Última actualização :
27/04/2026
Antifúngico   Amphotericin B  
injetável
aerossol colutório solução oftálmica Solução Oral
Estabilidade em soluções simples Estabilidade em misturas Factores que afectam a sua estabilidade Compatibilidade Método de administração Bibliografía pdf
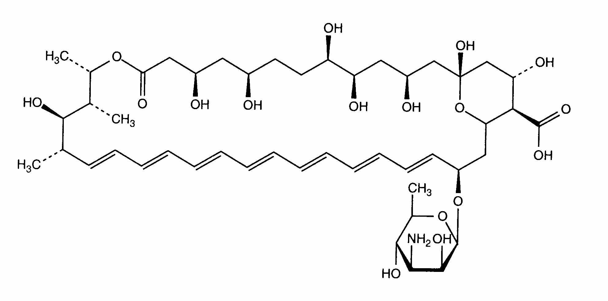
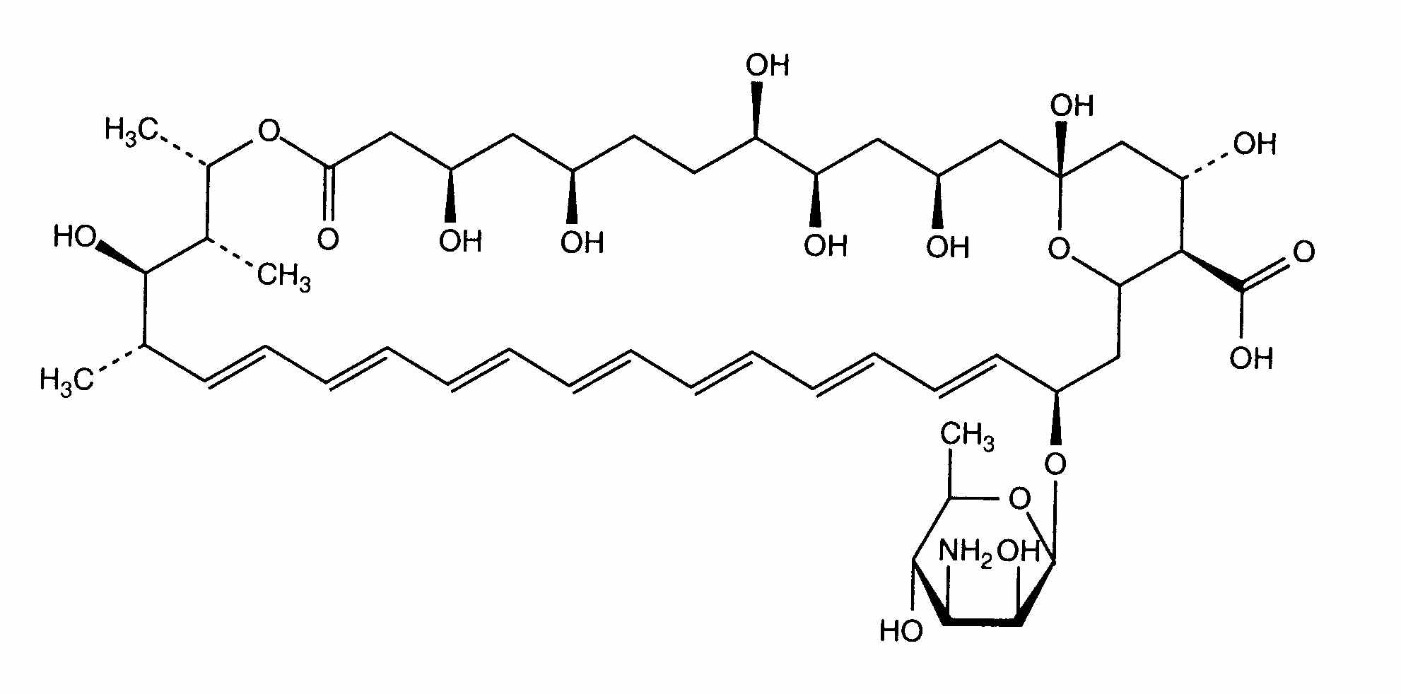
   estrutura química  

Nomes comerciais nos diversos países   Nomes comerciais nos diversos países     

OS NOMES COMERCIAIS SÃO INDICATIVOS E OS EXCIPIENTES DA FORMULAÇÃO PODEM SER DIFERENTES CONFORME O PAÍS E FABRICANTE.

