Последно актуализиране :
27/04/2026
Противогъбично средство   Amphotericin B  
Инжекция/Инжекционен
Аерозол Капки за очи Орален разтвор Разтвор за уста
Стабилност на разтвори Стабилност на смеси Фактори, повлияващи стабилността Съвместимост Път на въвеждане Библиография Pdf
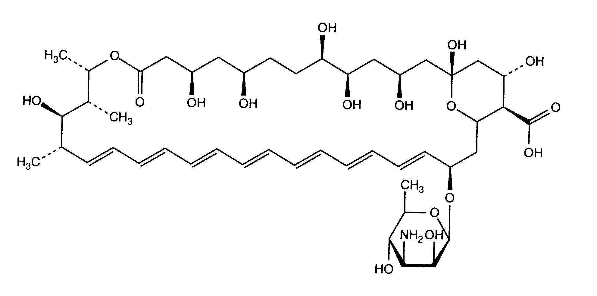
   Химична структура  

Търговско наименование   Търговско наименование     

Търговските имена са примерни и съставът на помощните вещества може да бъде различен в зависимост от държавата и лабораториите

Fungizone Великобритания, Венецуела, Германия, Гърция, Дания, Индия, Иран, Ирландия, Италия, Канада, Колумбия, Малайзия, Мароко, нова Зеландия, Португалия, Съединени Американски щати / САЩ, Тунис, Турция, Унгария, Финландия, Франция, Холандия, Швейцария, Швеция
Съвместимост   Инжекция/Инжекционен   Съвместимост : Amphotericin B              
Този екран показва съвместимостта или несъвместимостта с, в този случай, вида на несъвместимостта (утаяване, промяна на цвета, модификация на емулсия и др.). Показаните тук съвместимости са предимно физически, като рядко се оценява химическата стабилност на всяка молекула. Оценката на тези смеси беше проучена, за да се разгледа възможността за приложение на Y-място на пациента. Тези данни не могат да се използват за предварително приготвяне на смеси в торбички или спринцовки. Този тип информация е достъпна на екрана "Стабилност в сместа".
Състав / молекула Разтворител Библиография
съвместим
Инжекция/Инжекционен Amphotericin B 1.6 mg/ml
Инжекция/Инжекционен Aldesleukin 0.0338 MUI/ml
Glucose 5% 36
Незабавни валежи Несъвместим
Инжекция/Инжекционен Amphotericin B 0.6 mg/ml
Инжекция/Инжекционен Aztreonam 40 mg/ml
Glucose 5% 99
Неопределена несъвместимост Несъвместим
Инжекция/Инжекционен Amphotericin B
Ринтер лактат 3968
Загуба на мътност Несъвместим
Инжекция/Инжекционен Amphotericin B 0.6 mg/ml
Инжекция/Инжекционен Allopurinol sodium 3 mg/ml
Sodium chloride 0,9% 307
Незабавна мътност Несъвместим
Инжекция/Инжекционен Amphotericin B 0.6 mg/ml
Инжекция/Инжекционен Amifostine 10 mg/ml
Glucose 5% 3
Неопределена несъвместимост Несъвместим
Инжекция/Инжекционен Amphotericin B
Инжекция/Инжекционен Amikacin sulfate
3549
съвместим
Инжекция/Инжекционен Amphotericin B 0,5 mg/ml
Инжекция/Инжекционен Amiodarone hydrochloride 6 mg/ml
Glucose 5% 1611
Незабавна мътност Несъвместим
Инжекция/Инжекционен Amphotericin B 0,6 mg/ml
Инжекция/Инжекционен Anidulafungin 0,5 mg/ml
Glucose 5% 1982
Незабавни валежи Несъвместим
Инжекция/Инжекционен Amphotericin B
Инжекция/Инжекционен Bivalirudin
3539
Незабавни валежи Несъвместим
Инжекция/Инжекционен Amphotericin B 0.6 mg/ml
Инжекция/Инжекционен Bivalirudin 5 mg/ml
Glucose 5% 1713
съвместим
Инжекция/Инжекционен Amphotericin B 0.1 mg/ml
Инжекция/Инжекционен Caffeine 10 mg/ml
Glucose 5% 4837
съвместим
Инжекция/Инжекционен Amphotericin B 0,1 mg/ml
