Laatste update :
27/04/2026
Antimycoticum   Amphotericin B  
injecteerbaar geneesmiddel
Aerosol gorgelen Oogwater Orale Oplossing
Stabiliteit in oplossing Stabiliteit in mengsels Factoren die de stabiliteit beïnvloeden Verenigbaarheden Toedieningswijze Literatuur pdf
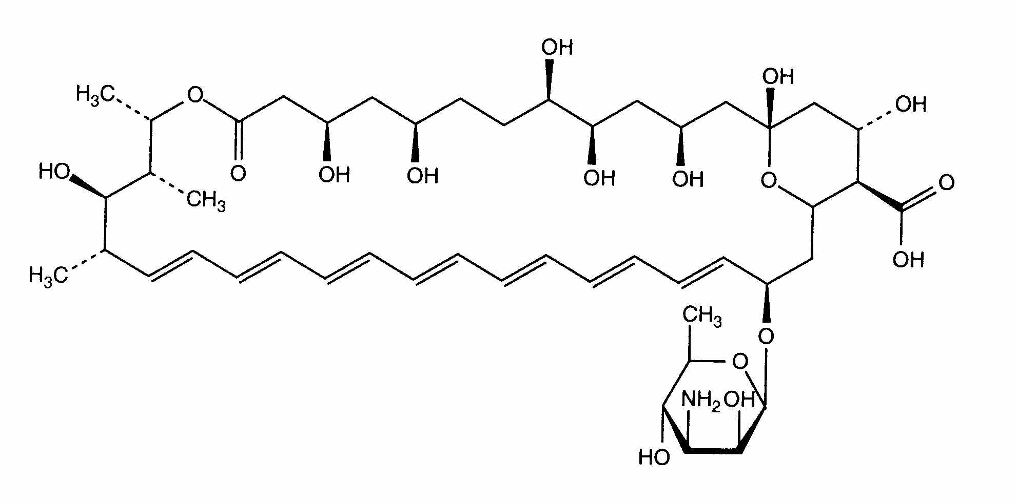
   Molecuulstructuur  

Merknamen in verschillende landen   Merknamen in verschillende landen     

Handelsnamen zijn slechts een indicatie; de samenstelling van hulpstoffen kan per land variëren afhankelijk van de fabrikant

Fungizone Canada, Colombia, Denemarken, Duitsland, Finland, Frankrijk, Griekenland, Groot Britannië, Hongarije, Ierland, Indië, Iran, Italië, Maleisië, Marokko, Nederland, nieuw Zeeland, Portugal, Tunisie, Turkije, USA, Venezuela, Zweden, Zwitserland
Verenigbaarheden   injecteerbaar geneesmiddel   Verenigbaarheden : Amphotericin B              
In dit scherm worden de verenigbaarheden en onverenigbaarheden weergegeven. In het geval van een onverenigbaarheid wordt ook het type (neerslag, kleurverandering, modificatie van een emulsie, etc) weergegeven. De weergegeven verenigbaarheden zijn meestal alleen op uiterlijk beoordeeld, er heeft zelden een chemische beoordeling van iedere component plaatsgevonden. De verenigbaarheden betreffen gelijktijdige toediening aan de patient middels de Y-site. De data kan niet gebruikt worden in de beoordeling van verenigbaarheden van componenten in infuuszakken of spuiten. Die informatie is te vinden onder ‘stabiliteit in mengsels’.
