آخر تحديث :
27/04/2026
مضاد للفطريات   Amphotericin B  
حقن
الأيروصولات عن طريق الفم  غسول الفم قطرات العين
الاستقرار في حلول استقرار مخاليط العوامل التي تؤثر على الاستقرار التوافق طريقة التعاطي مراجع pdf
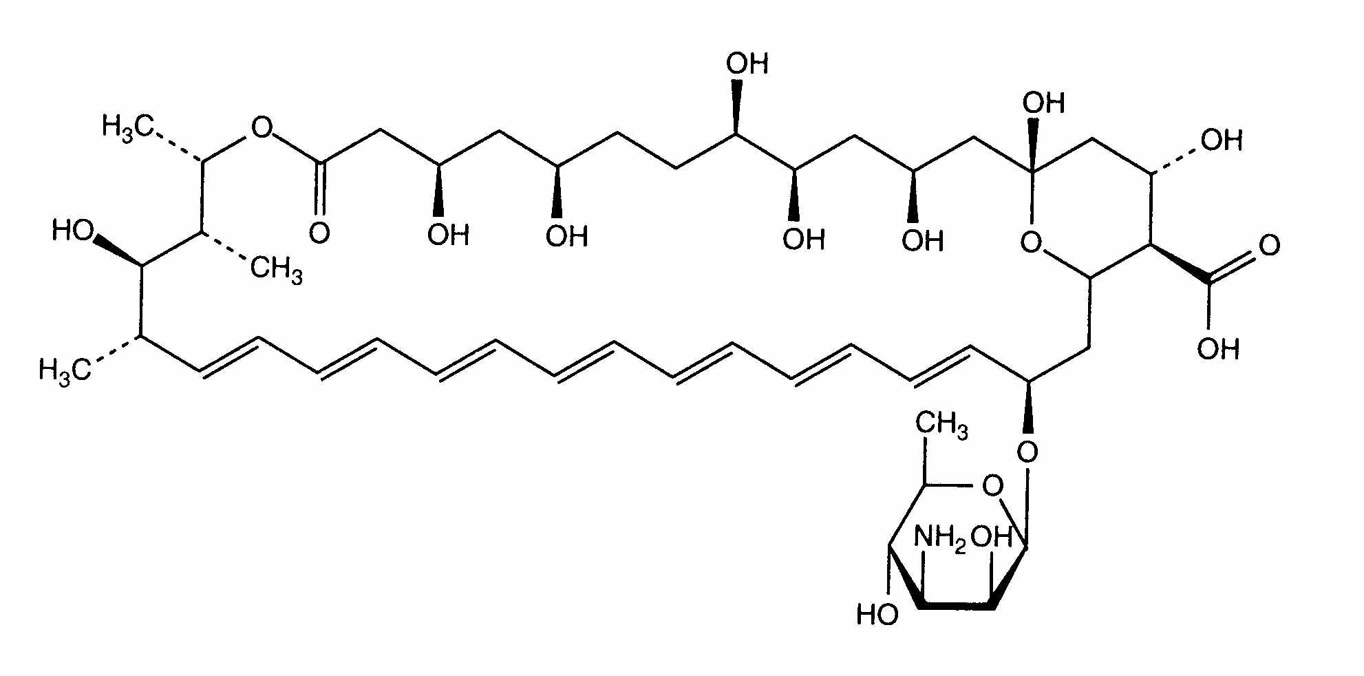
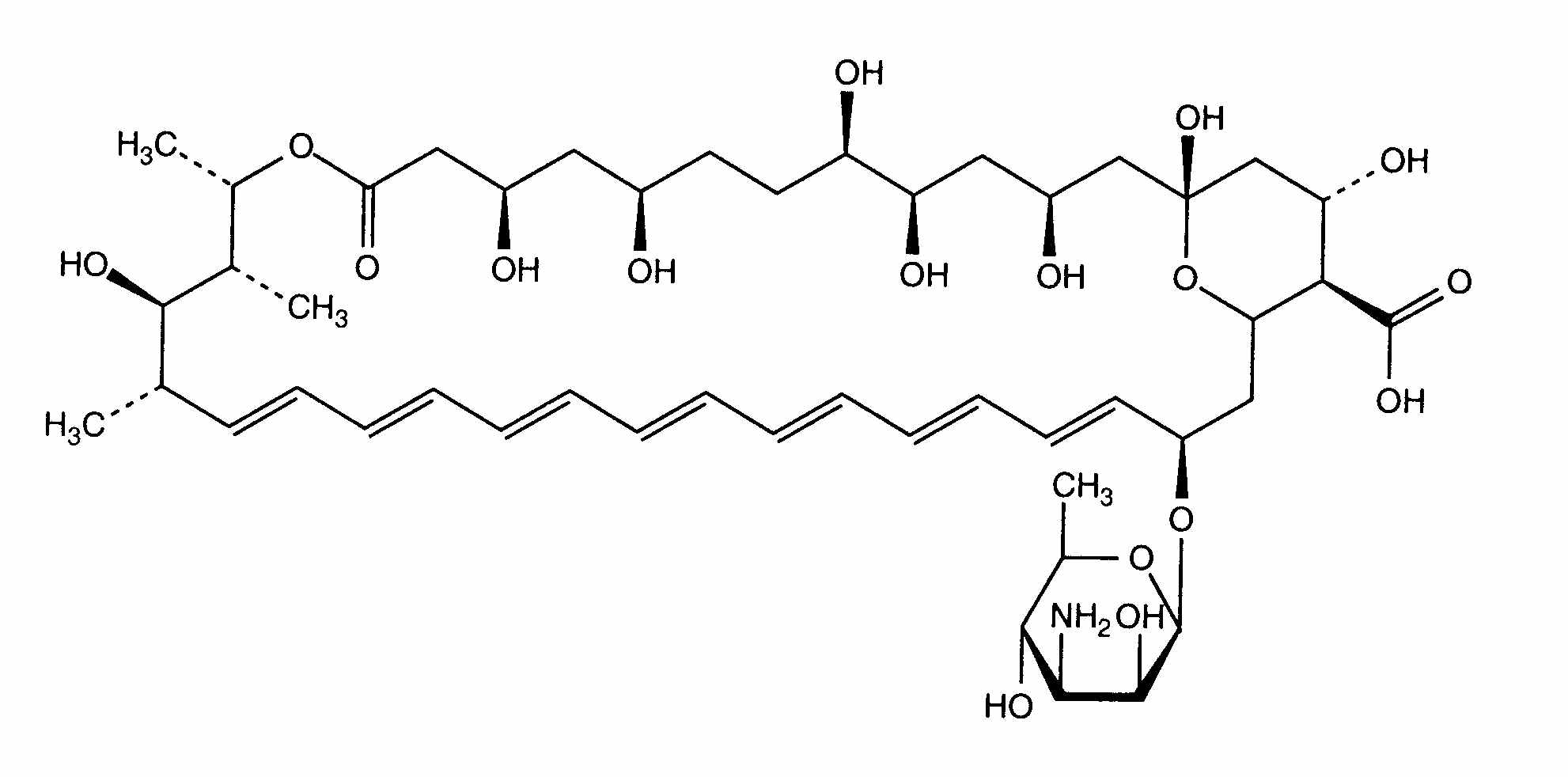
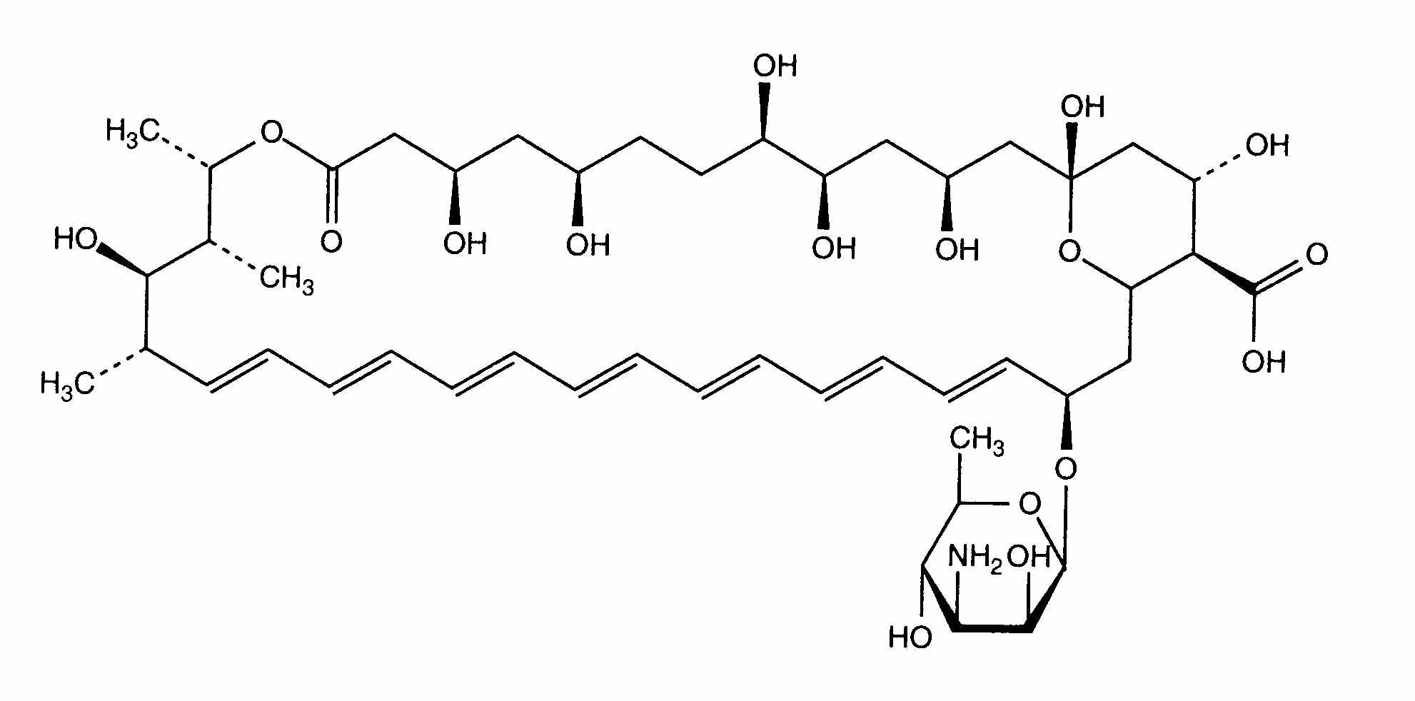
   التركيب الكيميائي  

حجز الاسم التجاري   حجز الاسم التجاري     

تحذير الأسماء التجاريه المختلفه قد تحتوي علي محتوي إضافات مختلفة حسب الدوله و المعمل

Fungizone ألمانيا, إيران, إيطاليا, البرتغال, الدنمارك, السويد, المغرب, الهند, الولايات المتحدة, ايرلندا, بريطانيا العظمي, تركيا, تونس, زيلاندا الجديدة, سويسرا, فرنسا, فنزويلا, فنلندا, كندا, كولومبيا, ماليزيا, هنغاريا, هولندا, يونان
التوافق   حقن   التوافق : Amphotericin B              
This screen indicates the compatibilities or incompatibilities with, in this case, the type of incompatibility (precipitation, color change, modification of an emulsion, etc.). The compatibilities shown here are mostly physical only, with the chemical stability of each molecule rarely being assessed. The evaluation of these mixtures was studied to consider the possibility of Y-site administration to the patient. These data cannot be used for making mixtures in advance in bags or syringes. This type of information is available in the screen "Stability in mixture ».