Инжекция/Инжекционен Caffeine citrate 20 mg/ml
Glucose 5% 4837
съвместим
Инжекция/Инжекционен Amphotericin B
Glucose 5% 3591
Загуба на мътност Несъвместим
Инжекция/Инжекционен Amphotericin B 0.6 mg/ml
Инжекция/Инжекционен Allopurinol sodium 3 mg/ml
Glucose 5% 307
Незабавни валежи Несъвместим
Инжекция/Инжекционен Amphotericin B 0.6 mg/ml
Инжекция/Инжекционен Amsacrine 1 mg/ml
Glucose 5% 253
Несъвместим
Инжекция/Инжекционен Amphotericin B 0.1 mg/ml
Ринтер лактат 1172
Неопределена несъвместимост Несъвместим
Инжекция/Инжекционен Amphotericin B
Инжекция/Инжекционен Calcium gluconate
3644
Валежи след 1 час Несъвместим
Инжекция/Инжекционен Amphotericin B
Инжекция/Инжекционен Cefotaxime sodium
Sodium chloride 0,9% 3871
Незабавна мътност Несъвместим
Инжекция/Инжекционен Amphotericin B 0,6 mg/ml
Инжекция/Инжекционен Ceftaroline fosamil 2,22 mg/ml
Ринтер лактат 3249
Незабавни валежи Несъвместим
Инжекция/Инжекционен Amphotericin B
NaCl 0,9% + антибактериално 3591
Незабавни валежи Несъвместим
Инжекция/Инжекционен Amphotericin B 0.6 mg/ml
Парентерално хранене (липидите безплатно) 301
Незабавни валежи Несъвместим
Инжекция/Инжекционен Amphotericin B 1 mg/ml
Инжекция/Инжекционен Cefiderocol sulfate tosylate 20 mg/mL
Sodium chloride 0,9% 4528
Химическа нестабилност Несъвместим
Инжекция/Инжекционен Amphotericin B 0.1 mg/ml
Инжекция/Инжекционен Cefpirome sulfate 50 mg/ml
Sodium chloride 0,9% 280
Незабавна мътност Несъвместим
Инжекция/Инжекционен Amphotericin B 0,6 mg/ml
Инжекция/Инжекционен Ceftaroline fosamil 2,22 mg/ml
Sodium chloride 0,9% 3249
Незабавни валежи Несъвместим
Инжекция/Инжекционен Amphotericin B 0.6 mg/ml
Инжекция/Инжекционен Ceftobiprole medocaril sodium 2 mg/ml
Sodium chloride 0,9% 2269
Незабавни валежи Несъвместим
Инжекция/Инжекционен Amphotericin B 0.6 mg/ml
Парентерално хранене (с липиди) 1415
Незабавна мътност Несъвместим
Инжекция/Инжекционен Amphotericin B 0.1 mg/ml
Инжекция/Инжекционен Cimetidine hydrochloride 0.6 mg/ml
Glucose 5% 1201
Незабавни валежи Несъвместим
Инжекция/Инжекционен Amphotericin B 0,6 & 1,2 mg/ml
Парентерално хранене (с липиди) 2043
Непосредствена нестабилност на емулсията Несъвместим
Инжекция/Инжекционен Amphotericin B 0.01 >> 5 mg/ml
Парентерално хранене (с липиди) 1498
Незабавна мътност Несъвместим
Инжекция/Инжекционен Amphotericin B 0.1 mg/ml
Инжекция/Инжекционен Ceftolozane / tazobactam 10/5 mg/ml
Glucose 5% 3828
Незабавни валежи Несъвместим
Инжекция/Инжекционен Amphotericin B 1.35 mg/ml
Парентерално хранене (с липиди) 793
Незабавни валежи Несъвместим
Инжекция/Инжекционен Amphotericin B 0.6 mg/ml
Инжекция/Инжекционен Ceftobiprole medocaril sodium 2 mg/ml
Ринтер лактат 2269
Химическа нестабилност Несъвместим
Инжекция/Инжекционен Amphotericin B 0.09 mg/ml
Парентерално хранене (с липиди) 984
Неопределена несъвместимост Несъвместим
Инжекция/Инжекционен Amphotericin B
