Last update :
27/04/2026
Antifungal   Amphotericin B  
injection
aerosol Eye-drops Mouthwash Oral solution
Stability in solutions Stability of mixtures Factors which affect stability Compatibility Route of administration References pdf
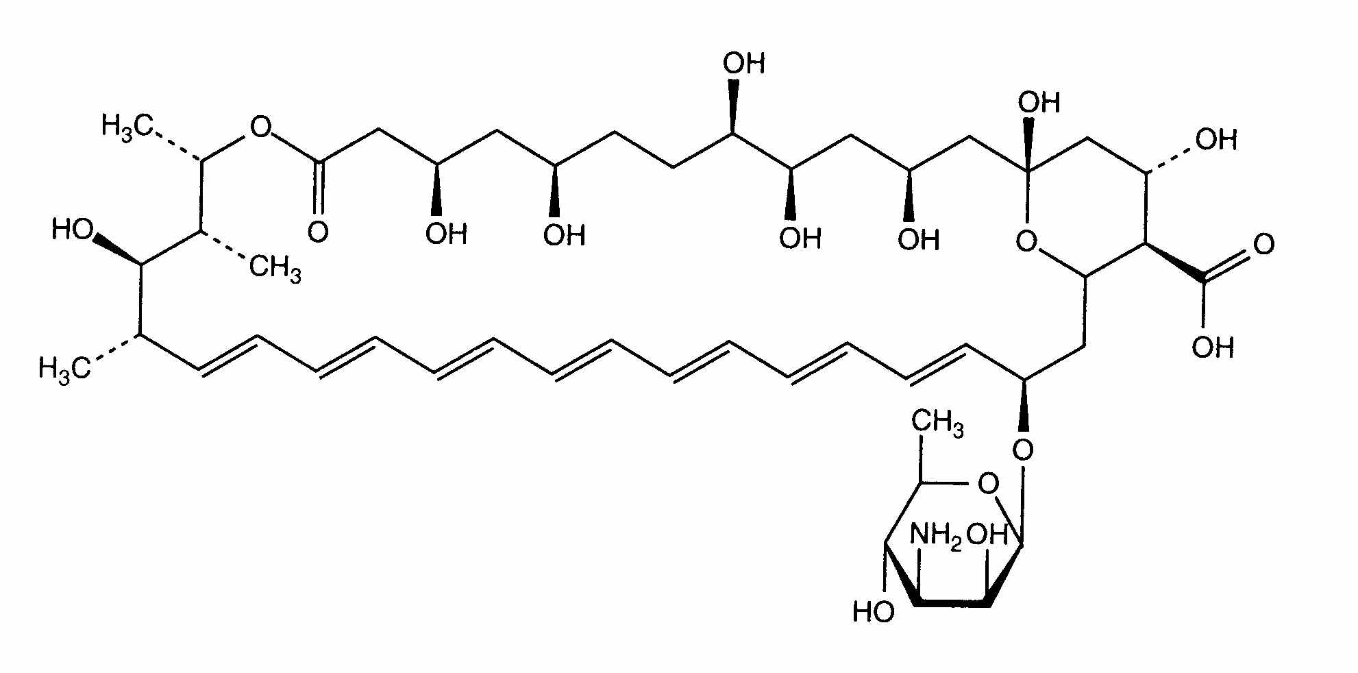
   Chemical structure  

Tradename   Tradename     

Trade names are indicative and excipients composition can be different depending on the country and manufacturers

Fungizone Canada, Colombia, Denmark, Finland, France, Germany, Great Britain, Greece, Hungary, India, Iran, Ireland, Italy, Malaysia, Morocco, Netherlands, New Zealand, Portugal, Sweden, Switzerland, Tunisia, Turkey, United States of America, Venezuela
Compatibility   injection   Compatibility : Amphotericin B              
This screen indicates the compatibilities or incompatibilities with, in this case, the type of incompatibility (precipitation, color change, modification of an emulsion, etc.). The compatibilities shown here are mostly physical only, with the chemical stability of each molecule rarely being assessed. The evaluation of these mixtures was studied to consider the possibility of Y-site administration to the patient. These data cannot be used for making mixtures in advance in bags or syringes. This type of information is available in the screen "Stability in mixture ».
