最新更新 :
27/04/2026
抗真菌薬   Amphotericin B  
注射薬
エアロゾル 含嗽薬 点眼薬 経口液
溶媒内の安定性 混合時の安定性 安定性に影響する因子 互換性 投与経路 引用文献 PDF
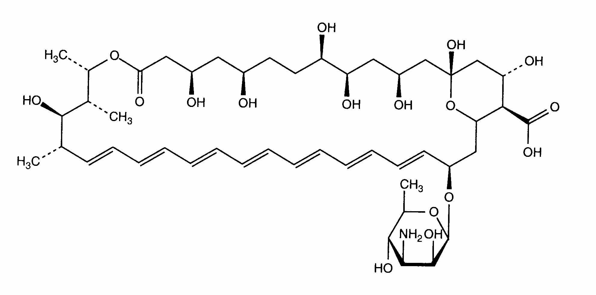
   化学構造  

商品名   商品名     

商品名、賦形剤は国、製薬会社ごとに異なることがあります

Fungizone アイルランド, アメリカ, イギリス, イタリア, イラン, インド, オランダ, カナダ, ギリシア, コロンビア, スイス, スウェーデン, チュニジア, デンマーク, トルコ, ドイツ, ニュージーランド, ハンガリー, フィンランド, フランス, ベネズエラ, ポルトガル, マレーシア, モロッコ
互換性   注射薬   互換性 : Amphotericin B              
This screen indicates the compatibilities or incompatibilities with, in this case, the type of incompatibility (precipitation, color change, modification of an emulsion, etc.). The compatibilities shown here are mostly physical only, with the chemical stability of each molecule rarely being assessed. The evaluation of these mixtures was studied to consider the possibility of Y-site administration to the patient. These data cannot be used for making mixtures in advance in bags or syringes. This type of information is available in the screen "Stability in mixture ».
化合物 溶媒 引用文献
対応
注射薬 Amphotericin B 1.6 mg/ml
注射薬 Aldesleukin 0.0338 MUI/ml
グルコース5% 36
即時降水 非互換
注射薬 Amphotericin B 0.6 mg/ml
注射薬 Aztreonam 40 mg/ml
グルコース5% 99
不特定の非互換性 非互換
注射薬 Amphotericin B
乳酸リンゲル 3968
濁度の喪失 非互換
注射薬 Amphotericin B 0.6 mg/ml
注射薬 Allopurinol sodium 3 mg/ml
NaCl 0,9% 307
すぐに濁り 非互換
注射薬 Amphotericin B 0.6 mg/ml
注射薬 Amifostine 10 mg/ml
グルコース5% 3
不特定の非互換性 非互換
注射薬 Amphotericin B
注射薬 Amikacin sulfate
3549
対応
注射薬 Amphotericin B 0,5 mg/ml
注射薬 Amiodarone hydrochloride 6 mg/ml
グルコース5% 1611
すぐに濁り 非互換
注射薬 Amphotericin B 0,6 mg/ml
注射薬 Anidulafungin 0,5 mg/ml
グルコース5% 1982
即時降水 非互換
注射薬 Amphotericin B
注射薬 Bivalirudin
3539
即時降水 非互換
注射薬 Amphotericin B 0.6 mg/ml
注射薬 Bivalirudin 5 mg/ml
グルコース5% 1713
対応
注射薬 Amphotericin B 0.1 mg/ml
注射薬 Caffeine 10 mg/ml
グルコース5% 4837
対応
注射薬 Amphotericin B 0,1 mg/ml
注射薬 Caffeine citrate 20 mg/ml
グルコース5% 4837
対応
注射薬 Amphotericin B
グルコース5% 3591
濁度の喪失 非互換
注射薬 Amphotericin B 0.6 mg/ml
注射薬 Allopurinol sodium 3 mg/ml
グルコース5% 307
即時降水 非互換
注射薬 Amphotericin B 0.6 mg/ml
