Letztes “update” :
27/04/2026
Antifungoid   Amphotericin B  
Injektion
Aerosol Augentropfen Lösung zum Einnehmen Mundspüllösung
Stabilität der Lösung Gemengestabilität Stabilitätbeeinflussende Faktoren Kompatibilitäten Applikationsart Literaturverzeichnis pdf
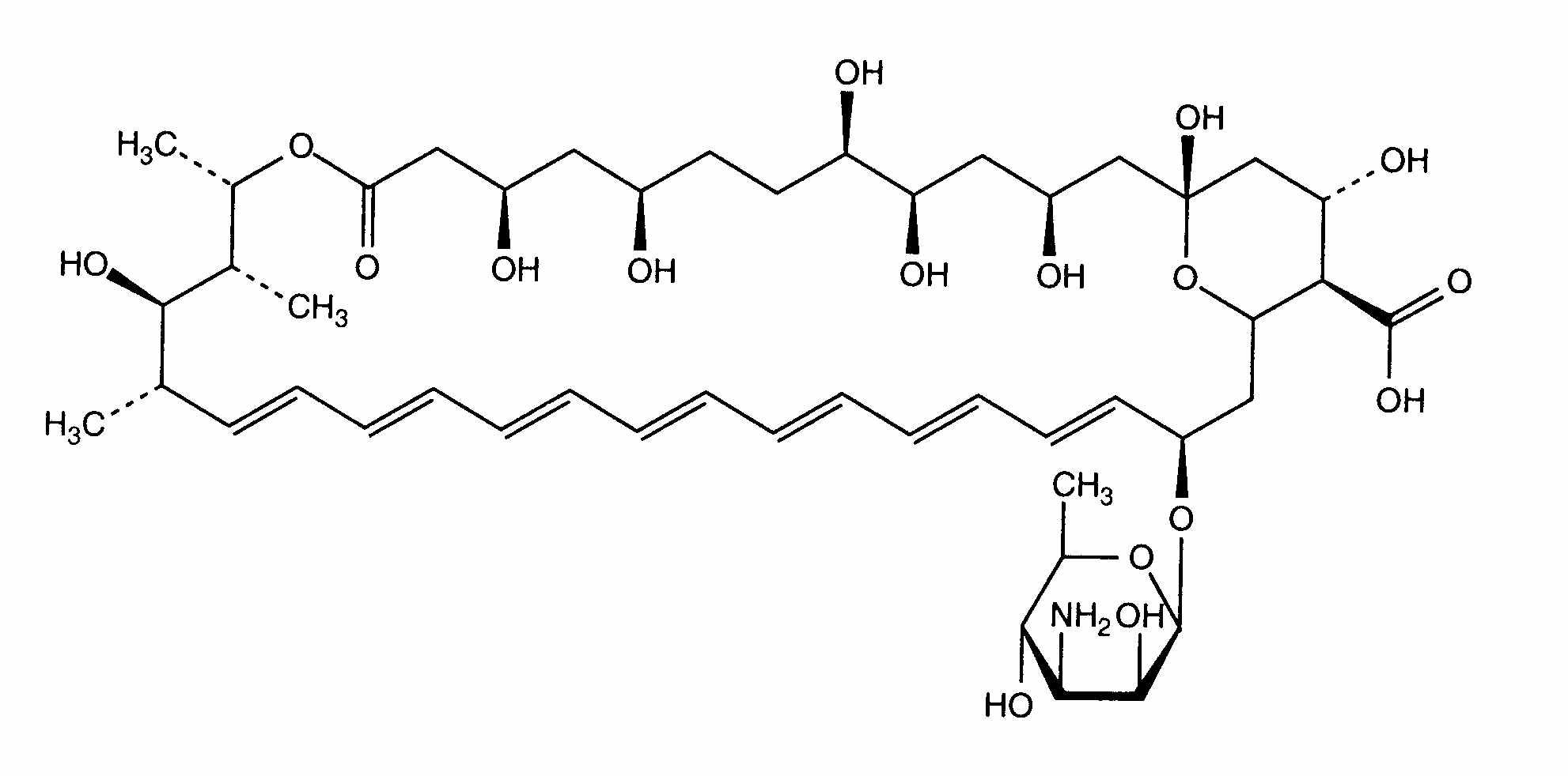
   Chemische Struktur  

Handelsmarke   Handelsmarke     

Handelsnamen sind als beispielhaft anzusehen. Sonstige Bestandteile können je nach Hersteller oder Land verschieden sein

Fungizone Dänemark, Deutschland, Finnland, Frankreich, Griechenland, Großbritannien, Indien, Iran, Irland, Italien, Kanada, Kolumbien, Malaysia, Marokko, Neuseeland, Niederlande, Portugal, Schweden, Schweiz, Tunesien, Türkei, Ungarn, Venezuela, Vereinigte Staaten von Amerika
Kompatibilitäten   Injektion   Kompatibilitäten : Amphotericin B              
Dieser Bildschirm zeigt die Kompatibilitäten oder Inkompatibilitäten mit der Art der Inkompatibilität (hier: Ausfällung, Farbänderung, Modifikation einer Emulsion usw.) an. Die hier gezeigten Kompatibilitäten sind meist nur physikalisch, wobei die chemische Stabilität jedes Moleküls selten bewertet wird. Die Bewertung dieser Gemische wurde untersucht, um die Möglichkeit einer Verabreichung über eine Y-Verbindung zu berücksichtigen. Diese Daten können daher nicht zur Herstellung von Mischungen im Voraus in Beuteln oder Spritzen verwendet werden. Sie finden diese Informationen auf dem Bildschirm "Stabilität in Mischung».
