Ultimele actualizari :
27/04/2026
Antifungic   Amphotericin B  
Injectabil
Aerosol colir Gargara Soluţie orală
Stabilitatea in solutie Stabilitatea in amestec Factorii care influenteaza stabilitatea Compatibilitate Microunde Bibliografie pdf
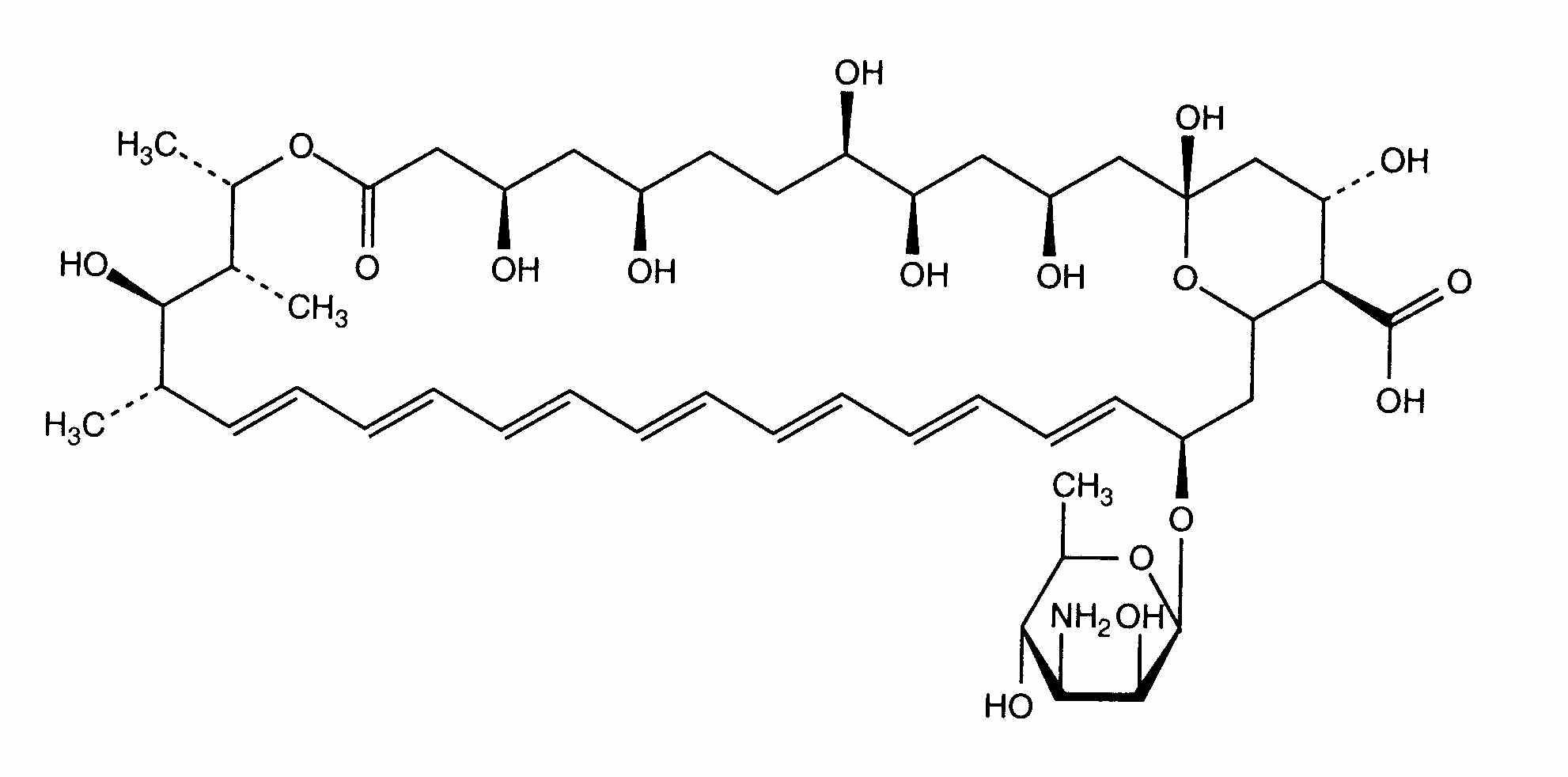
   Formula chimica  

Denumirea comerciala   Denumirea comerciala     

Trade names are indicative and excipients composition can be different depending on the country and manufacturers

Fungizone Canada, Columbia, Danemarca, Elvetia, Finlanda, Franta, Germania, Grecia, India, Iran, Irlanda, Italia, Malaezia, Marea Britanie, Maroc, noua Zeelandă, Olanda, Portugalia, SUA, Suedia, Tunisia, Turcia, Ungaria, Venezuela
Compatibilitate   Injectabil   Compatibilitate : Amphotericin B              
Acest ecran indică compatibilitățile sau incompatibilitățile cu, în acest caz, tipul de incompatibilitate (precipitații, schimbarea culorii, modificarea unei emulsii etc.). Compatibilitățile prezentate aici sunt în mare parte numai fizice, stabilitatea chimică a fiecărei molecule fiind rareori evaluată. Evaluarea acestor amestecuri a fost studiată pentru a lua în considerare posibilitatea administrării site-ului Y la pacient. Aceste date nu pot fi utilizate pentru prepararea în prealabil a amestecurilor în pungi sau seringi. Acest tip de informații este disponibil în ecranul „Stabilitate în amestec».