注射薬 Amsacrine 1 mg/ml
グルコース5% 253
非互換
注射薬 Amphotericin B 0.1 mg/ml
乳酸リンゲル 1172
不特定の非互換性 非互換
注射薬 Amphotericin B
注射薬 Calcium gluconate
3644
1時間後の降水 非互換
注射薬 Amphotericin B
注射薬 Cefotaxime sodium
NaCl 0,9% 3871
すぐに濁り 非互換
注射薬 Amphotericin B 0,6 mg/ml
注射薬 Ceftaroline fosamil 2,22 mg/ml
乳酸リンゲル 3249
即時降水 非互換
注射薬 Amphotericin B
NaCl 0,9% +抗菌 3591
即時降水 非互換
注射薬 Amphotericin B 0.6 mg/ml
非経口的栄養(二元混合物) 301
即時降水 非互換
注射薬 Amphotericin B 1 mg/ml
注射薬 Cefiderocol sulfate tosylate 20 mg/mL
NaCl 0,9% 4528
化学的不安定性 非互換
注射薬 Amphotericin B 0.1 mg/ml
注射薬 Cefpirome sulfate 50 mg/ml
NaCl 0,9% 280
すぐに濁り 非互換
注射薬 Amphotericin B 0,6 mg/ml
注射薬 Ceftaroline fosamil 2,22 mg/ml
NaCl 0,9% 3249
即時降水 非互換
注射薬 Amphotericin B 0.6 mg/ml
注射薬 Ceftobiprole medocaril sodium 2 mg/ml
NaCl 0,9% 2269
即時降水 非互換
注射薬 Amphotericin B 0.6 mg/ml
非経口的栄養(脂肪含む) 1415
すぐに濁り 非互換
注射薬 Amphotericin B 0.1 mg/ml
注射薬 Cimetidine hydrochloride 0.6 mg/ml
グルコース5% 1201
即時降水 非互換
注射薬 Amphotericin B 0,6 & 1,2 mg/ml
非経口的栄養(脂肪含む) 2043
エマルジョンの即時の不安定性 非互換
注射薬 Amphotericin B 0.01 >> 5 mg/ml
非経口的栄養(脂肪含む) 1498
すぐに濁り 非互換
注射薬 Amphotericin B 0.1 mg/ml
注射薬 Ceftolozane / tazobactam 10/5 mg/ml
グルコース5% 3828
即時降水 非互換
注射薬 Amphotericin B 1.35 mg/ml
非経口的栄養(脂肪含む) 793
即時降水 非互換
注射薬 Amphotericin B 0.6 mg/ml
注射薬 Ceftobiprole medocaril sodium 2 mg/ml
乳酸リンゲル 2269
化学的不安定性 非互換
注射薬 Amphotericin B 0.09 mg/ml
非経口的栄養(脂肪含む) 984
不特定の非互換性 非互換
注射薬 Amphotericin B
注射薬 Calcium gluconate
4964
即時降水 非互換
注射薬 Amphotericin B 0,6 mg/ml
注射薬 Caspofungin acetate 0,7 mg/ml
NaCl 0,9% 2247
すぐに濁り 非互換
注射薬 Amphotericin B 0,6 mg/ml
注射薬 Ceftaroline fosamil 2,22 mg/ml
グルコース5% 3249
対応
注射薬 Amphotericin B
注射薬 Ceftazidime
3883
不特定の非互換性 非互換
注射薬 Amphotericin B
注射薬 Ceftobiprole medocaril sodium
4650
即時降水 非互換
注射薬 Amphotericin B
非経口的栄養(脂肪含む) 270
即時降水 非互換
注射薬 Amphotericin B 0.6 mg/ml
注射薬 Ceftobiprole medocaril sodium 2 mg/ml
グルコース5% 2269
エマルジョンの即時の不安定性 非互換
注射薬 Amphotericin B 0.6 mg/ml
非経口的栄養(脂肪含む) 265
即時降水 非互換
注射薬 Amphotericin B 1 mg/ml
注射薬 Cefiderocol sulfate tosylate 20 mg/mL