Molekül Lösungsmittel Literaturverzeichnis
kompatibel
Injektion Amphotericin B 1.6 mg/ml
Injektion Aldesleukin 0.0338 MUI/ml
5% Glucose 36
Sofortiger Niederschlag nicht kompatibel
Injektion Amphotericin B 0.6 mg/ml
Injektion Aztreonam 40 mg/ml
5% Glucose 99
Nicht spezifizierte Inkompatibilität nicht kompatibel
Injektion Amphotericin B
Ringer Lactat - Lösung 3968
Trübungsverlust nicht kompatibel
Injektion Amphotericin B 0.6 mg/ml
Injektion Allopurinol sodium 3 mg/ml
0,9% Natriumchlorid 307
Sofortige Trübung nicht kompatibel
Injektion Amphotericin B 0.6 mg/ml
Injektion Amifostine 10 mg/ml
5% Glucose 3
Nicht spezifizierte Inkompatibilität nicht kompatibel
Injektion Amphotericin B
Injektion Amikacin sulfate
3549
kompatibel
Injektion Amphotericin B 0,5 mg/ml
Injektion Amiodarone hydrochloride 6 mg/ml
5% Glucose 1611
Sofortige Trübung nicht kompatibel
Injektion Amphotericin B 0,6 mg/ml
Injektion Anidulafungin 0,5 mg/ml
5% Glucose 1982
Sofortiger Niederschlag nicht kompatibel
Injektion Amphotericin B
Injektion Bivalirudin
3539
Sofortiger Niederschlag nicht kompatibel
Injektion Amphotericin B 0.6 mg/ml
Injektion Bivalirudin 5 mg/ml
5% Glucose 1713
kompatibel
Injektion Amphotericin B 0.1 mg/ml
Injektion Caffeine 10 mg/ml
5% Glucose 4837
kompatibel
Injektion Amphotericin B 0,1 mg/ml
Injektion Caffeine citrate 20 mg/ml
5% Glucose 4837
kompatibel
Injektion Amphotericin B
5% Glucose 3591
Trübungsverlust nicht kompatibel
Injektion Amphotericin B 0.6 mg/ml
Injektion Allopurinol sodium 3 mg/ml
5% Glucose 307
Sofortiger Niederschlag nicht kompatibel
Injektion Amphotericin B 0.6 mg/ml
Injektion Amsacrine 1 mg/ml
5% Glucose 253
nicht kompatibel
Injektion Amphotericin B 0.1 mg/ml
Ringer Lactat - Lösung 1172
Nicht spezifizierte Inkompatibilität nicht kompatibel
Injektion Amphotericin B
Injektion Calcium gluconate
3644
Niederschlag nach 1 Stunde nicht kompatibel
Injektion Amphotericin B
Injektion Cefotaxime sodium
0,9% Natriumchlorid 3871
Sofortige Trübung nicht kompatibel
Injektion Amphotericin B 0,6 mg/ml
Injektion Ceftaroline fosamil 2,22 mg/ml
Ringer Lactat - Lösung 3249
Sofortiger Niederschlag nicht kompatibel
Injektion Amphotericin B
0,9% NaCl  + bakterostatsich 3591
Sofortiger Niederschlag nicht kompatibel
Injektion Amphotericin B 0.6 mg/ml
Parenterale Ernährung (Lipid-frei) 301
Sofortiger Niederschlag nicht kompatibel
Injektion Amphotericin B 1 mg/ml
Injektion Cefiderocol sulfate tosylate 20 mg/mL
0,9% Natriumchlorid 4528
Chemische Instabilität nicht kompatibel
Injektion Amphotericin B 0.1 mg/ml
Injektion Cefpirome sulfate 50 mg/ml
0,9% Natriumchlorid 280
Sofortige Trübung nicht kompatibel
Injektion Amphotericin B 0,6 mg/ml
Injektion Ceftaroline fosamil 2,22 mg/ml
0,9% Natriumchlorid 3249
Sofortiger Niederschlag nicht kompatibel
Injektion Amphotericin B 0.6 mg/ml
Injektion Ceftobiprole medocaril sodium 2 mg/ml