Инжекция/Инжекционен Calcium gluconate
4964
Незабавни валежи Несъвместим
Инжекция/Инжекционен Amphotericin B 0,6 mg/ml
Инжекция/Инжекционен Caspofungin acetate 0,7 mg/ml
Sodium chloride 0,9% 2247
Незабавна мътност Несъвместим
Инжекция/Инжекционен Amphotericin B 0,6 mg/ml
Инжекция/Инжекционен Ceftaroline fosamil 2,22 mg/ml
Glucose 5% 3249
съвместим
Инжекция/Инжекционен Amphotericin B
Инжекция/Инжекционен Ceftazidime
3883
Неопределена несъвместимост Несъвместим
Инжекция/Инжекционен Amphotericin B
Инжекция/Инжекционен Ceftobiprole medocaril sodium
4650
Незабавни валежи Несъвместим
Инжекция/Инжекционен Amphotericin B
Парентерално хранене (с липиди) 270
Незабавни валежи Несъвместим
Инжекция/Инжекционен Amphotericin B 0.6 mg/ml
Инжекция/Инжекционен Ceftobiprole medocaril sodium 2 mg/ml
Glucose 5% 2269
Непосредствена нестабилност на емулсията Несъвместим
Инжекция/Инжекционен Amphotericin B 0.6 mg/ml
Парентерално хранене (с липиди) 265
Незабавни валежи Несъвместим
Инжекция/Инжекционен Amphotericin B 1 mg/ml
Инжекция/Инжекционен Cefiderocol sulfate tosylate 20 mg/mL
Glucose 5% 4528
Химическа нестабилност Несъвместим
Инжекция/Инжекционен Amphotericin B 0.1 mg/ml
Инжекция/Инжекционен Cefpirome sulfate 50 mg/ml
Sodium chloride 0,45% 280
Химическа нестабилност Несъвместим
Инжекция/Инжекционен Amphotericin B 0.1 mg/ml
Инжекция/Инжекционен Cefpirome sulfate 50 mg/ml
Ринтер лактат 280
Химическа нестабилност Несъвместим
Инжекция/Инжекционен Amphotericin B 0.1 mg/ml
Инжекция/Инжекционен Cefpirome sulfate 50 mg/ml
Glucose 5% 280
Незабавни валежи Несъвместим
Инжекция/Инжекционен Amphotericin B 0.1 mg/ml
Инжекция/Инжекционен Ciprofloxacin lactate 2 mg/ml
Glucose 5% 285
Незабавни валежи Несъвместим
Инжекция/Инжекционен Amphotericin B
Sodium chloride 0,9% 3591
съвместим
Инжекция/Инжекционен Amphotericin B 0.6 mg/ml
Инжекция/Инжекционен Cisatracurium besylate 0.1 mg/ml
Glucose 5% 299
Незабавни валежи Несъвместим
Инжекция/Инжекционен Amphotericin B 0.6 mg/ml
Инжекция/Инжекционен Cisatracurium besylate 2 & 5 mg/ml
Glucose 5% 299
Незабавни валежи Несъвместим
Инжекция/Инжекционен Amphotericin B 0.6 mg/ml
Инжекция/Инжекционен Dexmedetomidine 4 µg/ml
Glucose 5% 1712
съвместим
Инжекция/Инжекционен Amphotericin B 0.1 mg/ml
Инжекция/Инжекционен Diltiazem hydrochloride 1 mg/ml
Sodium chloride 0,9% 198
Незабавна мътност Несъвместим
Инжекция/Инжекционен Amphotericin B 0.6 mg/ml
Инжекция/Инжекционен Docetaxel 0.9 mg/ml
Glucose 5% 1754
Незабавни валежи Несъвместим
Инжекция/Инжекционен Amphotericin B
Инжекция/Инжекционен Dopamine hydrochloride
Glucose 5% 3638
съвместим
Инжекция/Инжекционен Amphotericin B 0,6 mg/ml
Инжекция/Инжекционен Doripenem 5 mg/ml
Glucose 5% 2262
Незабавни валежи Несъвместим
Инжекция/Инжекционен Amphotericin B 0.6 mg/ml
Инжекция/Инжекционен Doxorubicin hydrochloride liposome peg 0.4 mg/ml
Glucose 5% 251