Molecula (substanta activa) Solvent Bibiografie
Compatibil
Injectabil Amphotericin B 1.6 mg/ml
Injectabil Aldesleukin 0.0338 MUI/ml
Glucoza 5% 36
Precipitații imediate Incompatibil
Injectabil Amphotericin B 0.6 mg/ml
Injectabil Aztreonam 40 mg/ml
Glucoza 5% 99
Incompatibilitate nespecificată Incompatibil
Injectabil Amphotericin B
Solutie Ringer lactat 3968
Pierderea turbidității Incompatibil
Injectabil Amphotericin B 0.6 mg/ml
Injectabil Allopurinol sodium 3 mg/ml
clorura de sodiu 0,9% 307
Turbiditate imediată Incompatibil
Injectabil Amphotericin B 0.6 mg/ml
Injectabil Amifostine 10 mg/ml
Glucoza 5% 3
Incompatibilitate nespecificată Incompatibil
Injectabil Amphotericin B
Injectabil Amikacin sulfate
3549
Compatibil
Injectabil Amphotericin B 0,5 mg/ml
Injectabil Amiodarone hydrochloride 6 mg/ml
Glucoza 5% 1611
Turbiditate imediată Incompatibil
Injectabil Amphotericin B 0,6 mg/ml
Injectabil Anidulafungin 0,5 mg/ml
Glucoza 5% 1982
Precipitații imediate Incompatibil
Injectabil Amphotericin B
Injectabil Bivalirudin
3539
Precipitații imediate Incompatibil
Injectabil Amphotericin B 0.6 mg/ml
Injectabil Bivalirudin 5 mg/ml
Glucoza 5% 1713
Compatibil
Injectabil Amphotericin B 0.1 mg/ml
Injectabil Caffeine 10 mg/ml
Glucoza 5% 4837
Compatibil
Injectabil Amphotericin B 0,1 mg/ml
Injectabil Caffeine citrate 20 mg/ml
Glucoza 5% 4837
Compatibil
Injectabil Amphotericin B
Glucoza 5% 3591
Pierderea turbidității Incompatibil
Injectabil Amphotericin B 0.6 mg/ml
Injectabil Allopurinol sodium 3 mg/ml
Glucoza 5% 307
Precipitații imediate Incompatibil
Injectabil Amphotericin B 0.6 mg/ml
Injectabil Amsacrine 1 mg/ml
Glucoza 5% 253
Incompatibil
Injectabil Amphotericin B 0.1 mg/ml
Solutie Ringer lactat 1172
Incompatibilitate nespecificată Incompatibil
Injectabil Amphotericin B
Injectabil Calcium gluconate
3644
Precipitații după 1 oră Incompatibil
Injectabil Amphotericin B
Injectabil Cefotaxime sodium
clorura de sodiu 0,9% 3871
Turbiditate imediată Incompatibil
Injectabil Amphotericin B 0,6 mg/ml
Injectabil Ceftaroline fosamil 2,22 mg/ml
Solutie Ringer lactat 3249
Precipitații imediate Incompatibil
Injectabil Amphotericin B
NaCl 0,9% + agent antibacterian 3591
Precipitații imediate Incompatibil
Injectabil Amphotericin B 0.6 mg/ml
Nutritie parenterala (amestec binar) 301
Precipitații imediate Incompatibil
Injectabil Amphotericin B 1 mg/ml
Injectabil Cefiderocol sulfate tosylate 20 mg/mL
clorura de sodiu 0,9% 4528
Instabilitate chimică Incompatibil
Injectabil Amphotericin B 0.1 mg/ml
Injectabil Cefpirome sulfate 50 mg/ml
clorura de sodiu 0,9% 280
Turbiditate imediată Incompatibil
Injectabil Amphotericin B 0,6 mg/ml
Injectabil Ceftaroline fosamil 2,22 mg/ml
clorura de sodiu 0,9% 3249
Precipitații imediate Incompatibil
Injectabil Amphotericin B 0.6 mg/ml
Injectabil Ceftobiprole medocaril sodium 2 mg/ml