Compound Solvent References
Compatible
injection Amphotericin B 1.6 mg/ml
injection Aldesleukin 0.0338 MUI/ml
Glucose 5% 36
Immediate precipitation Incompatible
injection Amphotericin B 0.6 mg/ml
injection Aztreonam 40 mg/ml
Glucose 5% 99
Unspecified incompatibility Incompatible
injection Amphotericin B
Ringer’s lactate solution 3968
Loss of turbidity Incompatible
injection Amphotericin B 0.6 mg/ml
injection Allopurinol sodium 3 mg/ml
Sodium chloride 0,9% 307
Immediate turbidity Incompatible
injection Amphotericin B 0.6 mg/ml
injection Amifostine 10 mg/ml
Glucose 5% 3
Unspecified incompatibility Incompatible
injection Amphotericin B
injection Amikacin sulfate
3549
Compatible
injection Amphotericin B 0,5 mg/ml
injection Amiodarone hydrochloride 6 mg/ml
Glucose 5% 1611
Immediate turbidity Incompatible
injection Amphotericin B 0,6 mg/ml
injection Anidulafungin 0,5 mg/ml
Glucose 5% 1982
Immediate precipitation Incompatible
injection Amphotericin B
injection Bivalirudin
3539
Immediate precipitation Incompatible
injection Amphotericin B 0.6 mg/ml
injection Bivalirudin 5 mg/ml
Glucose 5% 1713
Compatible
injection Amphotericin B 0.1 mg/ml
injection Caffeine 10 mg/ml
Glucose 5% 4837
Compatible
injection Amphotericin B 0,1 mg/ml
injection Caffeine citrate 20 mg/ml
Glucose 5% 4837
Compatible
injection Amphotericin B
Glucose 5% 3591
Loss of turbidity Incompatible
injection Amphotericin B 0.6 mg/ml
injection Allopurinol sodium 3 mg/ml
Glucose 5% 307
Immediate precipitation Incompatible
injection Amphotericin B 0.6 mg/ml
injection Amsacrine 1 mg/ml
Glucose 5% 253
Incompatible
injection Amphotericin B 0.1 mg/ml
Ringer’s lactate solution 1172
Unspecified incompatibility Incompatible
injection Amphotericin B
injection Calcium gluconate
3644
Precipitation after 1 hour Incompatible
injection Amphotericin B
injection Cefotaxime sodium
Sodium chloride 0,9% 3871
Immediate turbidity Incompatible
injection Amphotericin B 0,6 mg/ml
injection Ceftaroline fosamil 2,22 mg/ml
Ringer’s lactate solution 3249
Immediate precipitation Incompatible
injection Amphotericin B
NaCl 0,9% + antibacterial 3591
Immediate precipitation Incompatible
injection Amphotericin B 0.6 mg/ml
Parenteral nutrition (binary mixture) 301
Immediate precipitation Incompatible
injection Amphotericin B 1 mg/ml
injection Cefiderocol sulfate tosylate 20 mg/mL
Sodium chloride 0,9% 4528
Chemical instability Incompatible
injection Amphotericin B 0.1 mg/ml
injection Cefpirome sulfate 50 mg/ml
Sodium chloride 0,9% 280
Immediate turbidity Incompatible
injection Amphotericin B 0,6 mg/ml
injection Ceftaroline fosamil 2,22 mg/ml
Sodium chloride 0,9% 3249
Immediate precipitation Incompatible
injection Amphotericin B 0.6 mg/ml
injection Ceftobiprole medocaril sodium 2 mg/ml
Sodium chloride 0,9% 2269
Immediate precipitation Incompatible
injection Amphotericin B 0.6 mg/ml
Parenteral nutrition (with lipids) 1415
Immediate turbidity Incompatible
injection Amphotericin B 0.1 mg/ml
injection Cimetidine hydrochloride 0.6 mg/ml
Glucose 5% 1201
Immediate precipitation Incompatible
injection Amphotericin B 0,6 & 1,2 mg/ml
Parenteral nutrition (with lipids) 2043
Immediate instability of the emulsion Incompatible
injection Amphotericin B 0.01 >> 5 mg/ml
Parenteral nutrition (with lipids) 1498
Immediate turbidity Incompatible
injection Amphotericin B 0.1 mg/ml
injection Ceftolozane / tazobactam 10/5 mg/ml
Glucose 5% 3828
Immediate precipitation Incompatible