0,9% Natriumchlorid 2269
Sofortiger Niederschlag nicht kompatibel
Injektion Amphotericin B 0.6 mg/ml
Parenterale Ernährung (mit Lipiden) 1415
Sofortige Trübung nicht kompatibel
Injektion Amphotericin B 0.1 mg/ml
Injektion Cimetidine hydrochloride 0.6 mg/ml
5% Glucose 1201
Sofortiger Niederschlag nicht kompatibel
Injektion Amphotericin B 0,6 & 1,2 mg/ml
Parenterale Ernährung (mit Lipiden) 2043
Sofortige Instabilität der Emulsion nicht kompatibel
Injektion Amphotericin B 0.01 >> 5 mg/ml
Parenterale Ernährung (mit Lipiden) 1498
Sofortige Trübung nicht kompatibel
Injektion Amphotericin B 0.1 mg/ml
Injektion Ceftolozane / tazobactam 10/5 mg/ml
5% Glucose 3828
Sofortiger Niederschlag nicht kompatibel
Injektion Amphotericin B 1.35 mg/ml
Parenterale Ernährung (mit Lipiden) 793
Sofortiger Niederschlag nicht kompatibel
Injektion Amphotericin B 0.6 mg/ml
Injektion Ceftobiprole medocaril sodium 2 mg/ml
Ringer Lactat - Lösung 2269
Chemische Instabilität nicht kompatibel
Injektion Amphotericin B 0.09 mg/ml
Parenterale Ernährung (mit Lipiden) 984
Nicht spezifizierte Inkompatibilität nicht kompatibel
Injektion Amphotericin B
Injektion Calcium gluconate
4964
Sofortiger Niederschlag nicht kompatibel
Injektion Amphotericin B 0,6 mg/ml
Injektion Caspofungin acetate 0,7 mg/ml
0,9% Natriumchlorid 2247
Sofortige Trübung nicht kompatibel
Injektion Amphotericin B 0,6 mg/ml
Injektion Ceftaroline fosamil 2,22 mg/ml
5% Glucose 3249
kompatibel
Injektion Amphotericin B
Injektion Ceftazidime
3883
Nicht spezifizierte Inkompatibilität nicht kompatibel
Injektion Amphotericin B
Injektion Ceftobiprole medocaril sodium
4650
Sofortiger Niederschlag nicht kompatibel
Injektion Amphotericin B
Parenterale Ernährung (mit Lipiden) 270
Sofortiger Niederschlag nicht kompatibel
Injektion Amphotericin B 0.6 mg/ml
Injektion Ceftobiprole medocaril sodium 2 mg/ml
5% Glucose 2269
Sofortige Instabilität der Emulsion nicht kompatibel
Injektion Amphotericin B 0.6 mg/ml
Parenterale Ernährung (mit Lipiden) 265
Sofortiger Niederschlag nicht kompatibel
Injektion Amphotericin B 1 mg/ml
Injektion Cefiderocol sulfate tosylate 20 mg/mL
5% Glucose 4528
Chemische Instabilität nicht kompatibel
Injektion Amphotericin B 0.1 mg/ml
Injektion Cefpirome sulfate 50 mg/ml
0,45% Natriumchlorid 280
Chemische Instabilität nicht kompatibel
Injektion Amphotericin B 0.1 mg/ml
Injektion Cefpirome sulfate 50 mg/ml
Ringer Lactat - Lösung 280
Chemische Instabilität nicht kompatibel
Injektion Amphotericin B 0.1 mg/ml
Injektion Cefpirome sulfate 50 mg/ml
5% Glucose 280
Sofortiger Niederschlag nicht kompatibel
Injektion Amphotericin B 0.1 mg/ml
Injektion Ciprofloxacin lactate 2 mg/ml
5% Glucose 285
Sofortiger Niederschlag nicht kompatibel
Injektion Amphotericin B
0,9% Natriumchlorid 3591
kompatibel
Injektion Amphotericin B 0.6 mg/ml
Injektion Cisatracurium besylate 0.1 mg/ml
5% Glucose 299