clorura de sodiu 0,9% 2269
Precipitații imediate Incompatibil
Injectabil Amphotericin B 0.6 mg/ml
Nutriție parenterală (cu lipide) 1415
Turbiditate imediată Incompatibil
Injectabil Amphotericin B 0.1 mg/ml
Injectabil Cimetidine hydrochloride 0.6 mg/ml
Glucoza 5% 1201
Precipitații imediate Incompatibil
Injectabil Amphotericin B 0,6 & 1,2 mg/ml
Nutriție parenterală (cu lipide) 2043
Instabilitate imediată a emulsiei Incompatibil
Injectabil Amphotericin B 0.01 >> 5 mg/ml
Nutriție parenterală (cu lipide) 1498
Turbiditate imediată Incompatibil
Injectabil Amphotericin B 0.1 mg/ml
Injectabil Ceftolozane / tazobactam 10/5 mg/ml
Glucoza 5% 3828
Precipitații imediate Incompatibil
Injectabil Amphotericin B 1.35 mg/ml
Nutriție parenterală (cu lipide) 793
Precipitații imediate Incompatibil
Injectabil Amphotericin B 0.6 mg/ml
Injectabil Ceftobiprole medocaril sodium 2 mg/ml
Solutie Ringer lactat 2269
Instabilitate chimică Incompatibil
Injectabil Amphotericin B 0.09 mg/ml
Nutriție parenterală (cu lipide) 984
Incompatibilitate nespecificată Incompatibil
Injectabil Amphotericin B
Injectabil Calcium gluconate
4964
Precipitații imediate Incompatibil
Injectabil Amphotericin B 0,6 mg/ml
Injectabil Caspofungin acetate 0,7 mg/ml
clorura de sodiu 0,9% 2247
Turbiditate imediată Incompatibil
Injectabil Amphotericin B 0,6 mg/ml
Injectabil Ceftaroline fosamil 2,22 mg/ml
Glucoza 5% 3249
Compatibil
Injectabil Amphotericin B
Injectabil Ceftazidime
3883
Incompatibilitate nespecificată Incompatibil
Injectabil Amphotericin B
Injectabil Ceftobiprole medocaril sodium
4650
Precipitații imediate Incompatibil
Injectabil Amphotericin B
Nutriție parenterală (cu lipide) 270
Precipitații imediate Incompatibil
Injectabil Amphotericin B 0.6 mg/ml
Injectabil Ceftobiprole medocaril sodium 2 mg/ml
Glucoza 5% 2269
Instabilitate imediată a emulsiei Incompatibil
Injectabil Amphotericin B 0.6 mg/ml
Nutriție parenterală (cu lipide) 265
Precipitații imediate Incompatibil
Injectabil Amphotericin B 1 mg/ml
Injectabil Cefiderocol sulfate tosylate 20 mg/mL
Glucoza 5% 4528
Instabilitate chimică Incompatibil
Injectabil Amphotericin B 0.1 mg/ml
Injectabil Cefpirome sulfate 50 mg/ml
clorura de sodiu 0,45% 280
Instabilitate chimică Incompatibil
Injectabil Amphotericin B 0.1 mg/ml
Injectabil Cefpirome sulfate 50 mg/ml
Solutie Ringer lactat 280
Instabilitate chimică Incompatibil
Injectabil Amphotericin B 0.1 mg/ml
Injectabil Cefpirome sulfate 50 mg/ml
Glucoza 5% 280
Precipitații imediate Incompatibil
Injectabil Amphotericin B 0.1 mg/ml
Injectabil Ciprofloxacin lactate 2 mg/ml
Glucoza 5% 285
Precipitații imediate Incompatibil
Injectabil Amphotericin B
clorura de sodiu 0,9% 3591
Compatibil
Injectabil Amphotericin B 0.6 mg/ml
Injectabil Cisatracurium besylate 0.1 mg/ml
Glucoza 5% 299