مركب مذيب مراجع
kompatibel
حقن Amphotericin B 1.6 mg/ml
حقن Aldesleukin 0.0338 MUI/ml
الجلوكوز %5 36
هطول فوري غير متوافق
حقن Amphotericin B 0.6 mg/ml
حقن Aztreonam 40 mg/ml
الجلوكوز %5 99
عدم توافق غير محدد غير متوافق
حقن Amphotericin B
محلول رينجر  اللاكتات 3968
فقدان العكارة غير متوافق
حقن Amphotericin B 0.6 mg/ml
حقن Allopurinol sodium 3 mg/ml
كلوريد الصوديوم 0.9% 307
التعكر الفوري غير متوافق
حقن Amphotericin B 0.6 mg/ml
حقن Amifostine 10 mg/ml
الجلوكوز %5 3
عدم توافق غير محدد غير متوافق
حقن Amphotericin B
حقن Amikacin sulfate
3549
kompatibel
حقن Amphotericin B 0,5 mg/ml
حقن Amiodarone hydrochloride 6 mg/ml
الجلوكوز %5 1611
التعكر الفوري غير متوافق
حقن Amphotericin B 0,6 mg/ml
حقن Anidulafungin 0,5 mg/ml
الجلوكوز %5 1982
هطول فوري غير متوافق
حقن Amphotericin B
حقن Bivalirudin
3539
هطول فوري غير متوافق
حقن Amphotericin B 0.6 mg/ml
حقن Bivalirudin 5 mg/ml
الجلوكوز %5 1713
kompatibel
حقن Amphotericin B 0.1 mg/ml
حقن Caffeine 10 mg/ml
الجلوكوز %5 4837
kompatibel
حقن Amphotericin B 0,1 mg/ml
حقن Caffeine citrate 20 mg/ml
الجلوكوز %5 4837
kompatibel
حقن Amphotericin B
الجلوكوز %5 3591
فقدان العكارة غير متوافق
حقن Amphotericin B 0.6 mg/ml
حقن Allopurinol sodium 3 mg/ml
الجلوكوز %5 307
هطول فوري غير متوافق
حقن Amphotericin B 0.6 mg/ml
حقن Amsacrine 1 mg/ml
الجلوكوز %5 253
غير متوافق
حقن Amphotericin B 0.1 mg/ml
محلول رينجر  اللاكتات 1172
عدم توافق غير محدد غير متوافق
حقن Amphotericin B
حقن Calcium gluconate
3644
هطول الأمطار بعد 1 ساعة غير متوافق
حقن Amphotericin B
حقن Cefotaxime sodium
كلوريد الصوديوم 0.9% 3871
التعكر الفوري غير متوافق
حقن Amphotericin B 0,6 mg/ml
حقن Ceftaroline fosamil 2,22 mg/ml
محلول رينجر  اللاكتات 3249
هطول فوري غير متوافق
حقن Amphotericin B
كلوريد الصوديوم 0.9% + مضاد للجراثيم 3591
هطول فوري غير متوافق
حقن Amphotericin B 0.6 mg/ml
 التغذية الوريدية (خالية من الدهن) 301
هطول فوري غير متوافق
حقن Amphotericin B 1 mg/ml
حقن Cefiderocol sulfate tosylate 20 mg/mL
كلوريد الصوديوم 0.9% 4528
عدم الاستقرار الكيميائي غير متوافق
حقن Amphotericin B 0.1 mg/ml
حقن Cefpirome sulfate 50 mg/ml
كلوريد الصوديوم 0.9% 280
التعكر الفوري غير متوافق
حقن Amphotericin B 0,6 mg/ml
حقن Ceftaroline fosamil 2,22 mg/ml
كلوريد الصوديوم 0.9% 3249
هطول فوري غير متوافق
حقن Amphotericin B 0.6 mg/ml
حقن Ceftobiprole medocaril sodium 2 mg/ml