Незабавни валежи Несъвместим
Инжекция/Инжекционен Amphotericin B 0.6 mg/ml
Инжекция/Инжекционен Etoposide phosphate 5 mg/ml
Glucose 5% 1410
Несъвместим
Инжекция/Инжекционен Amphotericin B 0.1 mg/ml
Sodium chloride 0,9% 1172
Незабавни валежи Несъвместим
Инжекция/Инжекционен Amphotericin B 0.6 mg/ml
Инжекция/Инжекционен Doripenem 5 mg/ml
Sodium chloride 0,9% 2262
Мътност за 4 часа Несъвместим
Инжекция/Инжекционен Amphotericin B 0.1 mg/ml
Инжекция/Инжекционен Enalaprilate 1.25 mg/ml
Glucose 5% 201
Мътност за 2 часа Несъвместим
Инжекция/Инжекционен Amphotericin B 0.1 mg/ml
Инжекция/Инжекционен Enalaprilate 0.0125 mg/ml
Glucose 5% 1703
съвместим
Инжекция/Инжекционен Amphotericin B 0.6 mg/ml
Инжекция/Инжекционен Famotidine 2 mg/ml
Sodium chloride 0,9% 215
Незабавни валежи Несъвместим
Инжекция/Инжекционен Amphotericin B 0.6 mg/ml
Инжекция/Инжекционен Fenoldopam mesylate 80 µg/ml
Sodium chloride 0,9% 1803
Незабавни валежи Несъвместим
Инжекция/Инжекционен Amphotericin B 0.6 mg/ml
Инжекция/Инжекционен Filgrastim 30 µg/ml
Glucose 5% 244
Мътност за един час Несъвместим
Инжекция/Инжекционен Amphotericin B 5 mg/ml
Инжекция/Инжекционен Fluconazole 2 mg/ml
Sodium chloride 0,9% 496
съвместим
Инжекция/Инжекционен Amphotericin B 0.1 mg/ml
Инжекция/Инжекционен Fluconazole 2 mg/ml
Няма 256
Валежи след 4 часа Несъвместим
Инжекция/Инжекционен Amphotericin B 0.6 mg/ml
Инжекция/Инжекционен Fludarabine phosphate 1 mg/ml
Glucose 5% 492
Неопределена несъвместимост Несъвместим
Инжекция/Инжекционен Amphotericin B
Инжекция/Инжекционен Foscarnet sodium
3662
Незабавна мътност Несъвместим
Инжекция/Инжекционен Amphotericin B 0.6 mg/ml
Инжекция/Инжекционен Foscarnet sodium 24 mg/ml
Glucose 5% 1135
Незабавни валежи Несъвместим
Инжекция/Инжекционен Amphotericin B 5 mg/ml
Инжекция/Инжекционен Foscarnet sodium 24 mg/ml
Няма 73
Незабавна мътност Несъвместим
Инжекция/Инжекционен Amphotericin B 0.1 mg/ml
Инжекция/Инжекционен Fosfomycin 30 mg/ml
Glucose 5% 4055
Незабавни валежи Несъвместим
Инжекция/Инжекционен Amphotericin B 0.6 mg/ml
Инжекция/Инжекционен Gemcitabine hydrochloride 10 mg/ml
Sodium chloride 0,9% 1423
Незабавна мътност Несъвместим
Инжекция/Инжекционен Amphotericin B 0.6 mg/ml
Инжекция/Инжекционен Granisetron hydrochloride 0.05 mg/ml
Glucose 5% 182
Незабавни валежи Несъвместим
Инжекция/Инжекционен Amphotericin B 0.6 mg/ml
Инжекция/Инжекционен Hetastarch 60 mg/ml
Специфична разтворител 1721
Незабавна мътност Несъвместим
Инжекция/Инжекционен Amphotericin B 0.1 mg/ml
Инжекция/Инжекционен Isavuconazonium sulfate 1.5 mg/ml
Glucose 5% 3829
Незабавни валежи Несъвместим
Инжекция/Инжекционен Amphotericin B 0.6 mg/ml
Инжекция/Инжекционен Lansoprazole 0.55 mg/ml
Sodium chloride 0,9% 1625
Неопределена несъвместимост Несъвместим
Инжекция/Инжекционен Amphotericin B
Инжекция/Инжекционен Lidocaine hydrochloride
5060
Незабавни валежи Несъвместим