Precipitații imediate Incompatibil
Injectabil Amphotericin B 0.6 mg/ml
Injectabil Cisatracurium besylate 2 & 5 mg/ml
Glucoza 5% 299
Precipitații imediate Incompatibil
Injectabil Amphotericin B 0.6 mg/ml
Injectabil Dexmedetomidine 4 µg/ml
Glucoza 5% 1712
Compatibil
Injectabil Amphotericin B 0.1 mg/ml
Injectabil Diltiazem hydrochloride 1 mg/ml
clorura de sodiu 0,9% 198
Turbiditate imediată Incompatibil
Injectabil Amphotericin B 0.6 mg/ml
Injectabil Docetaxel 0.9 mg/ml
Glucoza 5% 1754
Precipitații imediate Incompatibil
Injectabil Amphotericin B
Injectabil Dopamine hydrochloride
Glucoza 5% 3638
Compatibil
Injectabil Amphotericin B 0,6 mg/ml
Injectabil Doripenem 5 mg/ml
Glucoza 5% 2262
Precipitații imediate Incompatibil
Injectabil Amphotericin B 0.6 mg/ml
Injectabil Doxorubicin hydrochloride liposome peg 0.4 mg/ml
Glucoza 5% 251
Precipitații imediate Incompatibil
Injectabil Amphotericin B 0.6 mg/ml
Injectabil Etoposide phosphate 5 mg/ml
Glucoza 5% 1410
Incompatibil
Injectabil Amphotericin B 0.1 mg/ml
clorura de sodiu 0,9% 1172
Precipitații imediate Incompatibil
Injectabil Amphotericin B 0.6 mg/ml
Injectabil Doripenem 5 mg/ml
clorura de sodiu 0,9% 2262
Turbiditate în 4 ore Incompatibil
Injectabil Amphotericin B 0.1 mg/ml
Injectabil Enalaprilate 1.25 mg/ml
Glucoza 5% 201
Turbiditate în 2 ore Incompatibil
Injectabil Amphotericin B 0.1 mg/ml
Injectabil Enalaprilate 0.0125 mg/ml
Glucoza 5% 1703
Compatibil
Injectabil Amphotericin B 0.6 mg/ml
Injectabil Famotidine 2 mg/ml
clorura de sodiu 0,9% 215
Precipitații imediate Incompatibil
Injectabil Amphotericin B 0.6 mg/ml
Injectabil Fenoldopam mesylate 80 µg/ml
clorura de sodiu 0,9% 1803
Precipitații imediate Incompatibil
Injectabil Amphotericin B 0.6 mg/ml
Injectabil Filgrastim 30 µg/ml
Glucoza 5% 244
Turbiditate într-o oră Incompatibil
Injectabil Amphotericin B 5 mg/ml
Injectabil Fluconazole 2 mg/ml
clorura de sodiu 0,9% 496
Compatibil
Injectabil Amphotericin B 0.1 mg/ml
Injectabil Fluconazole 2 mg/ml
fara 256
Precipitații după 4 ore Incompatibil
Injectabil Amphotericin B 0.6 mg/ml
Injectabil Fludarabine phosphate 1 mg/ml
Glucoza 5% 492
Incompatibilitate nespecificată Incompatibil
Injectabil Amphotericin B
Injectabil Foscarnet sodium
3662
Turbiditate imediată Incompatibil
Injectabil Amphotericin B 0.6 mg/ml
Injectabil Foscarnet sodium 24 mg/ml
Glucoza 5% 1135
Precipitații imediate Incompatibil
Injectabil Amphotericin B 5 mg/ml
Injectabil Foscarnet sodium 24 mg/ml
fara 73
Turbiditate imediată Incompatibil
Injectabil Amphotericin B 0.1 mg/ml
Injectabil Fosfomycin 30 mg/ml
Glucoza 5% 4055
Precipitații imediate Incompatibil
Injectabil Amphotericin B 0.6 mg/ml
Injectabil Gemcitabine hydrochloride 10 mg/ml
clorura de sodiu 0,9% 1423
Turbiditate imediată Incompatibil
Injectabil Amphotericin B 0.6 mg/ml
Injectabil Granisetron hydrochloride 0.05 mg/ml