Stof Oplosmiddel Literatuur
Verenigbaar
injecteerbaar geneesmiddel Amphotericin B 1.6 mg/ml
injecteerbaar geneesmiddel Aldesleukin 0.0338 MUI/ml
Glucose 5% 36
Onmiddellijke neerslag Onverenigbaar
injecteerbaar geneesmiddel Amphotericin B 0.6 mg/ml
injecteerbaar geneesmiddel Aztreonam 40 mg/ml
Glucose 5% 99
Niet-gespecificeerde incompatibiliteit Onverenigbaar
injecteerbaar geneesmiddel Amphotericin B
Ringer-lactaat 3968
Verlies van troebelheid Onverenigbaar
injecteerbaar geneesmiddel Amphotericin B 0.6 mg/ml
injecteerbaar geneesmiddel Allopurinol sodium 3 mg/ml
Natriumchloride 0,9% 307
Onmiddellijke troebelheid Onverenigbaar
injecteerbaar geneesmiddel Amphotericin B 0.6 mg/ml
injecteerbaar geneesmiddel Amifostine 10 mg/ml
Glucose 5% 3
Niet-gespecificeerde incompatibiliteit Onverenigbaar
injecteerbaar geneesmiddel Amphotericin B
injecteerbaar geneesmiddel Amikacin sulfate
3549
Verenigbaar
injecteerbaar geneesmiddel Amphotericin B 0,5 mg/ml
injecteerbaar geneesmiddel Amiodarone hydrochloride 6 mg/ml
Glucose 5% 1611
Onmiddellijke troebelheid Onverenigbaar
injecteerbaar geneesmiddel Amphotericin B 0,6 mg/ml
injecteerbaar geneesmiddel Anidulafungin 0,5 mg/ml
Glucose 5% 1982
Onmiddellijke neerslag Onverenigbaar
injecteerbaar geneesmiddel Amphotericin B
injecteerbaar geneesmiddel Bivalirudin
3539
Onmiddellijke neerslag Onverenigbaar
injecteerbaar geneesmiddel Amphotericin B 0.6 mg/ml
injecteerbaar geneesmiddel Bivalirudin 5 mg/ml
Glucose 5% 1713
Verenigbaar
injecteerbaar geneesmiddel Amphotericin B 0.1 mg/ml
injecteerbaar geneesmiddel Caffeine 10 mg/ml
Glucose 5% 4837
Verenigbaar
injecteerbaar geneesmiddel Amphotericin B 0,1 mg/ml
injecteerbaar geneesmiddel Caffeine citrate 20 mg/ml
Glucose 5% 4837
Verenigbaar
injecteerbaar geneesmiddel Amphotericin B
Glucose 5% 3591
Verlies van troebelheid Onverenigbaar
injecteerbaar geneesmiddel Amphotericin B 0.6 mg/ml
injecteerbaar geneesmiddel Allopurinol sodium 3 mg/ml
Glucose 5% 307
Onmiddellijke neerslag Onverenigbaar
injecteerbaar geneesmiddel Amphotericin B 0.6 mg/ml
injecteerbaar geneesmiddel Amsacrine 1 mg/ml
Glucose 5% 253
Onverenigbaar
injecteerbaar geneesmiddel Amphotericin B 0.1 mg/ml
Ringer-lactaat 1172
Niet-gespecificeerde incompatibiliteit Onverenigbaar
injecteerbaar geneesmiddel Amphotericin B
injecteerbaar geneesmiddel Calcium gluconate
3644
Neerslag na 1 uur Onverenigbaar
injecteerbaar geneesmiddel Amphotericin B
injecteerbaar geneesmiddel Cefotaxime sodium
Natriumchloride 0,9% 3871
Onmiddellijke troebelheid Onverenigbaar
injecteerbaar geneesmiddel Amphotericin B 0,6 mg/ml
injecteerbaar geneesmiddel Ceftaroline fosamil 2,22 mg/ml
Ringer-lactaat 3249
Onmiddellijke neerslag Onverenigbaar
injecteerbaar geneesmiddel Amphotericin B
NaCl 0,9% (geconserveerd) 3591
Onmiddellijke neerslag Onverenigbaar
injecteerbaar geneesmiddel Amphotericin B 0.6 mg/ml
