoosi 5% 307
Välittömät sateet yhteensopimaton
Injektioneste Amphotericin B 0.6 mg/ml
Injektioneste Amsacrine 1 mg/ml
Glukoosi 5% 253
yhteensopimaton
Injektioneste Amphotericin B 0.1 mg/ml
Ringerlaktaattiliuos 1172
Määrittelemätön yhteensopimattomuus yhteensopimaton
Injektioneste Amphotericin B
Injektioneste Calcium gluconate
3644
Sade 1 tunnin kuluttua yhteensopimaton
Injektioneste Amphotericin B
Injektioneste Cefotaxime sodium
Natriumkloridi 0,9% 3871
Välitön sameus yhteensopimaton
Injektioneste Amphotericin B 0,6 mg/ml
Injektioneste Ceftaroline fosamil 2,22 mg/ml
Ringerlaktaattiliuos 3249
Välittömät sateet yhteensopimaton
Injektioneste Amphotericin B
Natriumkloridi 0,9%, sisältää säilytysaineen 3591
Välittömät sateet yhteensopimaton
Injektioneste Amphotericin B 0.6 mg/ml
Parenteraalisesti (rasva-free) 301
Välittömät sateet yhteensopimaton
Injektioneste Amphotericin B 1 mg/ml
Injektioneste Cefiderocol sulfate tosylate 20 mg/mL
Natriumkloridi 0,9% 4528
Kemiallinen epävakaus yhteensopimaton
Injektioneste Amphotericin B 0.1 mg/ml
Injektioneste Cefpirome sulfate 50 mg/ml
Natriumkloridi 0,9% 280
Välitön sameus yhteensopimaton
Injektioneste Amphotericin B 0,6 mg/ml
Injektioneste Ceftaroline fosamil 2,22 mg/ml
Natriumkloridi 0,9% 3249
Välittömät sateet yhteensopimaton
Injektioneste Amphotericin B 0.6 mg/ml
Injektioneste Ceftobiprole medocaril sodium 2 mg/ml
Natriumkloridi 0,9% 2269
Välittömät sateet yhteensopimaton
Injektioneste Amphotericin B 0.6 mg/ml
Parenteraalinen (lipidien) 1415
Välitön sameus yhteensopimaton
Injektioneste Amphotericin B 0.1 mg/ml
Injektioneste Cimetidine hydrochloride 0.6 mg/ml
Glukoosi 5% 1201
Välittömät sateet yhteensopimaton
Injektioneste Amphotericin B 0,6 & 1,2 mg/ml
Parenteraalinen (lipidien) 2043
Emulsion välitön epävakaus yhteensopimaton
Injektioneste Amphotericin B 0.01 >> 5 mg/ml
Parenteraalinen (lipidien) 1498
Välitön sameus yhteensopimaton
Injektioneste Amphotericin B 0.1 mg/ml
Injektioneste Ceftolozane / tazobactam 10/5 mg/ml
Glukoosi 5% 3828
Välittömät sateet yhteensopimaton
Injektioneste Amphotericin B 1.35 mg/ml
Parenteraalinen (lipidien) 793
Välittömät sateet yhteensopimaton
Injektioneste Amphotericin B 0.6 mg/ml
Injektioneste Ceftobiprole medocaril sodium 2 mg/ml
Ringerlaktaattiliuos 2269
Kemiallinen epävakaus yhteensopimaton
Injektioneste Amphotericin B 0.09 mg/ml
Parenteraalinen (lipidien) 984
Määrittelemätön yhteensopimattomuus yhteensopimaton
Injektioneste Amphotericin B
Injektioneste Calcium gluconate
4964
Välittömät sateet yhteensopimaton
Injektioneste Amphotericin B 0,6 mg/ml
Injektioneste Caspofungin acetate 0,7 mg/ml
Natriumkloridi 0,9% 2247