Glucoza 5% 182
Precipitații imediate Incompatibil
Injectabil Amphotericin B 0.6 mg/ml
Injectabil Hetastarch 60 mg/ml
specific de solvent 1721
Turbiditate imediată Incompatibil
Injectabil Amphotericin B 0.1 mg/ml
Injectabil Isavuconazonium sulfate 1.5 mg/ml
Glucoza 5% 3829
Precipitații imediate Incompatibil
Injectabil Amphotericin B 0.6 mg/ml
Injectabil Lansoprazole 0.55 mg/ml
clorura de sodiu 0,9% 1625
Incompatibilitate nespecificată Incompatibil
Injectabil Amphotericin B
Injectabil Lidocaine hydrochloride
5060
Precipitații imediate Incompatibil
Injectabil Amphotericin B 0.6 mg/ml
Injectabil Linezolid 2 mg/ml
fara 1925
Incompatibilitate nespecificată Incompatibil
Injectabil Amphotericin B
Injectabil Linezolid
3560
Precipitații după 2 ore Incompatibil
Injectabil Amphotericin B 0,04 & 0,08 mg/ml
Injectabil Magnesium sulfate 2 & 4 mg/ml
Glucoza 5% 682
Turbiditate imediată Incompatibil
Injectabil Amphotericin B 0.6 mg/ml
Injectabil Melphalan 0.1 mg/ml
clorura de sodiu 0,9% 169
Instabilitate chimică Incompatibil
Injectabil Amphotericin B 0.6 mg/ml
Injectabil Melphalan 0.1 mg/ml
Glucoza 5% 169
Compatibil
Injectabil Amphotericin B 5 mg/ml
Injectabil Meropenem 1 & 50 mg/ml
clorura de sodiu 0,9% 266
Compatibil
Injectabil Amphotericin B 0.2 mg/ml
Injectabil Meropenem 1 & 20 mg/ml
clorura de sodiu 0,9% 266
Incompatibilitate nespecificată Incompatibil
Injectabil Amphotericin B
Injectabil Metaraminol
5046
Incompatibilitate nespecificată Incompatibil
Injectabil Amphotericin B
Injectabil N-acetylcysteine 200 mg/ml
fara 3766
Precipitații imediate Incompatibil
Injectabil Amphotericin B 0,5 mg/ml
Injectabil Nalbuphine hydrochloride 0,05 >>0,33 mg/ml
clorura de sodiu 0,9% 5097
Precipitații imediate Incompatibil
Injectabil Amphotericin B 0,5 mg/ml
Injectabil Nalbuphine hydrochloride 0,05 >> 0,33 mg/ml
Glucoza 5% 4867
Incompatibilitate nespecificată Incompatibil
Injectabil Amphotericin B 4 mg/ml
Injectabil Naloxone hydrochloride 0.4 mg/ml
fara 3408
Turbiditate imediată Incompatibil
Injectabil Amphotericin B 0.6 mg/ml
Injectabil Ondansetron hydrochloride 1 mg/ml
Glucoza 5% 334
Turbiditate imediată Incompatibil
Injectabil Amphotericin B 0.1 mg/ml
Injectabil Oritavancin 0.8>>2 mg/ml
Glucoza 5% 3152
Turbiditate imediată Incompatibil
Injectabil Amphotericin B 0.6 mg/ml
Injectabil Paclitaxel 1.2 mg/ml
Glucoza 5% 248
Turbiditate într-o oră Incompatibil
Injectabil Amphotericin B
Injectabil Pantoprazole sodium
2090
Precipitații imediate Incompatibil
Injectabil Amphotericin B 0.6 mg/ml
Injectabil Pemetrexed disodium 20 mg/ml
clorura de sodiu 0,9% 1953
Incompatibilitate nespecificată Incompatibil
Injectabil Amphotericin B
Injectabil Penicillin G sodium
3585
Compatibil
Injectabil Amphotericin B 0,1 mg/ml
Injectabil Pentoxifyllin 5 mg/ml
Glucoza 5% 4543
Compatibil