グルコース5% 4528
化学的不安定性 非互換
注射薬 Amphotericin B 0.1 mg/ml
注射薬 Cefpirome sulfate 50 mg/ml
NaCl 0.45% 280
化学的不安定性 非互換
注射薬 Amphotericin B 0.1 mg/ml
注射薬 Cefpirome sulfate 50 mg/ml
乳酸リンゲル 280
化学的不安定性 非互換
注射薬 Amphotericin B 0.1 mg/ml
注射薬 Cefpirome sulfate 50 mg/ml
グルコース5% 280
即時降水 非互換
注射薬 Amphotericin B 0.1 mg/ml
注射薬 Ciprofloxacin lactate 2 mg/ml
グルコース5% 285
即時降水 非互換
注射薬 Amphotericin B
NaCl 0,9% 3591
対応
注射薬 Amphotericin B 0.6 mg/ml
注射薬 Cisatracurium besylate 0.1 mg/ml
グルコース5% 299
即時降水 非互換
注射薬 Amphotericin B 0.6 mg/ml
注射薬 Cisatracurium besylate 2 & 5 mg/ml
グルコース5% 299
即時降水 非互換
注射薬 Amphotericin B 0.6 mg/ml
注射薬 Dexmedetomidine 4 µg/ml
グルコース5% 1712
対応
注射薬 Amphotericin B 0.1 mg/ml
注射薬 Diltiazem hydrochloride 1 mg/ml
NaCl 0,9% 198
すぐに濁り 非互換
注射薬 Amphotericin B 0.6 mg/ml
注射薬 Docetaxel 0.9 mg/ml
グルコース5% 1754
即時降水 非互換
注射薬 Amphotericin B
注射薬 Dopamine hydrochloride
グルコース5% 3638
対応
注射薬 Amphotericin B 0,6 mg/ml
注射薬 Doripenem 5 mg/ml
グルコース5% 2262
即時降水 非互換
注射薬 Amphotericin B 0.6 mg/ml
注射薬 Doxorubicin hydrochloride liposome peg 0.4 mg/ml
グルコース5% 251
即時降水 非互換
注射薬 Amphotericin B 0.6 mg/ml
注射薬 Etoposide phosphate 5 mg/ml
グルコース5% 1410
非互換
注射薬 Amphotericin B 0.1 mg/ml
NaCl 0,9% 1172
即時降水 非互換
注射薬 Amphotericin B 0.6 mg/ml
注射薬 Doripenem 5 mg/ml
NaCl 0,9% 2262
4時間で濁り 非互換
注射薬 Amphotericin B 0.1 mg/ml
注射薬 Enalaprilate 1.25 mg/ml
グルコース5% 201
2時間での濁度 非互換
注射薬 Amphotericin B 0.1 mg/ml
注射薬 Enalaprilate 0.0125 mg/ml
グルコース5% 1703
対応
注射薬 Amphotericin B 0.6 mg/ml
注射薬 Famotidine 2 mg/ml
NaCl 0,9% 215
即時降水 非互換
注射薬 Amphotericin B 0.6 mg/ml
注射薬 Fenoldopam mesylate 80 µg/ml
NaCl 0,9% 1803
即時降水 非互換
注射薬 Amphotericin B 0.6 mg/ml
注射薬 Filgrastim 30 µg/ml
グルコース5% 244
1時間で濁り 非互換
注射薬 Amphotericin B 5 mg/ml
注射薬 Fluconazole 2 mg/ml
NaCl 0,9% 496
対応
注射薬 Amphotericin B 0.1 mg/ml
注射薬 Fluconazole 2 mg/ml
なし 256
4時間後の降水 非互換
注射薬 Amphotericin B 0.6 mg/ml
注射薬 Fludarabine phosphate 1 mg/ml
グルコース5% 492
不特定の非互換性 非互換
注射薬 Amphotericin B
注射薬 Foscarnet sodium
3662
すぐに濁り 非互換
注射薬 Amphotericin B 0.6 mg/ml
注射薬 Foscarnet sodium 24 mg/ml