Välitön sameus yhteensopimaton
Injektioneste Amphotericin B 0,6 mg/ml
Injektioneste Ceftaroline fosamil 2,22 mg/ml
Glukoosi 5% 3249
Yhteensopiva
Injektioneste Amphotericin B
Injektioneste Ceftazidime
3883
Määrittelemätön yhteensopimattomuus yhteensopimaton
Injektioneste Amphotericin B
Injektioneste Ceftobiprole medocaril sodium
4650
Välittömät sateet yhteensopimaton
Injektioneste Amphotericin B
Parenteraalinen (lipidien) 270
Välittömät sateet yhteensopimaton
Injektioneste Amphotericin B 0.6 mg/ml
Injektioneste Ceftobiprole medocaril sodium 2 mg/ml
Glukoosi 5% 2269
Emulsion välitön epävakaus yhteensopimaton
Injektioneste Amphotericin B 0.6 mg/ml
Parenteraalinen (lipidien) 265
Välittömät sateet yhteensopimaton
Injektioneste Amphotericin B 1 mg/ml
Injektioneste Cefiderocol sulfate tosylate 20 mg/mL
Glukoosi 5% 4528
Kemiallinen epävakaus yhteensopimaton
Injektioneste Amphotericin B 0.1 mg/ml
Injektioneste Cefpirome sulfate 50 mg/ml
Natriumkloridi 0,45% 280
Kemiallinen epävakaus yhteensopimaton
Injektioneste Amphotericin B 0.1 mg/ml
Injektioneste Cefpirome sulfate 50 mg/ml
Ringerlaktaattiliuos 280
Kemiallinen epävakaus yhteensopimaton
Injektioneste Amphotericin B 0.1 mg/ml
Injektioneste Cefpirome sulfate 50 mg/ml
Glukoosi 5% 280
Välittömät sateet yhteensopimaton
Injektioneste Amphotericin B 0.1 mg/ml
Injektioneste Ciprofloxacin lactate 2 mg/ml
Glukoosi 5% 285
Välittömät sateet yhteensopimaton
Injektioneste Amphotericin B
Natriumkloridi 0,9% 3591
Yhteensopiva
Injektioneste Amphotericin B 0.6 mg/ml
Injektioneste Cisatracurium besylate 0.1 mg/ml
Glukoosi 5% 299
Välittömät sateet yhteensopimaton
Injektioneste Amphotericin B 0.6 mg/ml
Injektioneste Cisatracurium besylate 2 & 5 mg/ml
Glukoosi 5% 299
Välittömät sateet yhteensopimaton
Injektioneste Amphotericin B 0.6 mg/ml
Injektioneste Dexmedetomidine 4 µg/ml
Glukoosi 5% 1712
Yhteensopiva
Injektioneste Amphotericin B 0.1 mg/ml
Injektioneste Diltiazem hydrochloride 1 mg/ml
Natriumkloridi 0,9% 198
Välitön sameus yhteensopimaton
Injektioneste Amphotericin B 0.6 mg/ml
Injektioneste Docetaxel 0.9 mg/ml
Glukoosi 5% 1754
Välittömät sateet yhteensopimaton
Injektioneste Amphotericin B
Injektioneste Dopamine hydrochloride
Glukoosi 5% 3638
Yhteensopiva
Injektioneste Amphotericin B 0,6 mg/ml
Injektioneste Doripenem 5 mg/ml
Glukoosi 5% 2262
Välittömät sateet yhteensopimaton
Injektioneste Amphotericin B 0.6 mg/ml
Injektioneste Doxorubicin hydrochloride liposome peg 0.4 mg/ml
Glukoosi 5% 251
Välittömät sateet yhteensopimaton
Injektioneste Amphotericin B 0.6 mg/ml
Injektioneste Etoposide phosphate 5 mg/ml
Glukoosi 5% 1410
yhteensopimaton