Fungizone Alemanha, Canadá, Colômbia, Dinamarca, Estados Unidos de América, Finlandia, França, Gran-bretanha, Grècia, Hungria, Índia, Irã, Irlanda, Itália, Malásia, Marrocos, nova Zelândia, Países Baixos, Portugal, Suècia, Suicia, Tunísia, Turquia, Venezuela
Compatibilidade   injetável   Compatibilidade : Amphotericin B              
Este ecrã indica as compatibilidades ou incompatibilidades com, neste caso, o tipo de incompatibilidade (precipitação, mudança de cor, modificação de uma emulsão, etc.). As compatibilidades mostradas aqui são principalmente físicas, com a estabilidade química de cada molécula raramente sendo avaliada. A avaliação dessas misturas foi estudada para considerar a possibilidade de administração do local Y ao paciente. Estes dados não podem ser usados para fazer misturas antecipadamente em sacos ou seringas. Este tipo de informação está disponível na tela “Estabilidade na mistura».
molécula Solvente Bibliografia
Compatível
injetável Amphotericin B 1.6 mg/ml
injetável Aldesleukin 0.0338 MUI/ml
Glucose 5% 36
Precipitação imediata Incompatível
injetável Amphotericin B 0.6 mg/ml
injetável Aztreonam 40 mg/ml
Glucose 5% 99
Incompatibilidade não especificada Incompatível
injetável Amphotericin B
Ringer lactato 3968
Perda de turbidez Incompatível
injetável Amphotericin B 0.6 mg/ml
injetável Allopurinol sodium 3 mg/ml
cloreto de sódio 0,9% 307
Turvação imediata Incompatível
injetável Amphotericin B 0.6 mg/ml
injetável Amifostine 10 mg/ml
Glucose 5% 3
Incompatibilidade não especificada Incompatível
injetável Amphotericin B
injetável Amikacin sulfate
3549
Compatível
injetável Amphotericin B 0,5 mg/ml
injetável Amiodarone hydrochloride 6 mg/ml
Glucose 5% 1611
Turvação imediata Incompatível
injetável Amphotericin B 0,6 mg/ml
injetável Anidulafungin 0,5 mg/ml
Glucose 5% 1982
Precipitação imediata Incompatível
injetável Amphotericin B
injetável Bivalirudin
3539
Precipitação imediata Incompatível
injetável Amphotericin B 0.6 mg/ml
injetável Bivalirudin 5 mg/ml
Glucose 5% 1713
Compatível
injetável Amphotericin B 0.1 mg/ml
injetável Caffeine 10 mg/ml
Glucose 5% 4837
Compatível
injetável Amphotericin B 0,1 mg/ml
injetável Caffeine citrate 20 mg/ml
Glucose 5% 4837
Compatível
injetável Amphotericin B
Glucose 5% 3591
Perda de turbidez Incompatível
injetável Amphotericin B 0.6 mg/ml
injetável Allopurinol sodium 3 mg/ml
Glucose 5% 307
Precipitação imediata Incompatível
injetável Amphotericin B 0.6 mg/ml
injetável Amsacrine 1 mg/ml
Glucose 5% 253
Incompatível
injetável Amphotericin B 0.1 mg/ml
Ringer lactato 1172
Incompatibilidade não especificada Incompatível
injetável Amphotericin B
injetável Calcium gluconate
3644
Precipitação após 1 hora Incompatível
injetável Amphotericin B
injetável Cefotaxime sodium
cloreto de sódio 0,9% 3871
Turvação imediata Incompatível
injetável Amphotericin B 0,6 mg/ml
injetável Ceftaroline fosamil 2,22 mg/ml
Ringer lactato 3249