Parenterale voeding (zonder vet) 301
Onmiddellijke neerslag Onverenigbaar
injecteerbaar geneesmiddel Amphotericin B 1 mg/ml
injecteerbaar geneesmiddel Cefiderocol sulfate tosylate 20 mg/mL
Natriumchloride 0,9% 4528
Chemische instabiliteit Onverenigbaar
injecteerbaar geneesmiddel Amphotericin B 0.1 mg/ml
injecteerbaar geneesmiddel Cefpirome sulfate 50 mg/ml
Natriumchloride 0,9% 280
Onmiddellijke troebelheid Onverenigbaar
injecteerbaar geneesmiddel Amphotericin B 0,6 mg/ml
injecteerbaar geneesmiddel Ceftaroline fosamil 2,22 mg/ml
Natriumchloride 0,9% 3249
Onmiddellijke neerslag Onverenigbaar
injecteerbaar geneesmiddel Amphotericin B 0.6 mg/ml
injecteerbaar geneesmiddel Ceftobiprole medocaril sodium 2 mg/ml
Natriumchloride 0,9% 2269
Onmiddellijke neerslag Onverenigbaar
injecteerbaar geneesmiddel Amphotericin B 0.6 mg/ml
Parenterale voeding (met lipiden) 1415
Onmiddellijke troebelheid Onverenigbaar
injecteerbaar geneesmiddel Amphotericin B 0.1 mg/ml
injecteerbaar geneesmiddel Cimetidine hydrochloride 0.6 mg/ml
Glucose 5% 1201
Onmiddellijke neerslag Onverenigbaar
injecteerbaar geneesmiddel Amphotericin B 0,6 & 1,2 mg/ml
Parenterale voeding (met lipiden) 2043
Onmiddellijke instabiliteit van de emulsie Onverenigbaar
injecteerbaar geneesmiddel Amphotericin B 0.01 >> 5 mg/ml
Parenterale voeding (met lipiden) 1498
Onmiddellijke troebelheid Onverenigbaar
injecteerbaar geneesmiddel Amphotericin B 0.1 mg/ml
injecteerbaar geneesmiddel Ceftolozane / tazobactam 10/5 mg/ml
Glucose 5% 3828
Onmiddellijke neerslag Onverenigbaar
injecteerbaar geneesmiddel Amphotericin B 1.35 mg/ml
Parenterale voeding (met lipiden) 793
Onmiddellijke neerslag Onverenigbaar
injecteerbaar geneesmiddel Amphotericin B 0.6 mg/ml
injecteerbaar geneesmiddel Ceftobiprole medocaril sodium 2 mg/ml
Ringer-lactaat 2269
Chemische instabiliteit Onverenigbaar
injecteerbaar geneesmiddel Amphotericin B 0.09 mg/ml
Parenterale voeding (met lipiden) 984
Niet-gespecificeerde incompatibiliteit Onverenigbaar
injecteerbaar geneesmiddel Amphotericin B
injecteerbaar geneesmiddel Calcium gluconate
4964
Onmiddellijke neerslag Onverenigbaar
injecteerbaar geneesmiddel Amphotericin B 0,6 mg/ml
injecteerbaar geneesmiddel Caspofungin acetate 0,7 mg/ml
Natriumchloride 0,9% 2247
Onmiddellijke troebelheid Onverenigbaar
injecteerbaar geneesmiddel Amphotericin B 0,6 mg/ml
injecteerbaar geneesmiddel Ceftaroline fosamil 2,22 mg/ml
Glucose 5% 3249
Verenigbaar
injecteerbaar geneesmiddel Amphotericin B
injecteerbaar geneesmiddel Ceftazidime
3883
Niet-gespecificeerde incompatibiliteit Onverenigbaar
injecteerbaar geneesmiddel Amphotericin B
injecteerbaar geneesmiddel Ceftobiprole medocaril sodium
4650
Onmiddellijke neerslag Onverenigbaar
injecteerbaar geneesmiddel Amphotericin B
Parenterale voeding (met lipiden) 270
Onmiddellijke neerslag Onverenigbaar
