Последно актуализиране :
18/03/2026
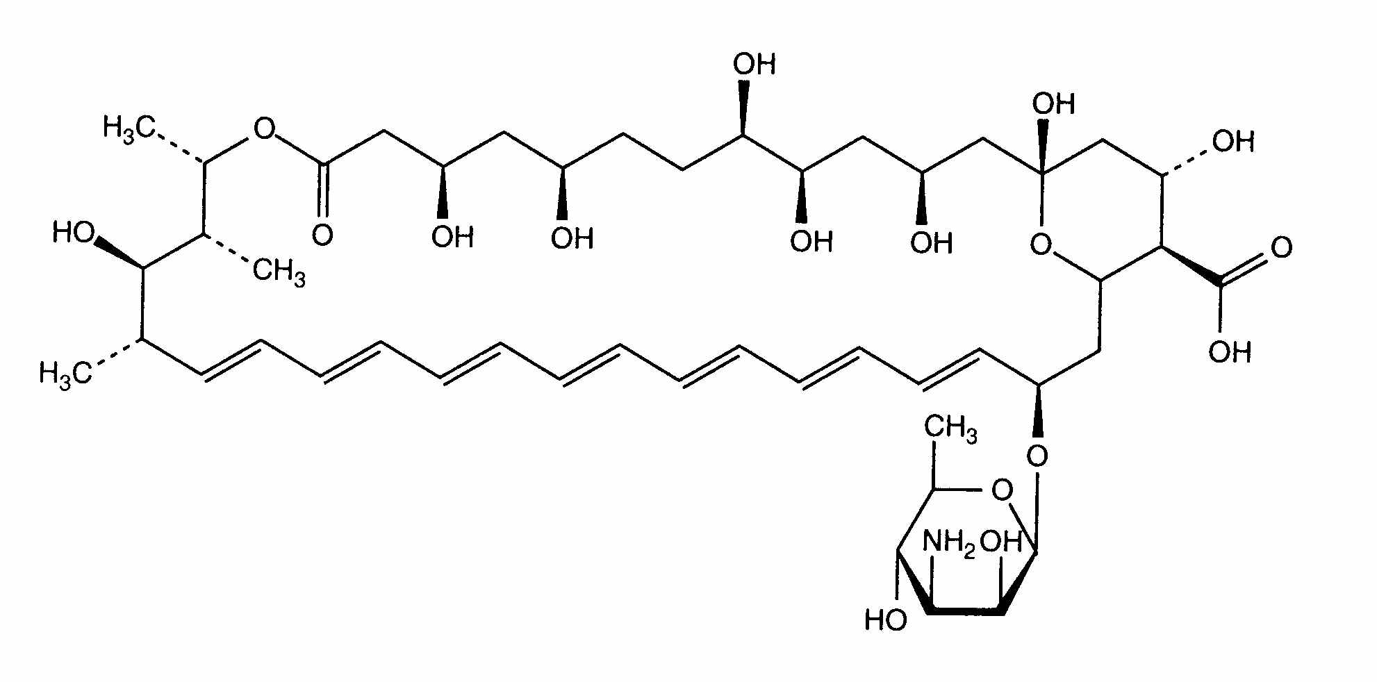
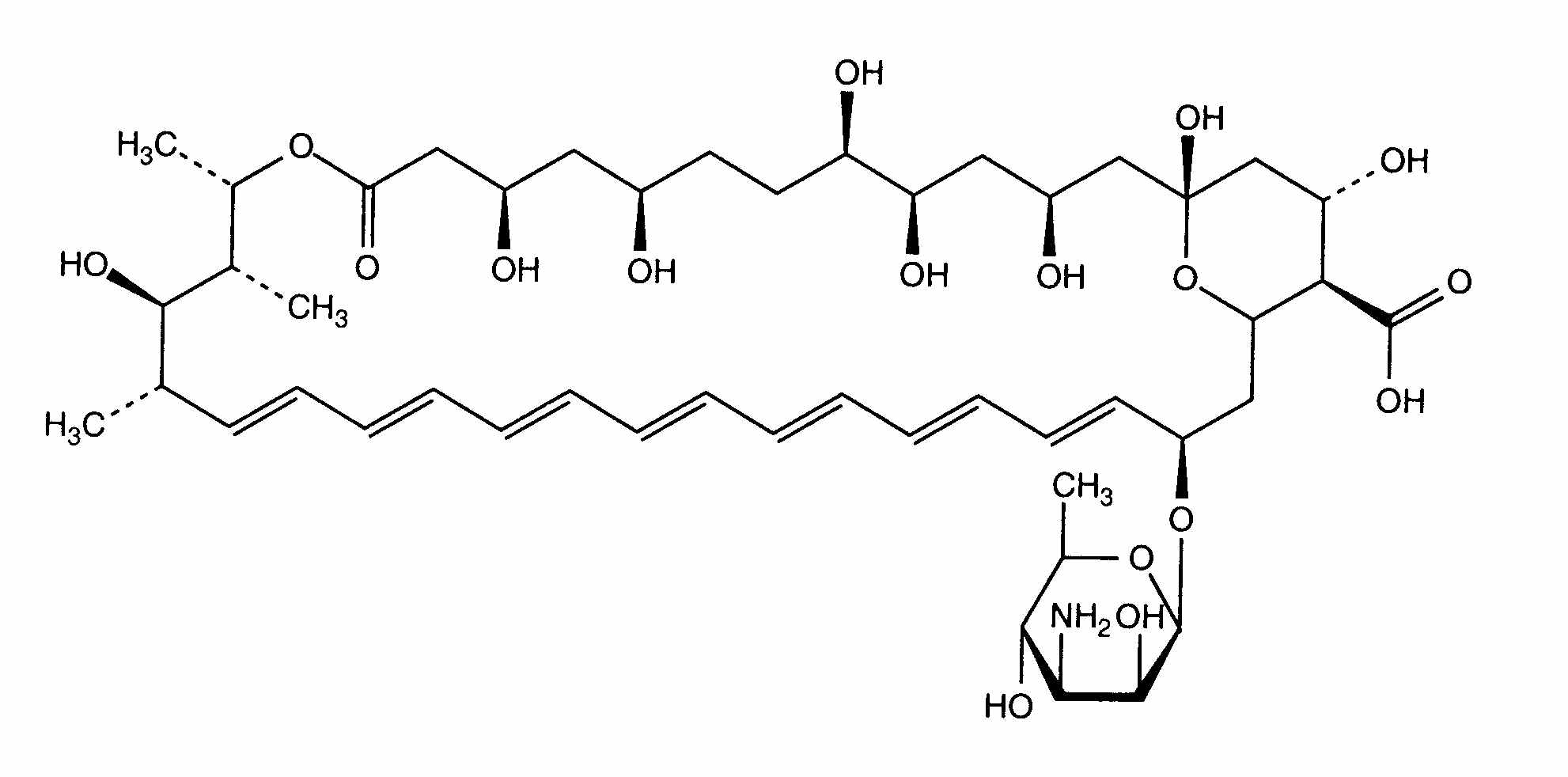
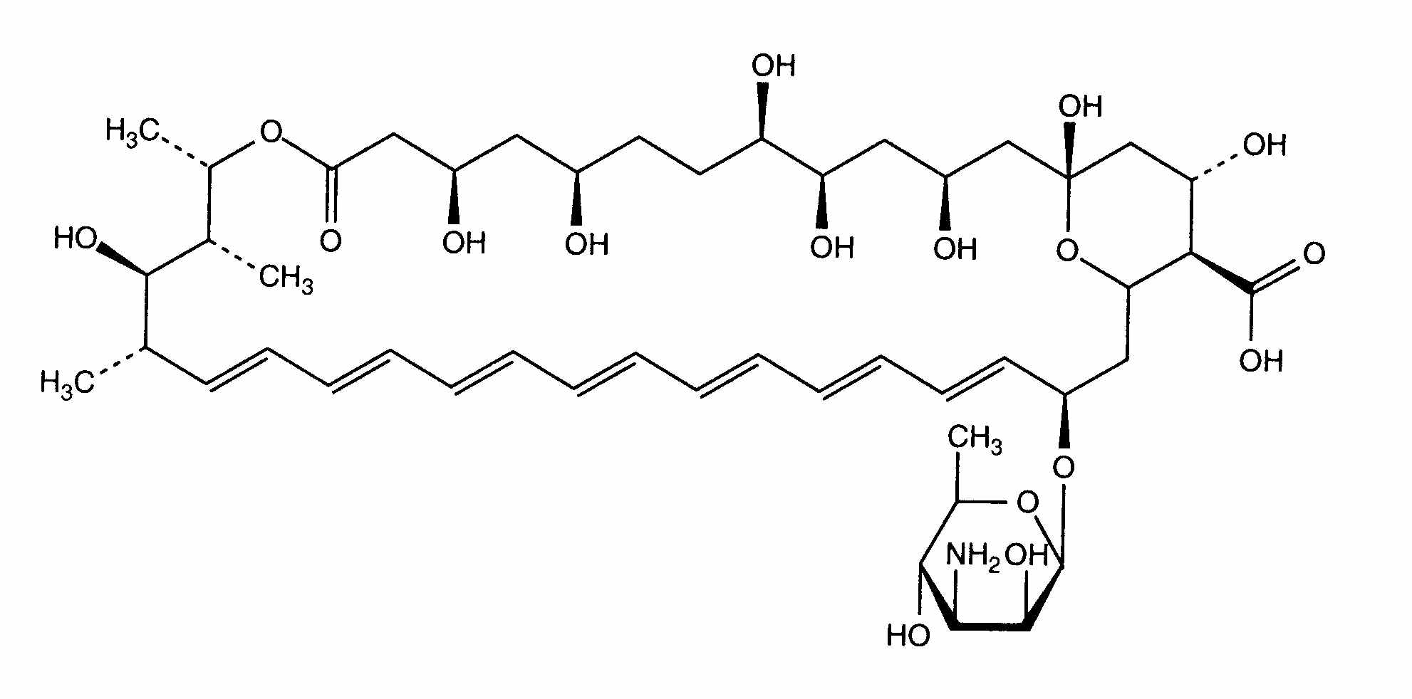
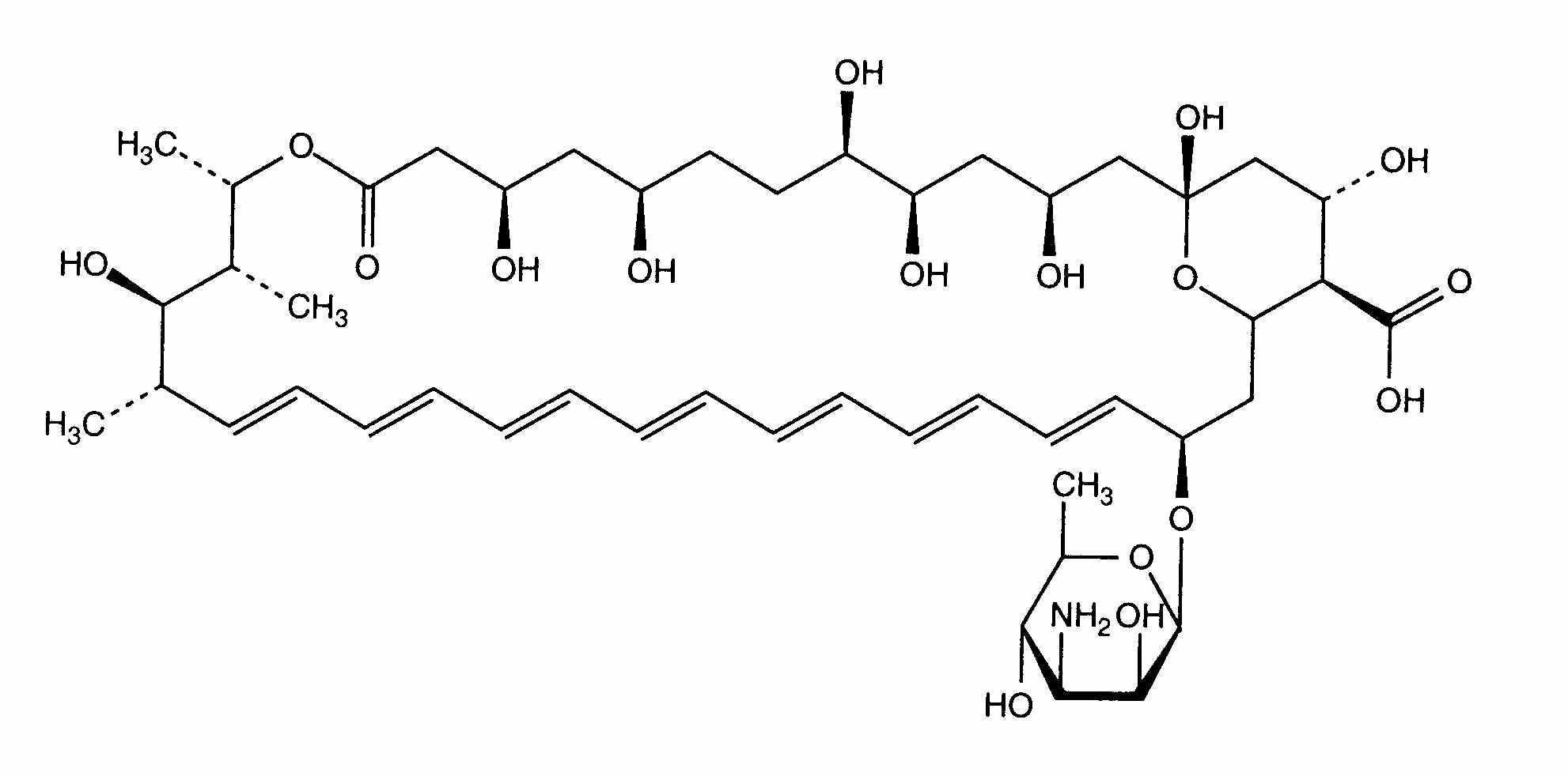
Противогъбично средство   Amphotericin B  
Инжекция/Инжекционен
Аерозол Капки за очи Орален разтвор Разтвор за уста
Стабилност на разтвори Стабилност на смеси Фактори, повлияващи стабилността Съвместимост Път на въвеждане Библиография Pdf
   Химична структура  

Търговско наименование   Търговско наименование     

Търговските имена са примерни и съставът на помощните вещества може да бъде различен в зависимост от държавата и лабораториите

Fungizone Великобритания, Венецуела, Германия, Гърция, Дания, Индия, Иран, Ирландия, Италия, Канада, Колумбия, Малайзия, Мароко, нова Зеландия, Португалия, Съединени Американски щати / САЩ, Тунис, Турция, Унгария, Финландия, Франция, Холандия, Швейцария, Швеция
Стабилност на смеси   Инжекция/Инжекционен   Стабилност на смеси : Amphotericin B     
Няма данни

  Mentions Légales