كلوريد الصوديوم 0.9% 2269
هطول فوري غير متوافق
حقن Amphotericin B 0.6 mg/ml
التغذية الوريدية (مع الدهون) 1415
التعكر الفوري غير متوافق
حقن Amphotericin B 0.1 mg/ml
حقن Cimetidine hydrochloride 0.6 mg/ml
الجلوكوز %5 1201
هطول فوري غير متوافق
حقن Amphotericin B 0,6 & 1,2 mg/ml
التغذية الوريدية (مع الدهون) 2043
عدم استقرار فوري للمستحلب غير متوافق
حقن Amphotericin B 0.01 >> 5 mg/ml
التغذية الوريدية (مع الدهون) 1498
التعكر الفوري غير متوافق
حقن Amphotericin B 0.1 mg/ml
حقن Ceftolozane / tazobactam 10/5 mg/ml
الجلوكوز %5 3828
هطول فوري غير متوافق
حقن Amphotericin B 1.35 mg/ml
التغذية الوريدية (مع الدهون) 793
هطول فوري غير متوافق
حقن Amphotericin B 0.6 mg/ml
حقن Ceftobiprole medocaril sodium 2 mg/ml
محلول رينجر  اللاكتات 2269
عدم الاستقرار الكيميائي غير متوافق
حقن Amphotericin B 0.09 mg/ml
التغذية الوريدية (مع الدهون) 984
عدم توافق غير محدد غير متوافق
حقن Amphotericin B
حقن Calcium gluconate
4964
هطول فوري غير متوافق
حقن Amphotericin B 0,6 mg/ml
حقن Caspofungin acetate 0,7 mg/ml
كلوريد الصوديوم 0.9% 2247
التعكر الفوري غير متوافق
حقن Amphotericin B 0,6 mg/ml
حقن Ceftaroline fosamil 2,22 mg/ml
الجلوكوز %5 3249
kompatibel
حقن Amphotericin B
حقن Ceftazidime
3883
عدم توافق غير محدد غير متوافق
حقن Amphotericin B
حقن Ceftobiprole medocaril sodium
4650
هطول فوري غير متوافق
حقن Amphotericin B
التغذية الوريدية (مع الدهون) 270
هطول فوري غير متوافق
حقن Amphotericin B 0.6 mg/ml
حقن Ceftobiprole medocaril sodium 2 mg/ml
الجلوكوز %5 2269
عدم استقرار فوري للمستحلب غير متوافق
حقن Amphotericin B 0.6 mg/ml
التغذية الوريدية (مع الدهون) 265
هطول فوري غير متوافق
حقن Amphotericin B 1 mg/ml
حقن Cefiderocol sulfate tosylate 20 mg/mL
الجلوكوز %5 4528
عدم الاستقرار الكيميائي غير متوافق
حقن Amphotericin B 0.1 mg/ml
حقن Cefpirome sulfate 50 mg/ml
كلوريد الصوديوم 0.45% 280
عدم الاستقرار الكيميائي غير متوافق
حقن Amphotericin B 0.1 mg/ml
حقن Cefpirome sulfate 50 mg/ml
محلول رينجر  اللاكتات 280
عدم الاستقرار الكيميائي غير متوافق
حقن Amphotericin B 0.1 mg/ml
حقن Cefpirome sulfate 50 mg/ml
الجلوكوز %5 280
هطول فوري غير متوافق
حقن Amphotericin B 0.1 mg/ml
حقن Ciprofloxacin lactate 2 mg/ml
الجلوكوز %5 285
هطول فوري غير متوافق
حقن Amphotericin B
كلوريد الصوديوم 0.9% 3591
kompatibel
حقن Amphotericin B 0.6 mg/ml
حقن Cisatracurium besylate 0.1 mg/ml
الجلوكوز %5 299