Precipitação imediata Incompatível
injetável Amphotericin B
NaCl 0,9% + bacteriostático 3591
Precipitação imediata Incompatível
injetável Amphotericin B 0.6 mg/ml
Nutrição parenterica (mistura binária) 301
Precipitação imediata Incompatível
injetável Amphotericin B 1 mg/ml
injetável Cefiderocol sulfate tosylate 20 mg/mL
cloreto de sódio 0,9% 4528
Instabilidade química Incompatível
injetável Amphotericin B 0.1 mg/ml
injetável Cefpirome sulfate 50 mg/ml
cloreto de sódio 0,9% 280
Turvação imediata Incompatível
injetável Amphotericin B 0,6 mg/ml
injetável Ceftaroline fosamil 2,22 mg/ml
cloreto de sódio 0,9% 3249
Precipitação imediata Incompatível
injetável Amphotericin B 0.6 mg/ml
injetável Ceftobiprole medocaril sodium 2 mg/ml
cloreto de sódio 0,9% 2269
Precipitação imediata Incompatível
injetável Amphotericin B 0.6 mg/ml
Nutrição parenteral (com lípidos) 1415
Turvação imediata Incompatível
injetável Amphotericin B 0.1 mg/ml
injetável Cimetidine hydrochloride 0.6 mg/ml
Glucose 5% 1201
Precipitação imediata Incompatível
injetável Amphotericin B 0,6 & 1,2 mg/ml
Nutrição parenteral (com lípidos) 2043
Instabilidade imediata da emulsão Incompatível
injetável Amphotericin B 0.01 >> 5 mg/ml
Nutrição parenteral (com lípidos) 1498
Turvação imediata Incompatível
injetável Amphotericin B 0.1 mg/ml
injetável Ceftolozane / tazobactam 10/5 mg/ml
Glucose 5% 3828
Precipitação imediata Incompatível
injetável Amphotericin B 1.35 mg/ml
Nutrição parenteral (com lípidos) 793
Precipitação imediata Incompatível
injetável Amphotericin B 0.6 mg/ml
injetável Ceftobiprole medocaril sodium 2 mg/ml
Ringer lactato 2269
Instabilidade química Incompatível
injetável Amphotericin B 0.09 mg/ml
Nutrição parenteral (com lípidos) 984
Incompatibilidade não especificada Incompatível
injetável Amphotericin B
injetável Calcium gluconate
4964
Precipitação imediata Incompatível
injetável Amphotericin B 0,6 mg/ml
injetável Caspofungin acetate 0,7 mg/ml
cloreto de sódio 0,9% 2247
Turvação imediata Incompatível
injetável Amphotericin B 0,6 mg/ml
injetável Ceftaroline fosamil 2,22 mg/ml
Glucose 5% 3249
Compatível
injetável Amphotericin B
injetável Ceftazidime
3883
Incompatibilidade não especificada Incompatível
injetável Amphotericin B
injetável Ceftobiprole medocaril sodium
4650
Precipitação imediata Incompatível
injetável Amphotericin B
Nutrição parenteral (com lípidos) 270
Precipitação imediata Incompatível
injetável Amphotericin B 0.6 mg/ml
injetável Ceftobiprole medocaril sodium 2 mg/ml
Glucose 5% 2269
Instabilidade imediata da emulsão Incompatível
injetável Amphotericin B 0.6 mg/ml
Nutrição parenteral (com lípidos) 265
Precipitação imediata Incompatível
injetável Amphotericin B 1 mg/ml
injetável Cefiderocol sulfate tosylate 20 mg/mL
Glucose 5% 4528
Instabilidade química Incompatível
injetável Amphotericin B 0.1 mg/ml
injetável Cefpirome sulfate 50 mg/ml
cloreto de sódio 0,45% 280
Instabilidade química Incompatível
injetável Amphotericin B 0.1 mg/ml