injection Amphotericin B 1.35 mg/ml
Parenteral nutrition (with lipids) 793
Immediate precipitation Incompatible
injection Amphotericin B 0.6 mg/ml
injection Ceftobiprole medocaril sodium 2 mg/ml
Ringer’s lactate solution 2269
Chemical instability Incompatible
injection Amphotericin B 0.09 mg/ml
Parenteral nutrition (with lipids) 984
Unspecified incompatibility Incompatible
injection Amphotericin B
injection Calcium gluconate
4964
Immediate precipitation Incompatible
injection Amphotericin B 0,6 mg/ml
injection Caspofungin acetate 0,7 mg/ml
Sodium chloride 0,9% 2247
Immediate turbidity Incompatible
injection Amphotericin B 0,6 mg/ml
injection Ceftaroline fosamil 2,22 mg/ml
Glucose 5% 3249
Compatible
injection Amphotericin B
injection Ceftazidime
3883
Unspecified incompatibility Incompatible
injection Amphotericin B
injection Ceftobiprole medocaril sodium
4650
Immediate precipitation Incompatible
injection Amphotericin B
Parenteral nutrition (with lipids) 270
Immediate precipitation Incompatible
injection Amphotericin B 0.6 mg/ml
injection Ceftobiprole medocaril sodium 2 mg/ml
Glucose 5% 2269
Immediate instability of the emulsion Incompatible
injection Amphotericin B 0.6 mg/ml
Parenteral nutrition (with lipids) 265
Immediate precipitation Incompatible
injection Amphotericin B 1 mg/ml
injection Cefiderocol sulfate tosylate 20 mg/mL
Glucose 5% 4528
Chemical instability Incompatible
injection Amphotericin B 0.1 mg/ml
injection Cefpirome sulfate 50 mg/ml
Sodium chloride 0,45% 280
Chemical instability Incompatible
injection Amphotericin B 0.1 mg/ml
injection Cefpirome sulfate 50 mg/ml
Ringer’s lactate solution 280
Chemical instability Incompatible
injection Amphotericin B 0.1 mg/ml
injection Cefpirome sulfate 50 mg/ml
Glucose 5% 280
Immediate precipitation Incompatible
injection Amphotericin B 0.1 mg/ml
injection Ciprofloxacin lactate 2 mg/ml
Glucose 5% 285
Immediate precipitation Incompatible
injection Amphotericin B
Sodium chloride 0,9% 3591
Compatible
injection Amphotericin B 0.6 mg/ml
injection Cisatracurium besylate 0.1 mg/ml
Glucose 5% 299
Immediate precipitation Incompatible
injection Amphotericin B 0.6 mg/ml
injection Cisatracurium besylate 2 & 5 mg/ml
Glucose 5% 299
Immediate precipitation Incompatible
injection Amphotericin B 0.6 mg/ml
injection Dexmedetomidine 4 µg/ml
Glucose 5% 1712
Compatible
injection Amphotericin B 0.1 mg/ml
injection Diltiazem hydrochloride 1 mg/ml
Sodium chloride 0,9% 198
Immediate turbidity Incompatible
injection Amphotericin B 0.6 mg/ml
injection Docetaxel 0.9 mg/ml
Glucose 5% 1754
Immediate precipitation Incompatible
injection Amphotericin B
injection Dopamine hydrochloride
Glucose 5% 3638
Compatible
injection Amphotericin B 0,6 mg/ml
injection Doripenem 5 mg/ml
Glucose 5% 2262
Immediate precipitation Incompatible
injection Amphotericin B 0.6 mg/ml
injection Doxorubicin hydrochloride liposome peg 0.4 mg/ml
Glucose 5% 251
Immediate precipitation Incompatible
injection Amphotericin B 0.6 mg/ml
injection Etoposide phosphate 5 mg/ml
Glucose 5% 1410
Incompatible
injection Amphotericin B 0.1 mg/ml
Sodium chloride 0,9% 1172
Immediate precipitation Incompatible
injection Amphotericin B 0.6 mg/ml
injection Doripenem 5 mg/ml
Sodium chloride 0,9% 2262
Turbidity in 4 hours Incompatible
injection Amphotericin B 0.1 mg/ml
injection Enalaprilate 1.25 mg/ml
Glucose 5% 201
Turbidity in 2 hours Incompatible
injection Amphotericin B 0.1 mg/ml
injection Enalaprilate 0.0125 mg/ml