هطول فوري غير متوافق
حقن Amphotericin B 0.6 mg/ml
حقن Cisatracurium besylate 2 & 5 mg/ml
الجلوكوز %5 299
هطول فوري غير متوافق
حقن Amphotericin B 0.6 mg/ml
حقن Dexmedetomidine 4 µg/ml
الجلوكوز %5 1712
kompatibel
حقن Amphotericin B 0.1 mg/ml
حقن Diltiazem hydrochloride 1 mg/ml
كلوريد الصوديوم 0.9% 198
التعكر الفوري غير متوافق
حقن Amphotericin B 0.6 mg/ml
حقن Docetaxel 0.9 mg/ml
الجلوكوز %5 1754
هطول فوري غير متوافق
حقن Amphotericin B
حقن Dopamine hydrochloride
الجلوكوز %5 3638
kompatibel
حقن Amphotericin B 0,6 mg/ml
حقن Doripenem 5 mg/ml
الجلوكوز %5 2262
هطول فوري غير متوافق
حقن Amphotericin B 0.6 mg/ml
حقن Doxorubicin hydrochloride liposome peg 0.4 mg/ml
الجلوكوز %5 251
هطول فوري غير متوافق
حقن Amphotericin B 0.6 mg/ml
حقن Etoposide phosphate 5 mg/ml
الجلوكوز %5 1410
غير متوافق
حقن Amphotericin B 0.1 mg/ml
كلوريد الصوديوم 0.9% 1172
هطول فوري غير متوافق
حقن Amphotericin B 0.6 mg/ml
حقن Doripenem 5 mg/ml
كلوريد الصوديوم 0.9% 2262
العكارة في 4 ساعات غير متوافق
حقن Amphotericin B 0.1 mg/ml
حقن Enalaprilate 1.25 mg/ml
الجلوكوز %5 201
التعكر في 2 ساعات غير متوافق
حقن Amphotericin B 0.1 mg/ml
حقن Enalaprilate 0.0125 mg/ml
الجلوكوز %5 1703
kompatibel
حقن Amphotericin B 0.6 mg/ml
حقن Famotidine 2 mg/ml
كلوريد الصوديوم 0.9% 215
هطول فوري غير متوافق
حقن Amphotericin B 0.6 mg/ml
حقن Fenoldopam mesylate 80 µg/ml
كلوريد الصوديوم 0.9% 1803
هطول فوري غير متوافق
حقن Amphotericin B 0.6 mg/ml
حقن Filgrastim 30 µg/ml
الجلوكوز %5 244
العكارة في ساعة واحدة غير متوافق
حقن Amphotericin B 5 mg/ml
حقن Fluconazole 2 mg/ml
كلوريد الصوديوم 0.9% 496
kompatibel
حقن Amphotericin B 0.1 mg/ml
حقن Fluconazole 2 mg/ml
لا شيء 256
هطول الأمطار بعد 4 ساعات غير متوافق
حقن Amphotericin B 0.6 mg/ml
حقن Fludarabine phosphate 1 mg/ml
الجلوكوز %5 492
عدم توافق غير محدد غير متوافق
حقن Amphotericin B
حقن Foscarnet sodium
3662
التعكر الفوري غير متوافق
حقن Amphotericin B 0.6 mg/ml
حقن Foscarnet sodium 24 mg/ml
الجلوكوز %5 1135
هطول فوري غير متوافق
حقن Amphotericin B 5 mg/ml
حقن Foscarnet sodium 24 mg/ml
لا شيء 73
التعكر الفوري غير متوافق
حقن Amphotericin B 0.1 mg/ml
حقن Fosfomycin 30 mg/ml
الجلوكوز %5 4055
هطول فوري غير متوافق
حقن Amphotericin B 0.6 mg/ml
حقن Gemcitabine hydrochloride 10 mg/ml
كلوريد الصوديوم 0.9% 1423
التعكر الفوري غير متوافق
حقن Amphotericin B 0.6 mg/ml