Инжекция/Инжекционен Amphotericin B 0.6 mg/ml
Инжекция/Инжекционен Linezolid 2 mg/ml
Няма 1925
Неопределена несъвместимост Несъвместим
Инжекция/Инжекционен Amphotericin B
Инжекция/Инжекционен Linezolid
3560
Валежи след 2 часа Несъвместим
Инжекция/Инжекционен Amphotericin B 0,04 & 0,08 mg/ml
Инжекция/Инжекционен Magnesium sulfate 2 & 4 mg/ml
Glucose 5% 682
Незабавна мътност Несъвместим
Инжекция/Инжекционен Amphotericin B 0.6 mg/ml
Инжекция/Инжекционен Melphalan 0.1 mg/ml
Sodium chloride 0,9% 169
Химическа нестабилност Несъвместим
Инжекция/Инжекционен Amphotericin B 0.6 mg/ml
Инжекция/Инжекционен Melphalan 0.1 mg/ml
Glucose 5% 169
съвместим
Инжекция/Инжекционен Amphotericin B 5 mg/ml
Инжекция/Инжекционен Meropenem 1 & 50 mg/ml
Sodium chloride 0,9% 266
съвместим
Инжекция/Инжекционен Amphotericin B 0.2 mg/ml
Инжекция/Инжекционен Meropenem 1 & 20 mg/ml
Sodium chloride 0,9% 266
Неопределена несъвместимост Несъвместим
Инжекция/Инжекционен Amphotericin B
Инжекция/Инжекционен Metaraminol
5046
Неопределена несъвместимост Несъвместим
Инжекция/Инжекционен Amphotericin B
Инжекция/Инжекционен N-acetylcysteine 200 mg/ml
Няма 3766
Незабавни валежи Несъвместим
Инжекция/Инжекционен Amphotericin B 0,5 mg/ml
Инжекция/Инжекционен Nalbuphine hydrochloride 0,05 >>0,33 mg/ml
Sodium chloride 0,9% 5097
Незабавни валежи Несъвместим
Инжекция/Инжекционен Amphotericin B 0,5 mg/ml
Инжекция/Инжекционен Nalbuphine hydrochloride 0,05 >> 0,33 mg/ml
Glucose 5% 4867
Неопределена несъвместимост Несъвместим
Инжекция/Инжекционен Amphotericin B 4 mg/ml
Инжекция/Инжекционен Naloxone hydrochloride 0.4 mg/ml
Няма 3408
Незабавна мътност Несъвместим
Инжекция/Инжекционен Amphotericin B 0.6 mg/ml
Инжекция/Инжекционен Ondansetron hydrochloride 1 mg/ml
Glucose 5% 334
Незабавна мътност Несъвместим
Инжекция/Инжекционен Amphotericin B 0.1 mg/ml
Инжекция/Инжекционен Oritavancin 0.8>>2 mg/ml
Glucose 5% 3152
Незабавна мътност Несъвместим
Инжекция/Инжекционен Amphotericin B 0.6 mg/ml
Инжекция/Инжекционен Paclitaxel 1.2 mg/ml
Glucose 5% 248
Мътност за един час Несъвместим
Инжекция/Инжекционен Amphotericin B
Инжекция/Инжекционен Pantoprazole sodium
2090
Незабавни валежи Несъвместим
Инжекция/Инжекционен Amphotericin B 0.6 mg/ml
Инжекция/Инжекционен Pemetrexed disodium 20 mg/ml
Sodium chloride 0,9% 1953
Неопределена несъвместимост Несъвместим
Инжекция/Инжекционен Amphotericin B
Инжекция/Инжекционен Penicillin G sodium
3585
съвместим
Инжекция/Инжекционен Amphotericin B 0,1 mg/ml
Инжекция/Инжекционен Pentoxifyllin 5 mg/ml
Glucose 5% 4543
съвместим
Инжекция/Инжекционен Amphotericin B 1 mg/ml
Инжекция/Инжекционен Phloroglucinol 2,5 mg/ml
3791
Незабавни валежи Несъвместим
Инжекция/Инжекционен Amphotericin B 0.6 mg/ml
Инжекция/Инжекционен Piperacillin sodium / tazobactam 40/5 mg/ml
Glucose 5% 81
Незабавна мътност Несъвместим
Инжекция/Инжекционен Amphotericin B 0,1 mg/ml