Glucose 5% 1703
Compatible
injection Amphotericin B 0.6 mg/ml
injection Famotidine 2 mg/ml
Sodium chloride 0,9% 215
Immediate precipitation Incompatible
injection Amphotericin B 0.6 mg/ml
injection Fenoldopam mesylate 80 µg/ml
Sodium chloride 0,9% 1803
Immediate precipitation Incompatible
injection Amphotericin B 0.6 mg/ml
injection Filgrastim 30 µg/ml
Glucose 5% 244
Turbidity in one hour Incompatible
injection Amphotericin B 5 mg/ml
injection Fluconazole 2 mg/ml
Sodium chloride 0,9% 496
Compatible
injection Amphotericin B 0.1 mg/ml
injection Fluconazole 2 mg/ml
None 256
Precipitation after 4 hours Incompatible
injection Amphotericin B 0.6 mg/ml
injection Fludarabine phosphate 1 mg/ml
Glucose 5% 492
Unspecified incompatibility Incompatible
injection Amphotericin B
injection Foscarnet sodium
3662
Immediate turbidity Incompatible
injection Amphotericin B 0.6 mg/ml
injection Foscarnet sodium 24 mg/ml
Glucose 5% 1135
Immediate precipitation Incompatible
injection Amphotericin B 5 mg/ml
injection Foscarnet sodium 24 mg/ml
None 73
Immediate turbidity Incompatible
injection Amphotericin B 0.1 mg/ml
injection Fosfomycin 30 mg/ml
Glucose 5% 4055
Immediate precipitation Incompatible
injection Amphotericin B 0.6 mg/ml
injection Gemcitabine hydrochloride 10 mg/ml
Sodium chloride 0,9% 1423
Immediate turbidity Incompatible
injection Amphotericin B 0.6 mg/ml
injection Granisetron hydrochloride 0.05 mg/ml
Glucose 5% 182
Immediate precipitation Incompatible
injection Amphotericin B 0.6 mg/ml
injection Hetastarch 60 mg/ml
specific solvent 1721
Immediate turbidity Incompatible
injection Amphotericin B 0.1 mg/ml
injection Isavuconazonium sulfate 1.5 mg/ml
Glucose 5% 3829
Immediate precipitation Incompatible
injection Amphotericin B 0.6 mg/ml
injection Lansoprazole 0.55 mg/ml
Sodium chloride 0,9% 1625
Unspecified incompatibility Incompatible
injection Amphotericin B
injection Lidocaine hydrochloride
5060
Immediate precipitation Incompatible
injection Amphotericin B 0.6 mg/ml
injection Linezolid 2 mg/ml
None 1925
Unspecified incompatibility Incompatible
injection Amphotericin B
injection Linezolid
3560
Precipitation after 2 hours Incompatible
injection Amphotericin B 0,04 & 0,08 mg/ml
injection Magnesium sulfate 2 & 4 mg/ml
Glucose 5% 682
Immediate turbidity Incompatible
injection Amphotericin B 0.6 mg/ml
injection Melphalan 0.1 mg/ml
Sodium chloride 0,9% 169
Chemical instability Incompatible
injection Amphotericin B 0.6 mg/ml
injection Melphalan 0.1 mg/ml
Glucose 5% 169
Compatible
injection Amphotericin B 5 mg/ml
injection Meropenem 1 & 50 mg/ml
Sodium chloride 0,9% 266
Compatible
injection Amphotericin B 0.2 mg/ml
injection Meropenem 1 & 20 mg/ml
Sodium chloride 0,9% 266
Unspecified incompatibility Incompatible
injection Amphotericin B
injection Metaraminol
5046
Unspecified incompatibility Incompatible
injection Amphotericin B
injection N-acetylcysteine 200 mg/ml
None 3766
Immediate precipitation Incompatible
injection Amphotericin B 0,5 mg/ml
injection Nalbuphine hydrochloride 0,05 >>0,33 mg/ml
Sodium chloride 0,9% 5097
Immediate precipitation Incompatible
injection Amphotericin B 0,5 mg/ml
injection Nalbuphine hydrochloride 0,05 >> 0,33 mg/ml
Glucose 5% 4867
Unspecified incompatibility Incompatible
injection Amphotericin B 4 mg/ml
injection Naloxone hydrochloride 0.4 mg/ml
None 3408
Immediate turbidity Incompatible
injection Amphotericin B 0.6 mg/ml
injection Ondansetron hydrochloride 1 mg/ml