حقن Granisetron hydrochloride 0.05 mg/ml
الجلوكوز %5 182
هطول فوري غير متوافق
حقن Amphotericin B 0.6 mg/ml
حقن Hetastarch 60 mg/ml
مذيب معين 1721
التعكر الفوري غير متوافق
حقن Amphotericin B 0.1 mg/ml
حقن Isavuconazonium sulfate 1.5 mg/ml
الجلوكوز %5 3829
هطول فوري غير متوافق
حقن Amphotericin B 0.6 mg/ml
حقن Lansoprazole 0.55 mg/ml
كلوريد الصوديوم 0.9% 1625
عدم توافق غير محدد غير متوافق
حقن Amphotericin B
حقن Lidocaine hydrochloride
5060
هطول فوري غير متوافق
حقن Amphotericin B 0.6 mg/ml
حقن Linezolid 2 mg/ml
لا شيء 1925
عدم توافق غير محدد غير متوافق
حقن Amphotericin B
حقن Linezolid
3560
هطول الأمطار بعد 2 ساعات غير متوافق
حقن Amphotericin B 0,04 & 0,08 mg/ml
حقن Magnesium sulfate 2 & 4 mg/ml
الجلوكوز %5 682
التعكر الفوري غير متوافق
حقن Amphotericin B 0.6 mg/ml
حقن Melphalan 0.1 mg/ml
كلوريد الصوديوم 0.9% 169
عدم الاستقرار الكيميائي غير متوافق
حقن Amphotericin B 0.6 mg/ml
حقن Melphalan 0.1 mg/ml
الجلوكوز %5 169
kompatibel
حقن Amphotericin B 5 mg/ml
حقن Meropenem 1 & 50 mg/ml
كلوريد الصوديوم 0.9% 266
kompatibel
حقن Amphotericin B 0.2 mg/ml
حقن Meropenem 1 & 20 mg/ml
كلوريد الصوديوم 0.9% 266
عدم توافق غير محدد غير متوافق
حقن Amphotericin B
حقن Metaraminol
5046
عدم توافق غير محدد غير متوافق
حقن Amphotericin B
حقن N-acetylcysteine 200 mg/ml
لا شيء 3766
هطول فوري غير متوافق
حقن Amphotericin B 0,5 mg/ml
حقن Nalbuphine hydrochloride 0,05 >>0,33 mg/ml
كلوريد الصوديوم 0.9% 5097
هطول فوري غير متوافق
حقن Amphotericin B 0,5 mg/ml
حقن Nalbuphine hydrochloride 0,05 >> 0,33 mg/ml
الجلوكوز %5 4867
عدم توافق غير محدد غير متوافق
حقن Amphotericin B 4 mg/ml
حقن Naloxone hydrochloride 0.4 mg/ml
لا شيء 3408
التعكر الفوري غير متوافق
حقن Amphotericin B 0.6 mg/ml
حقن Ondansetron hydrochloride 1 mg/ml
الجلوكوز %5 334
التعكر الفوري غير متوافق
حقن Amphotericin B 0.1 mg/ml
حقن Oritavancin 0.8>>2 mg/ml
الجلوكوز %5 3152
التعكر الفوري غير متوافق
حقن Amphotericin B 0.6 mg/ml
حقن Paclitaxel 1.2 mg/ml
الجلوكوز %5 248
العكارة في ساعة واحدة غير متوافق
حقن Amphotericin B
حقن Pantoprazole sodium
2090
هطول فوري غير متوافق
حقن Amphotericin B 0.6 mg/ml
حقن Pemetrexed disodium 20 mg/ml
كلوريد الصوديوم 0.9% 1953
عدم توافق غير محدد غير متوافق
حقن Amphotericin B
حقن Penicillin G sodium
3585
kompatibel
حقن Amphotericin B 0,1 mg/ml
حقن Pentoxifyllin 5 mg/ml
الجلوكوز %5 4543
kompatibel