Sofortiger Niederschlag nicht kompatibel
Injektion Amphotericin B 0.6 mg/ml
Injektion Cisatracurium besylate 2 & 5 mg/ml
5% Glucose 299
Sofortiger Niederschlag nicht kompatibel
Injektion Amphotericin B 0.6 mg/ml
Injektion Dexmedetomidine 4 µg/ml
5% Glucose 1712
kompatibel
Injektion Amphotericin B 0.1 mg/ml
Injektion Diltiazem hydrochloride 1 mg/ml
0,9% Natriumchlorid 198
Sofortige Trübung nicht kompatibel
Injektion Amphotericin B 0.6 mg/ml
Injektion Docetaxel 0.9 mg/ml
5% Glucose 1754
Sofortiger Niederschlag nicht kompatibel
Injektion Amphotericin B
Injektion Dopamine hydrochloride
5% Glucose 3638
kompatibel
Injektion Amphotericin B 0,6 mg/ml
Injektion Doripenem 5 mg/ml
5% Glucose 2262
Sofortiger Niederschlag nicht kompatibel
Injektion Amphotericin B 0.6 mg/ml
Injektion Doxorubicin hydrochloride liposome peg 0.4 mg/ml
5% Glucose 251
Sofortiger Niederschlag nicht kompatibel
Injektion Amphotericin B 0.6 mg/ml
Injektion Etoposide phosphate 5 mg/ml
5% Glucose 1410
nicht kompatibel
Injektion Amphotericin B 0.1 mg/ml
0,9% Natriumchlorid 1172
Sofortiger Niederschlag nicht kompatibel
Injektion Amphotericin B 0.6 mg/ml
Injektion Doripenem 5 mg/ml
0,9% Natriumchlorid 2262
Trübung in 4 Stunden nicht kompatibel
Injektion Amphotericin B 0.1 mg/ml
Injektion Enalaprilate 1.25 mg/ml
5% Glucose 201
Trübung in 2 Stunden nicht kompatibel
Injektion Amphotericin B 0.1 mg/ml
Injektion Enalaprilate 0.0125 mg/ml
5% Glucose 1703
kompatibel
Injektion Amphotericin B 0.6 mg/ml
Injektion Famotidine 2 mg/ml
0,9% Natriumchlorid 215
Sofortiger Niederschlag nicht kompatibel
Injektion Amphotericin B 0.6 mg/ml
Injektion Fenoldopam mesylate 80 µg/ml
0,9% Natriumchlorid 1803
Sofortiger Niederschlag nicht kompatibel
Injektion Amphotericin B 0.6 mg/ml
Injektion Filgrastim 30 µg/ml
5% Glucose 244
Trübung in einer Stunde nicht kompatibel
Injektion Amphotericin B 5 mg/ml
Injektion Fluconazole 2 mg/ml
0,9% Natriumchlorid 496
kompatibel
Injektion Amphotericin B 0.1 mg/ml
Injektion Fluconazole 2 mg/ml
Kein 256
Niederschlag nach 4 Stunden nicht kompatibel
Injektion Amphotericin B 0.6 mg/ml
Injektion Fludarabine phosphate 1 mg/ml
5% Glucose 492
Nicht spezifizierte Inkompatibilität nicht kompatibel
Injektion Amphotericin B
Injektion Foscarnet sodium
3662
Sofortige Trübung nicht kompatibel
Injektion Amphotericin B 0.6 mg/ml
Injektion Foscarnet sodium 24 mg/ml
5% Glucose 1135
Sofortiger Niederschlag nicht kompatibel
Injektion Amphotericin B 5 mg/ml
Injektion Foscarnet sodium 24 mg/ml
Kein 73
Sofortige Trübung nicht kompatibel
Injektion Amphotericin B 0.1 mg/ml
Injektion Fosfomycin 30 mg/ml
5% Glucose 4055
Sofortiger Niederschlag nicht kompatibel
Injektion Amphotericin B 0.6 mg/ml
Injektion Gemcitabine hydrochloride 10 mg/ml
0,9% Natriumchlorid 1423
Sofortige Trübung nicht kompatibel
Injektion Amphotericin B 0.6 mg/ml
Injektion Granisetron hydrochloride 0.05 mg/ml