Glucose 5% 334
Immediate turbidity Incompatible
injection Amphotericin B 0.1 mg/ml
injection Oritavancin 0.8>>2 mg/ml
Glucose 5% 3152
Immediate turbidity Incompatible
injection Amphotericin B 0.6 mg/ml
injection Paclitaxel 1.2 mg/ml
Glucose 5% 248
Turbidity in one hour Incompatible
injection Amphotericin B
injection Pantoprazole sodium
2090
Immediate precipitation Incompatible
injection Amphotericin B 0.6 mg/ml
injection Pemetrexed disodium 20 mg/ml
Sodium chloride 0,9% 1953
Unspecified incompatibility Incompatible
injection Amphotericin B
injection Penicillin G sodium
3585
Compatible
injection Amphotericin B 0,1 mg/ml
injection Pentoxifyllin 5 mg/ml
Glucose 5% 4543
Compatible
injection Amphotericin B 1 mg/ml
injection Phloroglucinol 2,5 mg/ml
3791
Immediate precipitation Incompatible
injection Amphotericin B 0.6 mg/ml
injection Piperacillin sodium / tazobactam 40/5 mg/ml
Glucose 5% 81
Immediate turbidity Incompatible
injection Amphotericin B 0,1 mg/ml
injection Plazomicin sulfate 24 mg/ml
Sodium chloride 0,9% 4145
Immediate precipitation Incompatible
injection Amphotericin B 0.6 mg/ml
injection Propofol 10 mg/ml
None 300
Compatible
injection Amphotericin B 0.6 mg/ml
injection Remifentanil hydrochloride 25 µg/ml
Glucose 5% 59
Immediate precipitation Incompatible
injection Amphotericin B 0.6 mg/ml
injection Remifentanil hydrochloride 250 µg/ml
Glucose 5% 59
Unspecified incompatibility Incompatible
injection Amphotericin B
injection Rocuronium bromide
3564
Immediate turbidity Incompatible
injection Amphotericin B 50 mg/ml
injection Salbutamol sulfate 1 mg/ml
None 3216
Compatible
injection Amphotericin B 0.6 mg/ml
injection Sargramostim 10 µg/ml
Glucose 5% 335
Immediate precipitation Incompatible
injection Amphotericin B 0.6 mg/ml
injection Sargramostim 10 µg/ml
Sodium chloride 0,9% 335
Immediate precipitation Incompatible
injection Amphotericin B 0,1 mg/ml
injection Sildenafil citrate 0,6 mg/ml
Glucose 5% 4845
Chemical instability Incompatible
injection Amphotericin B 0.1 mg/ml
injection Sildenafil citrate 0,6 mg/ml
Glucose 5% 4845
Compatible
injection Amphotericin B 5 mg/ml
injection Tacrolimus 1000 µg/ml
Water for Injection 479
Immediate turbidity Incompatible
injection Amphotericin B 0,1 mg/ml
injection Telavancin hydrochloride 7,5 mg/ml
Glucose 5% 3254
Compatible
injection Amphotericin B 0.6 mg/ml
injection Teniposide 0.1 mg/ml
Glucose 5% 905
Immediate precipitation Incompatible
injection Amphotericin B
injection Thiopental sodium 25 mg/ml
Sodium chloride 0,9% 3767
Compatible
injection Amphotericin B 0.6 mg/ml
injection Thiotepa 1 mg/ml
Glucose 5% 249
Unspecified incompatibility Incompatible
injection Amphotericin B
injection Tigecycline
3332
Precipitation after 8 hours Incompatible
injection Amphotericin B 0.1 mg/ml
injection Verapamil hydrochloride 0.08 mg/ml
Glucose 5% 1057
Immediate precipitation Incompatible
injection Amphotericin B 0.1 mg/ml
injection Verapamil hydrochloride 0.08 mg/ml
Sodium chloride 0,9% 1057
Immediate precipitation Incompatible
injection Amphotericin B 0.6 mg/ml
injection Vinorelbine tartrate 1 mg/ml
Glucose 5% 84
Compatible
injection Amphotericin B 0.6 mg/ml
injection Zidovudine 4 mg/ml
Glucose 5% 337
Immediate precipitation Incompatible
injection Amphotericin B ? mg/ml
Sodium chloride 0,9% 892
Immediate precipitation Incompatible
injection Amphotericin B 0.6 mg/ml
injection Vinorelbine tartrate 1 mg/ml
Sodium chloride 0,9% 84

  Mentions Légales