injetável Cefpirome sulfate 50 mg/ml
Ringer lactato 280
Instabilidade química Incompatível
injetável Amphotericin B 0.1 mg/ml
injetável Cefpirome sulfate 50 mg/ml
Glucose 5% 280
Precipitação imediata Incompatível
injetável Amphotericin B 0.1 mg/ml
injetável Ciprofloxacin lactate 2 mg/ml
Glucose 5% 285
Precipitação imediata Incompatível
injetável Amphotericin B
cloreto de sódio 0,9% 3591
Compatível
injetável Amphotericin B 0.6 mg/ml
injetável Cisatracurium besylate 0.1 mg/ml
Glucose 5% 299
Precipitação imediata Incompatível
injetável Amphotericin B 0.6 mg/ml
injetável Cisatracurium besylate 2 & 5 mg/ml
Glucose 5% 299
Precipitação imediata Incompatível
injetável Amphotericin B 0.6 mg/ml
injetável Dexmedetomidine 4 µg/ml
Glucose 5% 1712
Compatível
injetável Amphotericin B 0.1 mg/ml
injetável Diltiazem hydrochloride 1 mg/ml
cloreto de sódio 0,9% 198
Turvação imediata Incompatível
injetável Amphotericin B 0.6 mg/ml
injetável Docetaxel 0.9 mg/ml
Glucose 5% 1754
Precipitação imediata Incompatível
injetável Amphotericin B
injetável Dopamine hydrochloride
Glucose 5% 3638
Compatível
injetável Amphotericin B 0,6 mg/ml
injetável Doripenem 5 mg/ml
Glucose 5% 2262
Precipitação imediata Incompatível
injetável Amphotericin B 0.6 mg/ml
injetável Doxorubicin hydrochloride liposome peg 0.4 mg/ml
Glucose 5% 251
Precipitação imediata Incompatível
injetável Amphotericin B 0.6 mg/ml
injetável Etoposide phosphate 5 mg/ml
Glucose 5% 1410
Incompatível
injetável Amphotericin B 0.1 mg/ml
cloreto de sódio 0,9% 1172
Precipitação imediata Incompatível
injetável Amphotericin B 0.6 mg/ml
injetável Doripenem 5 mg/ml
cloreto de sódio 0,9% 2262
Turbidez em 4 horas Incompatível
injetável Amphotericin B 0.1 mg/ml
injetável Enalaprilate 1.25 mg/ml
Glucose 5% 201
Turbidez em 2 horas Incompatível
injetável Amphotericin B 0.1 mg/ml
injetável Enalaprilate 0.0125 mg/ml
Glucose 5% 1703
Compatível
injetável Amphotericin B 0.6 mg/ml
injetável Famotidine 2 mg/ml
cloreto de sódio 0,9% 215
Precipitação imediata Incompatível
injetável Amphotericin B 0.6 mg/ml
injetável Fenoldopam mesylate 80 µg/ml
cloreto de sódio 0,9% 1803
Precipitação imediata Incompatível
injetável Amphotericin B 0.6 mg/ml
injetável Filgrastim 30 µg/ml
Glucose 5% 244
Turbidez em uma hora Incompatível
injetável Amphotericin B 5 mg/ml
injetável Fluconazole 2 mg/ml
cloreto de sódio 0,9% 496
Compatível
injetável Amphotericin B 0.1 mg/ml
injetável Fluconazole 2 mg/ml
nenhum 256
Precipitação após 4 horas Incompatível
injetável Amphotericin B 0.6 mg/ml
injetável Fludarabine phosphate 1 mg/ml
Glucose 5% 492
Incompatibilidade não especificada Incompatível
injetável Amphotericin B
injetável Foscarnet sodium
3662
Turvação imediata Incompatível
injetável Amphotericin B 0.6 mg/ml
injetável Foscarnet sodium 24 mg/ml
Glucose 5% 1135
Precipitação imediata Incompatível
injetável Amphotericin B 5 mg/ml
injetável Foscarnet sodium 24 mg/ml
nenhum 73