グルコース5% 1135
即時降水 非互換
注射薬 Amphotericin B 5 mg/ml
注射薬 Foscarnet sodium 24 mg/ml
なし 73
すぐに濁り 非互換
注射薬 Amphotericin B 0.1 mg/ml
注射薬 Fosfomycin 30 mg/ml
グルコース5% 4055
即時降水 非互換
注射薬 Amphotericin B 0.6 mg/ml
注射薬 Gemcitabine hydrochloride 10 mg/ml
NaCl 0,9% 1423
すぐに濁り 非互換
注射薬 Amphotericin B 0.6 mg/ml
注射薬 Granisetron hydrochloride 0.05 mg/ml
グルコース5% 182
即時降水 非互換
注射薬 Amphotericin B 0.6 mg/ml
注射薬 Hetastarch 60 mg/ml
特定の溶媒 1721
すぐに濁り 非互換
注射薬 Amphotericin B 0.1 mg/ml
注射薬 Isavuconazonium sulfate 1.5 mg/ml
グルコース5% 3829
即時降水 非互換
注射薬 Amphotericin B 0.6 mg/ml
注射薬 Lansoprazole 0.55 mg/ml
NaCl 0,9% 1625
不特定の非互換性 非互換
注射薬 Amphotericin B
注射薬 Lidocaine hydrochloride
5060
即時降水 非互換
注射薬 Amphotericin B 0.6 mg/ml
注射薬 Linezolid 2 mg/ml
なし 1925
不特定の非互換性 非互換
注射薬 Amphotericin B
注射薬 Linezolid
3560
2時間後の降水 非互換
注射薬 Amphotericin B 0,04 & 0,08 mg/ml
注射薬 Magnesium sulfate 2 & 4 mg/ml
グルコース5% 682
すぐに濁り 非互換
注射薬 Amphotericin B 0.6 mg/ml
注射薬 Melphalan 0.1 mg/ml
NaCl 0,9% 169
化学的不安定性 非互換
注射薬 Amphotericin B 0.6 mg/ml
注射薬 Melphalan 0.1 mg/ml
グルコース5% 169
対応
注射薬 Amphotericin B 5 mg/ml
注射薬 Meropenem 1 & 50 mg/ml
NaCl 0,9% 266
対応
注射薬 Amphotericin B 0.2 mg/ml
注射薬 Meropenem 1 & 20 mg/ml
NaCl 0,9% 266
不特定の非互換性 非互換
注射薬 Amphotericin B
注射薬 Metaraminol
5046
不特定の非互換性 非互換
注射薬 Amphotericin B
注射薬 N-acetylcysteine 200 mg/ml
なし 3766
即時降水 非互換
注射薬 Amphotericin B 0,5 mg/ml
注射薬 Nalbuphine hydrochloride 0,05 >>0,33 mg/ml
NaCl 0,9% 5097
即時降水 非互換
注射薬 Amphotericin B 0,5 mg/ml
注射薬 Nalbuphine hydrochloride 0,05 >> 0,33 mg/ml
グルコース5% 4867
不特定の非互換性 非互換
注射薬 Amphotericin B 4 mg/ml
注射薬 Naloxone hydrochloride 0.4 mg/ml
なし 3408
すぐに濁り 非互換
注射薬 Amphotericin B 0.6 mg/ml
注射薬 Ondansetron hydrochloride 1 mg/ml
グルコース5% 334
すぐに濁り 非互換
注射薬 Amphotericin B 0.1 mg/ml
注射薬 Oritavancin 0.8>>2 mg/ml
グルコース5% 3152
すぐに濁り 非互換
注射薬 Amphotericin B 0.6 mg/ml
注射薬 Paclitaxel 1.2 mg/ml
グルコース5% 248
1時間で濁り 非互換
注射薬 Amphotericin B
注射薬 Pantoprazole sodium
2090
即時降水 非互換
注射薬 Amphotericin B 0.6 mg/ml
注射薬 Pemetrexed disodium 20 mg/ml
NaCl 0,9% 1953