Injektioneste Amphotericin B 0.1 mg/ml
Natriumkloridi 0,9% 1172
Välittömät sateet yhteensopimaton
Injektioneste Amphotericin B 0.6 mg/ml
Injektioneste Doripenem 5 mg/ml
Natriumkloridi 0,9% 2262
Sameus 4 tunnissa yhteensopimaton
Injektioneste Amphotericin B 0.1 mg/ml
Injektioneste Enalaprilate 1.25 mg/ml
Glukoosi 5% 201
Sameus 2 tunnissa yhteensopimaton
Injektioneste Amphotericin B 0.1 mg/ml
Injektioneste Enalaprilate 0.0125 mg/ml
Glukoosi 5% 1703
Yhteensopiva
Injektioneste Amphotericin B 0.6 mg/ml
Injektioneste Famotidine 2 mg/ml
Natriumkloridi 0,9% 215
Välittömät sateet yhteensopimaton
Injektioneste Amphotericin B 0.6 mg/ml
Injektioneste Fenoldopam mesylate 80 µg/ml
Natriumkloridi 0,9% 1803
Välittömät sateet yhteensopimaton
Injektioneste Amphotericin B 0.6 mg/ml
Injektioneste Filgrastim 30 µg/ml
Glukoosi 5% 244
Sameus tunnissa yhteensopimaton
Injektioneste Amphotericin B 5 mg/ml
Injektioneste Fluconazole 2 mg/ml
Natriumkloridi 0,9% 496
Yhteensopiva
Injektioneste Amphotericin B 0.1 mg/ml
Injektioneste Fluconazole 2 mg/ml
Ei mikään 256
Sade 4 tunnin kuluttua yhteensopimaton
Injektioneste Amphotericin B 0.6 mg/ml
Injektioneste Fludarabine phosphate 1 mg/ml
Glukoosi 5% 492
Määrittelemätön yhteensopimattomuus yhteensopimaton
Injektioneste Amphotericin B
Injektioneste Foscarnet sodium
3662
Välitön sameus yhteensopimaton
Injektioneste Amphotericin B 0.6 mg/ml
Injektioneste Foscarnet sodium 24 mg/ml
Glukoosi 5% 1135
Välittömät sateet yhteensopimaton
Injektioneste Amphotericin B 5 mg/ml
Injektioneste Foscarnet sodium 24 mg/ml
Ei mikään 73
Välitön sameus yhteensopimaton
Injektioneste Amphotericin B 0.1 mg/ml
Injektioneste Fosfomycin 30 mg/ml
Glukoosi 5% 4055
Välittömät sateet yhteensopimaton
Injektioneste Amphotericin B 0.6 mg/ml
Injektioneste Gemcitabine hydrochloride 10 mg/ml
Natriumkloridi 0,9% 1423
Välitön sameus yhteensopimaton
Injektioneste Amphotericin B 0.6 mg/ml
Injektioneste Granisetron hydrochloride 0.05 mg/ml
Glukoosi 5% 182
Välittömät sateet yhteensopimaton
Injektioneste Amphotericin B 0.6 mg/ml
Injektioneste Hetastarch 60 mg/ml
spesifiseen liuottimeen 1721
Välitön sameus yhteensopimaton
Injektioneste Amphotericin B 0.1 mg/ml
Injektioneste Isavuconazonium sulfate 1.5 mg/ml
Glukoosi 5% 3829
Välittömät sateet yhteensopimaton
Injektioneste Amphotericin B 0.6 mg/ml
Injektioneste Lansoprazole 0.55 mg/ml
Natriumkloridi 0,9% 1625
Määrittelemätön yhteensopimattomuus yhteensopimaton
Injektioneste Amphotericin B
Injektioneste Lidocaine hydrochloride
5060
Välittömät sateet yhteensopimaton
Injektioneste Amphotericin B 0.6 mg/ml
Injektioneste Linezolid 2 mg/ml
Ei mikään 1925