Turvação imediata Incompatível
injetável Amphotericin B 0.1 mg/ml
injetável Fosfomycin 30 mg/ml
Glucose 5% 4055
Precipitação imediata Incompatível
injetável Amphotericin B 0.6 mg/ml
injetável Gemcitabine hydrochloride 10 mg/ml
cloreto de sódio 0,9% 1423
Turvação imediata Incompatível
injetável Amphotericin B 0.6 mg/ml
injetável Granisetron hydrochloride 0.05 mg/ml
Glucose 5% 182
Precipitação imediata Incompatível
injetável Amphotericin B 0.6 mg/ml
injetável Hetastarch 60 mg/ml
solvente específico 1721
Turvação imediata Incompatível
injetável Amphotericin B 0.1 mg/ml
injetável Isavuconazonium sulfate 1.5 mg/ml
Glucose 5% 3829
Precipitação imediata Incompatível
injetável Amphotericin B 0.6 mg/ml
injetável Lansoprazole 0.55 mg/ml
cloreto de sódio 0,9% 1625
Incompatibilidade não especificada Incompatível
injetável Amphotericin B
injetável Lidocaine hydrochloride
5060
Precipitação imediata Incompatível
injetável Amphotericin B 0.6 mg/ml
injetável Linezolid 2 mg/ml
nenhum 1925
Incompatibilidade não especificada Incompatível
injetável Amphotericin B
injetável Linezolid
3560
Precipitação após 2 horas Incompatível
injetável Amphotericin B 0,04 & 0,08 mg/ml
injetável Magnesium sulfate 2 & 4 mg/ml
Glucose 5% 682
Turvação imediata Incompatível
injetável Amphotericin B 0.6 mg/ml
injetável Melphalan 0.1 mg/ml
cloreto de sódio 0,9% 169
Instabilidade química Incompatível
injetável Amphotericin B 0.6 mg/ml
injetável Melphalan 0.1 mg/ml
Glucose 5% 169
Compatível
injetável Amphotericin B 5 mg/ml
injetável Meropenem 1 & 50 mg/ml
cloreto de sódio 0,9% 266
Compatível
injetável Amphotericin B 0.2 mg/ml
injetável Meropenem 1 & 20 mg/ml
cloreto de sódio 0,9% 266
Incompatibilidade não especificada Incompatível
injetável Amphotericin B
injetável Metaraminol
5046
Incompatibilidade não especificada Incompatível
injetável Amphotericin B
injetável N-acetylcysteine 200 mg/ml
nenhum 3766
Precipitação imediata Incompatível
injetável Amphotericin B 0,5 mg/ml
injetável Nalbuphine hydrochloride 0,05 >>0,33 mg/ml
cloreto de sódio 0,9% 5097
Precipitação imediata Incompatível
injetável Amphotericin B 0,5 mg/ml
injetável Nalbuphine hydrochloride 0,05 >> 0,33 mg/ml
Glucose 5% 4867
Incompatibilidade não especificada Incompatível
injetável Amphotericin B 4 mg/ml
injetável Naloxone hydrochloride 0.4 mg/ml
nenhum 3408
Turvação imediata Incompatível
injetável Amphotericin B 0.6 mg/ml
injetável Ondansetron hydrochloride 1 mg/ml
Glucose 5% 334
Turvação imediata Incompatível
injetável Amphotericin B 0.1 mg/ml
injetável Oritavancin 0.8>>2 mg/ml
Glucose 5% 3152
Turvação imediata Incompatível
injetável Amphotericin B 0.6 mg/ml
injetável Paclitaxel 1.2 mg/ml
Glucose 5% 248
Turbidez em uma hora Incompatível
injetável Amphotericin B
injetável Pantoprazole sodium
2090
Precipitação imediata Incompatível
injetável Amphotericin B 0.6 mg/ml
injetável Pemetrexed disodium 20 mg/ml
cloreto de sódio 0,9% 1953
Incompatibilidade não especificada Incompatível