Injectabil Amphotericin B 1 mg/ml
Injectabil Phloroglucinol 2,5 mg/ml
3791
Precipitații imediate Incompatibil
Injectabil Amphotericin B 0.6 mg/ml
Injectabil Piperacillin sodium / tazobactam 40/5 mg/ml
Glucoza 5% 81
Turbiditate imediată Incompatibil
Injectabil Amphotericin B 0,1 mg/ml
Injectabil Plazomicin sulfate 24 mg/ml
clorura de sodiu 0,9% 4145
Precipitații imediate Incompatibil
Injectabil Amphotericin B 0.6 mg/ml
Injectabil Propofol 10 mg/ml
fara 300
Compatibil
Injectabil Amphotericin B 0.6 mg/ml
Injectabil Remifentanil hydrochloride 25 µg/ml
Glucoza 5% 59
Precipitații imediate Incompatibil
Injectabil Amphotericin B 0.6 mg/ml
Injectabil Remifentanil hydrochloride 250 µg/ml
Glucoza 5% 59
Incompatibilitate nespecificată Incompatibil
Injectabil Amphotericin B
Injectabil Rocuronium bromide
3564
Turbiditate imediată Incompatibil
Injectabil Amphotericin B 50 mg/ml
Injectabil Salbutamol sulfate 1 mg/ml
fara 3216
Compatibil
Injectabil Amphotericin B 0.6 mg/ml
Injectabil Sargramostim 10 µg/ml
Glucoza 5% 335
Precipitații imediate Incompatibil
Injectabil Amphotericin B 0.6 mg/ml
Injectabil Sargramostim 10 µg/ml
clorura de sodiu 0,9% 335
Precipitații imediate Incompatibil
Injectabil Amphotericin B 0,1 mg/ml
Injectabil Sildenafil citrate 0,6 mg/ml
Glucoza 5% 4845
Instabilitate chimică Incompatibil
Injectabil Amphotericin B 0.1 mg/ml
Injectabil Sildenafil citrate 0,6 mg/ml
Glucoza 5% 4845
Compatibil
Injectabil Amphotericin B 5 mg/ml
Injectabil Tacrolimus 1000 µg/ml
apa pentru preparate injectabile 479
Turbiditate imediată Incompatibil
Injectabil Amphotericin B 0,1 mg/ml
Injectabil Telavancin hydrochloride 7,5 mg/ml
Glucoza 5% 3254
Compatibil
Injectabil Amphotericin B 0.6 mg/ml
Injectabil Teniposide 0.1 mg/ml
Glucoza 5% 905
Precipitații imediate Incompatibil
Injectabil Amphotericin B
Injectabil Thiopental sodium 25 mg/ml
clorura de sodiu 0,9% 3767
Compatibil
Injectabil Amphotericin B 0.6 mg/ml
Injectabil Thiotepa 1 mg/ml
Glucoza 5% 249
Incompatibilitate nespecificată Incompatibil
Injectabil Amphotericin B
Injectabil Tigecycline
3332
Precipitații după 8 ore Incompatibil
Injectabil Amphotericin B 0.1 mg/ml
Injectabil Verapamil hydrochloride 0.08 mg/ml
Glucoza 5% 1057
Precipitații imediate Incompatibil
Injectabil Amphotericin B 0.1 mg/ml
Injectabil Verapamil hydrochloride 0.08 mg/ml
clorura de sodiu 0,9% 1057
Precipitații imediate Incompatibil
Injectabil Amphotericin B 0.6 mg/ml
Injectabil Vinorelbine tartrate 1 mg/ml
Glucoza 5% 84
Compatibil
Injectabil Amphotericin B 0.6 mg/ml
Injectabil Zidovudine 4 mg/ml
Glucoza 5% 337
Precipitații imediate Incompatibil
Injectabil Amphotericin B ? mg/ml
clorura de sodiu 0,9% 892
Precipitații imediate Incompatibil
Injectabil Amphotericin B 0.6 mg/ml
Injectabil Vinorelbine tartrate 1 mg/ml
clorura de sodiu 0,9% 84

  Mentions Légales