Määrittelemätön yhteensopimattomuus yhteensopimaton
Injektioneste Amphotericin B
Injektioneste Linezolid
3560
Sade 2 tunnin kuluttua yhteensopimaton
Injektioneste Amphotericin B 0,04 & 0,08 mg/ml
Injektioneste Magnesium sulfate 2 & 4 mg/ml
Glukoosi 5% 682
Välitön sameus yhteensopimaton
Injektioneste Amphotericin B 0.6 mg/ml
Injektioneste Melphalan 0.1 mg/ml
Natriumkloridi 0,9% 169
Kemiallinen epävakaus yhteensopimaton
Injektioneste Amphotericin B 0.6 mg/ml
Injektioneste Melphalan 0.1 mg/ml
Glukoosi 5% 169
Yhteensopiva
Injektioneste Amphotericin B 5 mg/ml
Injektioneste Meropenem 1 & 50 mg/ml
Natriumkloridi 0,9% 266
Yhteensopiva
Injektioneste Amphotericin B 0.2 mg/ml
Injektioneste Meropenem 1 & 20 mg/ml
Natriumkloridi 0,9% 266
Määrittelemätön yhteensopimattomuus yhteensopimaton
Injektioneste Amphotericin B
Injektioneste Metaraminol
5046
Määrittelemätön yhteensopimattomuus yhteensopimaton
Injektioneste Amphotericin B
Injektioneste N-acetylcysteine 200 mg/ml
Ei mikään 3766
Välittömät sateet yhteensopimaton
Injektioneste Amphotericin B 0,5 mg/ml
Injektioneste Nalbuphine hydrochloride 0,05 >>0,33 mg/ml
Natriumkloridi 0,9% 5097
Välittömät sateet yhteensopimaton
Injektioneste Amphotericin B 0,5 mg/ml
Injektioneste Nalbuphine hydrochloride 0,05 >> 0,33 mg/ml
Glukoosi 5% 4867
Määrittelemätön yhteensopimattomuus yhteensopimaton
Injektioneste Amphotericin B 4 mg/ml
Injektioneste Naloxone hydrochloride 0.4 mg/ml
Ei mikään 3408
Välitön sameus yhteensopimaton
Injektioneste Amphotericin B 0.6 mg/ml
Injektioneste Ondansetron hydrochloride 1 mg/ml
Glukoosi 5% 334
Välitön sameus yhteensopimaton
Injektioneste Amphotericin B 0.1 mg/ml
Injektioneste Oritavancin 0.8>>2 mg/ml
Glukoosi 5% 3152
Välitön sameus yhteensopimaton
Injektioneste Amphotericin B 0.6 mg/ml
Injektioneste Paclitaxel 1.2 mg/ml
Glukoosi 5% 248
Sameus tunnissa yhteensopimaton
Injektioneste Amphotericin B
Injektioneste Pantoprazole sodium
2090
Välittömät sateet yhteensopimaton
Injektioneste Amphotericin B 0.6 mg/ml
Injektioneste Pemetrexed disodium 20 mg/ml
Natriumkloridi 0,9% 1953
Määrittelemätön yhteensopimattomuus yhteensopimaton
Injektioneste Amphotericin B
Injektioneste Penicillin G sodium
3585
Yhteensopiva
Injektioneste Amphotericin B 0,1 mg/ml
Injektioneste Pentoxifyllin 5 mg/ml
Glukoosi 5% 4543
Yhteensopiva
Injektioneste Amphotericin B 1 mg/ml
Injektioneste Phloroglucinol 2,5 mg/ml
3791
Välittömät sateet yhteensopimaton
Injektioneste Amphotericin B 0.6 mg/ml
Injektioneste Piperacillin sodium / tazobactam 40/5 mg/ml
Glukoosi 5% 81
Välitön sameus yhteensopimaton
Injektioneste Amphotericin B 0,1 mg/ml
Injektioneste Plazomicin sulfate 24 mg/ml