حقن Amphotericin B 1 mg/ml
حقن Phloroglucinol 2,5 mg/ml
3791
هطول فوري غير متوافق
حقن Amphotericin B 0.6 mg/ml
حقن Piperacillin sodium / tazobactam 40/5 mg/ml
الجلوكوز %5 81
التعكر الفوري غير متوافق
حقن Amphotericin B 0,1 mg/ml
حقن Plazomicin sulfate 24 mg/ml
كلوريد الصوديوم 0.9% 4145
هطول فوري غير متوافق
حقن Amphotericin B 0.6 mg/ml
حقن Propofol 10 mg/ml
لا شيء 300
kompatibel
حقن Amphotericin B 0.6 mg/ml
حقن Remifentanil hydrochloride 25 µg/ml
الجلوكوز %5 59
هطول فوري غير متوافق
حقن Amphotericin B 0.6 mg/ml
حقن Remifentanil hydrochloride 250 µg/ml
الجلوكوز %5 59
عدم توافق غير محدد غير متوافق
حقن Amphotericin B
حقن Rocuronium bromide
3564
التعكر الفوري غير متوافق
حقن Amphotericin B 50 mg/ml
حقن Salbutamol sulfate 1 mg/ml
لا شيء 3216
kompatibel
حقن Amphotericin B 0.6 mg/ml
حقن Sargramostim 10 µg/ml
الجلوكوز %5 335
هطول فوري غير متوافق
حقن Amphotericin B 0.6 mg/ml
حقن Sargramostim 10 µg/ml
كلوريد الصوديوم 0.9% 335
هطول فوري غير متوافق
حقن Amphotericin B 0,1 mg/ml
حقن Sildenafil citrate 0,6 mg/ml
الجلوكوز %5 4845
عدم الاستقرار الكيميائي غير متوافق
حقن Amphotericin B 0.1 mg/ml
حقن Sildenafil citrate 0,6 mg/ml
الجلوكوز %5 4845
kompatibel
حقن Amphotericin B 5 mg/ml
حقن Tacrolimus 1000 µg/ml
حقن المياه لل 479
التعكر الفوري غير متوافق
حقن Amphotericin B 0,1 mg/ml
حقن Telavancin hydrochloride 7,5 mg/ml
الجلوكوز %5 3254
kompatibel
حقن Amphotericin B 0.6 mg/ml
حقن Teniposide 0.1 mg/ml
الجلوكوز %5 905
هطول فوري غير متوافق
حقن Amphotericin B
حقن Thiopental sodium 25 mg/ml
كلوريد الصوديوم 0.9% 3767
kompatibel
حقن Amphotericin B 0.6 mg/ml
حقن Thiotepa 1 mg/ml
الجلوكوز %5 249
عدم توافق غير محدد غير متوافق
حقن Amphotericin B
حقن Tigecycline
3332
هطول الأمطار بعد 8 ساعات غير متوافق
حقن Amphotericin B 0.1 mg/ml
حقن Verapamil hydrochloride 0.08 mg/ml
الجلوكوز %5 1057
هطول فوري غير متوافق
حقن Amphotericin B 0.1 mg/ml
حقن Verapamil hydrochloride 0.08 mg/ml
كلوريد الصوديوم 0.9% 1057
هطول فوري غير متوافق
حقن Amphotericin B 0.6 mg/ml
حقن Vinorelbine tartrate 1 mg/ml
الجلوكوز %5 84
kompatibel
حقن Amphotericin B 0.6 mg/ml
حقن Zidovudine 4 mg/ml
الجلوكوز %5 337
هطول فوري غير متوافق
حقن Amphotericin B ? mg/ml
كلوريد الصوديوم 0.9% 892
هطول فوري غير متوافق
حقن Amphotericin B 0.6 mg/ml
حقن Vinorelbine tartrate 1 mg/ml
كلوريد الصوديوم 0.9% 84

  Mentions Légales