Инжекция/Инжекционен Plazomicin sulfate 24 mg/ml
Sodium chloride 0,9% 4145
Незабавни валежи Несъвместим
Инжекция/Инжекционен Amphotericin B 0.6 mg/ml
Инжекция/Инжекционен Propofol 10 mg/ml
Няма 300
съвместим
Инжекция/Инжекционен Amphotericin B 0.6 mg/ml
Инжекция/Инжекционен Remifentanil hydrochloride 25 µg/ml
Glucose 5% 59
Незабавни валежи Несъвместим
Инжекция/Инжекционен Amphotericin B 0.6 mg/ml
Инжекция/Инжекционен Remifentanil hydrochloride 250 µg/ml
Glucose 5% 59
Неопределена несъвместимост Несъвместим
Инжекция/Инжекционен Amphotericin B
Инжекция/Инжекционен Rocuronium bromide
3564
Незабавна мътност Несъвместим
Инжекция/Инжекционен Amphotericin B 50 mg/ml
Инжекция/Инжекционен Salbutamol sulfate 1 mg/ml
Няма 3216
съвместим
Инжекция/Инжекционен Amphotericin B 0.6 mg/ml
Инжекция/Инжекционен Sargramostim 10 µg/ml
Glucose 5% 335
Незабавни валежи Несъвместим
Инжекция/Инжекционен Amphotericin B 0.6 mg/ml
Инжекция/Инжекционен Sargramostim 10 µg/ml
Sodium chloride 0,9% 335
Незабавни валежи Несъвместим
Инжекция/Инжекционен Amphotericin B 0,1 mg/ml
Инжекция/Инжекционен Sildenafil citrate 0,6 mg/ml
Glucose 5% 4845
Химическа нестабилност Несъвместим
Инжекция/Инжекционен Amphotericin B 0.1 mg/ml
Инжекция/Инжекционен Sildenafil citrate 0,6 mg/ml
Glucose 5% 4845
съвместим
Инжекция/Инжекционен Amphotericin B 5 mg/ml
Инжекция/Инжекционен Tacrolimus 1000 µg/ml
Вода за инжекции 479
Незабавна мътност Несъвместим
Инжекция/Инжекционен Amphotericin B 0,1 mg/ml
Инжекция/Инжекционен Telavancin hydrochloride 7,5 mg/ml
Glucose 5% 3254
съвместим
Инжекция/Инжекционен Amphotericin B 0.6 mg/ml
Инжекция/Инжекционен Teniposide 0.1 mg/ml
Glucose 5% 905
Незабавни валежи Несъвместим
Инжекция/Инжекционен Amphotericin B
Инжекция/Инжекционен Thiopental sodium 25 mg/ml
Sodium chloride 0,9% 3767
съвместим
Инжекция/Инжекционен Amphotericin B 0.6 mg/ml
Инжекция/Инжекционен Thiotepa 1 mg/ml
Glucose 5% 249
Неопределена несъвместимост Несъвместим
Инжекция/Инжекционен Amphotericin B
Инжекция/Инжекционен Tigecycline
3332
Валежи след 8 часа Несъвместим
Инжекция/Инжекционен Amphotericin B 0.1 mg/ml
Инжекция/Инжекционен Verapamil hydrochloride 0.08 mg/ml
Glucose 5% 1057
Незабавни валежи Несъвместим
Инжекция/Инжекционен Amphotericin B 0.1 mg/ml
Инжекция/Инжекционен Verapamil hydrochloride 0.08 mg/ml
Sodium chloride 0,9% 1057
Незабавни валежи Несъвместим
Инжекция/Инжекционен Amphotericin B 0.6 mg/ml
Инжекция/Инжекционен Vinorelbine tartrate 1 mg/ml
Glucose 5% 84
съвместим
Инжекция/Инжекционен Amphotericin B 0.6 mg/ml
Инжекция/Инжекционен Zidovudine 4 mg/ml
Glucose 5% 337
Незабавни валежи Несъвместим
Инжекция/Инжекционен Amphotericin B ? mg/ml
Sodium chloride 0,9% 892
Незабавни валежи Несъвместим
Инжекция/Инжекционен Amphotericin B 0.6 mg/ml
Инжекция/Инжекционен Vinorelbine tartrate 1 mg/ml
Sodium chloride 0,9% 84

  Mentions Légales