Natriumkloridi 0,9% 4145
Välittömät sateet yhteensopimaton
Injektioneste Amphotericin B 0.6 mg/ml
Injektioneste Propofol 10 mg/ml
Ei mikään 300
Yhteensopiva
Injektioneste Amphotericin B 0.6 mg/ml
Injektioneste Remifentanil hydrochloride 25 µg/ml
Glukoosi 5% 59
Välittömät sateet yhteensopimaton
Injektioneste Amphotericin B 0.6 mg/ml
Injektioneste Remifentanil hydrochloride 250 µg/ml
Glukoosi 5% 59
Määrittelemätön yhteensopimattomuus yhteensopimaton
Injektioneste Amphotericin B
Injektioneste Rocuronium bromide
3564
Välitön sameus yhteensopimaton
Injektioneste Amphotericin B 50 mg/ml
Injektioneste Salbutamol sulfate 1 mg/ml
Ei mikään 3216
Yhteensopiva
Injektioneste Amphotericin B 0.6 mg/ml
Injektioneste Sargramostim 10 µg/ml
Glukoosi 5% 335
Välittömät sateet yhteensopimaton
Injektioneste Amphotericin B 0.6 mg/ml
Injektioneste Sargramostim 10 µg/ml
Natriumkloridi 0,9% 335
Välittömät sateet yhteensopimaton
Injektioneste Amphotericin B 0,1 mg/ml
Injektioneste Sildenafil citrate 0,6 mg/ml
Glukoosi 5% 4845
Kemiallinen epävakaus yhteensopimaton
Injektioneste Amphotericin B 0.1 mg/ml
Injektioneste Sildenafil citrate 0,6 mg/ml
Glukoosi 5% 4845
Yhteensopiva
Injektioneste Amphotericin B 5 mg/ml
Injektioneste Tacrolimus 1000 µg/ml
Injektionesteisiin käytettävä vesi 479
Välitön sameus yhteensopimaton
Injektioneste Amphotericin B 0,1 mg/ml
Injektioneste Telavancin hydrochloride 7,5 mg/ml
Glukoosi 5% 3254
Yhteensopiva
Injektioneste Amphotericin B 0.6 mg/ml
Injektioneste Teniposide 0.1 mg/ml
Glukoosi 5% 905
Välittömät sateet yhteensopimaton
Injektioneste Amphotericin B
Injektioneste Thiopental sodium 25 mg/ml
Natriumkloridi 0,9% 3767
Yhteensopiva
Injektioneste Amphotericin B 0.6 mg/ml
Injektioneste Thiotepa 1 mg/ml
Glukoosi 5% 249
Määrittelemätön yhteensopimattomuus yhteensopimaton
Injektioneste Amphotericin B
Injektioneste Tigecycline
3332
Sade 8 tunnin kuluttua yhteensopimaton
Injektioneste Amphotericin B 0.1 mg/ml
Injektioneste Verapamil hydrochloride 0.08 mg/ml
Glukoosi 5% 1057
Välittömät sateet yhteensopimaton
Injektioneste Amphotericin B 0.1 mg/ml
Injektioneste Verapamil hydrochloride 0.08 mg/ml
Natriumkloridi 0,9% 1057
Välittömät sateet yhteensopimaton
Injektioneste Amphotericin B 0.6 mg/ml
Injektioneste Vinorelbine tartrate 1 mg/ml
Glukoosi 5% 84
Yhteensopiva
Injektioneste Amphotericin B 0.6 mg/ml
Injektioneste Zidovudine 4 mg/ml
Glukoosi 5% 337
Välittömät sateet yhteensopimaton
Injektioneste Amphotericin B ? mg/ml
Natriumkloridi 0,9% 892
Välittömät sateet yhteensopimaton
Injektioneste Amphotericin B 0.6 mg/ml
Injektioneste Vinorelbine tartrate 1 mg/ml
Natriumkloridi 0,9% 84

  Mentions Légales