5% Glucose 182
Sofortiger Niederschlag nicht kompatibel
Injektion Amphotericin B 0.6 mg/ml
Injektion Hetastarch 60 mg/ml
spezifische Lösungsmittel 1721
Sofortige Trübung nicht kompatibel
Injektion Amphotericin B 0.1 mg/ml
Injektion Isavuconazonium sulfate 1.5 mg/ml
5% Glucose 3829
Sofortiger Niederschlag nicht kompatibel
Injektion Amphotericin B 0.6 mg/ml
Injektion Lansoprazole 0.55 mg/ml
0,9% Natriumchlorid 1625
Nicht spezifizierte Inkompatibilität nicht kompatibel
Injektion Amphotericin B
Injektion Lidocaine hydrochloride
5060
Sofortiger Niederschlag nicht kompatibel
Injektion Amphotericin B 0.6 mg/ml
Injektion Linezolid 2 mg/ml
Kein 1925
Nicht spezifizierte Inkompatibilität nicht kompatibel
Injektion Amphotericin B
Injektion Linezolid
3560
Niederschlag nach 2 Stunden nicht kompatibel
Injektion Amphotericin B 0,04 & 0,08 mg/ml
Injektion Magnesium sulfate 2 & 4 mg/ml
5% Glucose 682
Sofortige Trübung nicht kompatibel
Injektion Amphotericin B 0.6 mg/ml
Injektion Melphalan 0.1 mg/ml
0,9% Natriumchlorid 169
Chemische Instabilität nicht kompatibel
Injektion Amphotericin B 0.6 mg/ml
Injektion Melphalan 0.1 mg/ml
5% Glucose 169
kompatibel
Injektion Amphotericin B 5 mg/ml
Injektion Meropenem 1 & 50 mg/ml
0,9% Natriumchlorid 266
kompatibel
Injektion Amphotericin B 0.2 mg/ml
Injektion Meropenem 1 & 20 mg/ml
0,9% Natriumchlorid 266
Nicht spezifizierte Inkompatibilität nicht kompatibel
Injektion Amphotericin B
Injektion Metaraminol
5046
Nicht spezifizierte Inkompatibilität nicht kompatibel
Injektion Amphotericin B
Injektion N-acetylcysteine 200 mg/ml
Kein 3766
Sofortiger Niederschlag nicht kompatibel
Injektion Amphotericin B 0,5 mg/ml
Injektion Nalbuphine hydrochloride 0,05 >>0,33 mg/ml
0,9% Natriumchlorid 5097
Sofortiger Niederschlag nicht kompatibel
Injektion Amphotericin B 0,5 mg/ml
Injektion Nalbuphine hydrochloride 0,05 >> 0,33 mg/ml
5% Glucose 4867
Nicht spezifizierte Inkompatibilität nicht kompatibel
Injektion Amphotericin B 4 mg/ml
Injektion Naloxone hydrochloride 0.4 mg/ml
Kein 3408
Sofortige Trübung nicht kompatibel
Injektion Amphotericin B 0.6 mg/ml
Injektion Ondansetron hydrochloride 1 mg/ml
5% Glucose 334
Sofortige Trübung nicht kompatibel
Injektion Amphotericin B 0.1 mg/ml
Injektion Oritavancin 0.8>>2 mg/ml
5% Glucose 3152
Sofortige Trübung nicht kompatibel
Injektion Amphotericin B 0.6 mg/ml
Injektion Paclitaxel 1.2 mg/ml
5% Glucose 248
Trübung in einer Stunde nicht kompatibel
Injektion Amphotericin B
Injektion Pantoprazole sodium
2090
Sofortiger Niederschlag nicht kompatibel
Injektion Amphotericin B 0.6 mg/ml
Injektion Pemetrexed disodium 20 mg/ml
0,9% Natriumchlorid 1953
Nicht spezifizierte Inkompatibilität nicht kompatibel
Injektion Amphotericin B
Injektion Penicillin G sodium
3585
kompatibel
Injektion Amphotericin B 0,1 mg/ml
Injektion Pentoxifyllin 5 mg/ml
5% Glucose 4543