不特定の非互換性 非互換
注射薬 Amphotericin B
注射薬 Penicillin G sodium
3585
対応
注射薬 Amphotericin B 0,1 mg/ml
注射薬 Pentoxifyllin 5 mg/ml
グルコース5% 4543
対応
注射薬 Amphotericin B 1 mg/ml
注射薬 Phloroglucinol 2,5 mg/ml
3791
即時降水 非互換
注射薬 Amphotericin B 0.6 mg/ml
注射薬 Piperacillin sodium / tazobactam 40/5 mg/ml
グルコース5% 81
すぐに濁り 非互換
注射薬 Amphotericin B 0,1 mg/ml
注射薬 Plazomicin sulfate 24 mg/ml
NaCl 0,9% 4145
即時降水 非互換
注射薬 Amphotericin B 0.6 mg/ml
注射薬 Propofol 10 mg/ml
なし 300
対応
注射薬 Amphotericin B 0.6 mg/ml
注射薬 Remifentanil hydrochloride 25 µg/ml
グルコース5% 59
即時降水 非互換
注射薬 Amphotericin B 0.6 mg/ml
注射薬 Remifentanil hydrochloride 250 µg/ml
グルコース5% 59
不特定の非互換性 非互換
注射薬 Amphotericin B
注射薬 Rocuronium bromide
3564
すぐに濁り 非互換
注射薬 Amphotericin B 50 mg/ml
注射薬 Salbutamol sulfate 1 mg/ml
なし 3216
対応
注射薬 Amphotericin B 0.6 mg/ml
注射薬 Sargramostim 10 µg/ml
グルコース5% 335
即時降水 非互換
注射薬 Amphotericin B 0.6 mg/ml
注射薬 Sargramostim 10 µg/ml
NaCl 0,9% 335
即時降水 非互換
注射薬 Amphotericin B 0,1 mg/ml
注射薬 Sildenafil citrate 0,6 mg/ml
グルコース5% 4845
化学的不安定性 非互換
注射薬 Amphotericin B 0.1 mg/ml
注射薬 Sildenafil citrate 0,6 mg/ml
グルコース5% 4845
対応
注射薬 Amphotericin B 5 mg/ml
注射薬 Tacrolimus 1000 µg/ml
注射用水 479
すぐに濁り 非互換
注射薬 Amphotericin B 0,1 mg/ml
注射薬 Telavancin hydrochloride 7,5 mg/ml
グルコース5% 3254
対応
注射薬 Amphotericin B 0.6 mg/ml
注射薬 Teniposide 0.1 mg/ml
グルコース5% 905
即時降水 非互換
注射薬 Amphotericin B
注射薬 Thiopental sodium 25 mg/ml
NaCl 0,9% 3767
対応
注射薬 Amphotericin B 0.6 mg/ml
注射薬 Thiotepa 1 mg/ml
グルコース5% 249
不特定の非互換性 非互換
注射薬 Amphotericin B
注射薬 Tigecycline
3332
8時間後の降水 非互換
注射薬 Amphotericin B 0.1 mg/ml
注射薬 Verapamil hydrochloride 0.08 mg/ml
グルコース5% 1057
即時降水 非互換
注射薬 Amphotericin B 0.1 mg/ml
注射薬 Verapamil hydrochloride 0.08 mg/ml
NaCl 0,9% 1057
即時降水 非互換
注射薬 Amphotericin B 0.6 mg/ml
注射薬 Vinorelbine tartrate 1 mg/ml
グルコース5% 84
対応
注射薬 Amphotericin B 0.6 mg/ml
注射薬 Zidovudine 4 mg/ml
グルコース5% 337
即時降水 非互換
注射薬 Amphotericin B ? mg/ml
NaCl 0,9% 892
即時降水 非互換
注射薬 Amphotericin B 0.6 mg/ml
注射薬 Vinorelbine tartrate 1 mg/ml
NaCl 0,9% 84

  Mentions Légales