injetável Amphotericin B
injetável Penicillin G sodium
3585
Compatível
injetável Amphotericin B 0,1 mg/ml
injetável Pentoxifyllin 5 mg/ml
Glucose 5% 4543
Compatível
injetável Amphotericin B 1 mg/ml
injetável Phloroglucinol 2,5 mg/ml
3791
Precipitação imediata Incompatível
injetável Amphotericin B 0.6 mg/ml
injetável Piperacillin sodium / tazobactam 40/5 mg/ml
Glucose 5% 81
Turvação imediata Incompatível
injetável Amphotericin B 0,1 mg/ml
injetável Plazomicin sulfate 24 mg/ml
cloreto de sódio 0,9% 4145
Precipitação imediata Incompatível
injetável Amphotericin B 0.6 mg/ml
injetável Propofol 10 mg/ml
nenhum 300
Compatível
injetável Amphotericin B 0.6 mg/ml
injetável Remifentanil hydrochloride 25 µg/ml
Glucose 5% 59
Precipitação imediata Incompatível
injetável Amphotericin B 0.6 mg/ml
injetável Remifentanil hydrochloride 250 µg/ml
Glucose 5% 59
Incompatibilidade não especificada Incompatível
injetável Amphotericin B
injetável Rocuronium bromide
3564
Turvação imediata Incompatível
injetável Amphotericin B 50 mg/ml
injetável Salbutamol sulfate 1 mg/ml
nenhum 3216
Compatível
injetável Amphotericin B 0.6 mg/ml
injetável Sargramostim 10 µg/ml
Glucose 5% 335
Precipitação imediata Incompatível
injetável Amphotericin B 0.6 mg/ml
injetável Sargramostim 10 µg/ml
cloreto de sódio 0,9% 335
Precipitação imediata Incompatível
injetável Amphotericin B 0,1 mg/ml
injetável Sildenafil citrate 0,6 mg/ml
Glucose 5% 4845
Instabilidade química Incompatível
injetável Amphotericin B 0.1 mg/ml
injetável Sildenafil citrate 0,6 mg/ml
Glucose 5% 4845
Compatível
injetável Amphotericin B 5 mg/ml
injetável Tacrolimus 1000 µg/ml
Agua para injectaveis 479
Turvação imediata Incompatível
injetável Amphotericin B 0,1 mg/ml
injetável Telavancin hydrochloride 7,5 mg/ml
Glucose 5% 3254
Compatível
injetável Amphotericin B 0.6 mg/ml
injetável Teniposide 0.1 mg/ml
Glucose 5% 905
Precipitação imediata Incompatível
injetável Amphotericin B
injetável Thiopental sodium 25 mg/ml
cloreto de sódio 0,9% 3767
Compatível
injetável Amphotericin B 0.6 mg/ml
injetável Thiotepa 1 mg/ml
Glucose 5% 249
Incompatibilidade não especificada Incompatível
injetável Amphotericin B
injetável Tigecycline
3332
Precipitação após 8 horas Incompatível
injetável Amphotericin B 0.1 mg/ml
injetável Verapamil hydrochloride 0.08 mg/ml
Glucose 5% 1057
Precipitação imediata Incompatível
injetável Amphotericin B 0.1 mg/ml
injetável Verapamil hydrochloride 0.08 mg/ml
cloreto de sódio 0,9% 1057
Precipitação imediata Incompatível
injetável Amphotericin B 0.6 mg/ml
injetável Vinorelbine tartrate 1 mg/ml
Glucose 5% 84
Compatível
injetável Amphotericin B 0.6 mg/ml
injetável Zidovudine 4 mg/ml
Glucose 5% 337
Precipitação imediata Incompatível
injetável Amphotericin B ? mg/ml
cloreto de sódio 0,9% 892
Precipitação imediata Incompatível
injetável Amphotericin B 0.6 mg/ml
injetável Vinorelbine tartrate 1 mg/ml
cloreto de sódio 0,9% 84

  Mentions Légales