kompatibel
Injektion Amphotericin B 1 mg/ml
Injektion Phloroglucinol 2,5 mg/ml
3791
Sofortiger Niederschlag nicht kompatibel
Injektion Amphotericin B 0.6 mg/ml
Injektion Piperacillin sodium / tazobactam 40/5 mg/ml
5% Glucose 81
Sofortige Trübung nicht kompatibel
Injektion Amphotericin B 0,1 mg/ml
Injektion Plazomicin sulfate 24 mg/ml
0,9% Natriumchlorid 4145
Sofortiger Niederschlag nicht kompatibel
Injektion Amphotericin B 0.6 mg/ml
Injektion Propofol 10 mg/ml
Kein 300
kompatibel
Injektion Amphotericin B 0.6 mg/ml
Injektion Remifentanil hydrochloride 25 µg/ml
5% Glucose 59
Sofortiger Niederschlag nicht kompatibel
Injektion Amphotericin B 0.6 mg/ml
Injektion Remifentanil hydrochloride 250 µg/ml
5% Glucose 59
Nicht spezifizierte Inkompatibilität nicht kompatibel
Injektion Amphotericin B
Injektion Rocuronium bromide
3564
Sofortige Trübung nicht kompatibel
Injektion Amphotericin B 50 mg/ml
Injektion Salbutamol sulfate 1 mg/ml
Kein 3216
kompatibel
Injektion Amphotericin B 0.6 mg/ml
Injektion Sargramostim 10 µg/ml
5% Glucose 335
Sofortiger Niederschlag nicht kompatibel
Injektion Amphotericin B 0.6 mg/ml
Injektion Sargramostim 10 µg/ml
0,9% Natriumchlorid 335
Sofortiger Niederschlag nicht kompatibel
Injektion Amphotericin B 0,1 mg/ml
Injektion Sildenafil citrate 0,6 mg/ml
5% Glucose 4845
Chemische Instabilität nicht kompatibel
Injektion Amphotericin B 0.1 mg/ml
Injektion Sildenafil citrate 0,6 mg/ml
5% Glucose 4845
kompatibel
Injektion Amphotericin B 5 mg/ml
Injektion Tacrolimus 1000 µg/ml
Wasser für injektable präparate 479
Sofortige Trübung nicht kompatibel
Injektion Amphotericin B 0,1 mg/ml
Injektion Telavancin hydrochloride 7,5 mg/ml
5% Glucose 3254
kompatibel
Injektion Amphotericin B 0.6 mg/ml
Injektion Teniposide 0.1 mg/ml
5% Glucose 905
Sofortiger Niederschlag nicht kompatibel
Injektion Amphotericin B
Injektion Thiopental sodium 25 mg/ml
0,9% Natriumchlorid 3767
kompatibel
Injektion Amphotericin B 0.6 mg/ml
Injektion Thiotepa 1 mg/ml
5% Glucose 249
Nicht spezifizierte Inkompatibilität nicht kompatibel
Injektion Amphotericin B
Injektion Tigecycline
3332
Niederschlag nach 8 Stunden nicht kompatibel
Injektion Amphotericin B 0.1 mg/ml
Injektion Verapamil hydrochloride 0.08 mg/ml
5% Glucose 1057
Sofortiger Niederschlag nicht kompatibel
Injektion Amphotericin B 0.1 mg/ml
Injektion Verapamil hydrochloride 0.08 mg/ml
0,9% Natriumchlorid 1057
Sofortiger Niederschlag nicht kompatibel
Injektion Amphotericin B 0.6 mg/ml
Injektion Vinorelbine tartrate 1 mg/ml
5% Glucose 84
kompatibel
Injektion Amphotericin B 0.6 mg/ml
Injektion Zidovudine 4 mg/ml
5% Glucose 337
Sofortiger Niederschlag nicht kompatibel
Injektion Amphotericin B ? mg/ml
0,9% Natriumchlorid 892
Sofortiger Niederschlag nicht kompatibel
Injektion Amphotericin B 0.6 mg/ml
Injektion Vinorelbine tartrate 1 mg/ml
0,9% Natriumchlorid 84

  Mentions Légales