injecteerbaar geneesmiddel Amphotericin B 0.6 mg/ml
injecteerbaar geneesmiddel Ceftobiprole medocaril sodium 2 mg/ml
Glucose 5% 2269
Onmiddellijke instabiliteit van de emulsie Onverenigbaar
injecteerbaar geneesmiddel Amphotericin B 0.6 mg/ml
Parenterale voeding (met lipiden) 265
Onmiddellijke neerslag Onverenigbaar
injecteerbaar geneesmiddel Amphotericin B 1 mg/ml
injecteerbaar geneesmiddel Cefiderocol sulfate tosylate 20 mg/mL
Glucose 5% 4528
Chemische instabiliteit Onverenigbaar
injecteerbaar geneesmiddel Amphotericin B 0.1 mg/ml
injecteerbaar geneesmiddel Cefpirome sulfate 50 mg/ml
Natriumchloride 0,45 % 280
Chemische instabiliteit Onverenigbaar
injecteerbaar geneesmiddel Amphotericin B 0.1 mg/ml
injecteerbaar geneesmiddel Cefpirome sulfate 50 mg/ml
Ringer-lactaat 280
Chemische instabiliteit Onverenigbaar
injecteerbaar geneesmiddel Amphotericin B 0.1 mg/ml
injecteerbaar geneesmiddel Cefpirome sulfate 50 mg/ml
Glucose 5% 280
Onmiddellijke neerslag Onverenigbaar
injecteerbaar geneesmiddel Amphotericin B 0.1 mg/ml
injecteerbaar geneesmiddel Ciprofloxacin lactate 2 mg/ml
Glucose 5% 285
Onmiddellijke neerslag Onverenigbaar
injecteerbaar geneesmiddel Amphotericin B
Natriumchloride 0,9% 3591
Verenigbaar
injecteerbaar geneesmiddel Amphotericin B 0.6 mg/ml
injecteerbaar geneesmiddel Cisatracurium besylate 0.1 mg/ml
Glucose 5% 299
Onmiddellijke neerslag Onverenigbaar
injecteerbaar geneesmiddel Amphotericin B 0.6 mg/ml
injecteerbaar geneesmiddel Cisatracurium besylate 2 & 5 mg/ml
Glucose 5% 299
Onmiddellijke neerslag Onverenigbaar
injecteerbaar geneesmiddel Amphotericin B 0.6 mg/ml
injecteerbaar geneesmiddel Dexmedetomidine 4 µg/ml
Glucose 5% 1712
Verenigbaar
injecteerbaar geneesmiddel Amphotericin B 0.1 mg/ml
injecteerbaar geneesmiddel Diltiazem hydrochloride 1 mg/ml
Natriumchloride 0,9% 198
Onmiddellijke troebelheid Onverenigbaar
injecteerbaar geneesmiddel Amphotericin B 0.6 mg/ml
injecteerbaar geneesmiddel Docetaxel 0.9 mg/ml
Glucose 5% 1754
Onmiddellijke neerslag Onverenigbaar
injecteerbaar geneesmiddel Amphotericin B
injecteerbaar geneesmiddel Dopamine hydrochloride
Glucose 5% 3638
Verenigbaar
injecteerbaar geneesmiddel Amphotericin B 0,6 mg/ml
injecteerbaar geneesmiddel Doripenem 5 mg/ml
Glucose 5% 2262
Onmiddellijke neerslag Onverenigbaar
injecteerbaar geneesmiddel Amphotericin B 0.6 mg/ml
injecteerbaar geneesmiddel Doxorubicin hydrochloride liposome peg 0.4 mg/ml
Glucose 5% 251
Onmiddellijke neerslag Onverenigbaar
injecteerbaar geneesmiddel Amphotericin B 0.6 mg/ml
injecteerbaar geneesmiddel Etoposide phosphate 5 mg/ml
Glucose 5% 1410
Onverenigbaar
injecteerbaar geneesmiddel Amphotericin B 0.1 mg/ml
Natriumchloride 0,9% 1172
Onmiddellijke neerslag Onverenigbaar
injecteerbaar geneesmiddel Amphotericin B 0.6 mg/ml
injecteerbaar geneesmiddel Doripenem 5 mg/ml
Natriumchloride 0,9% 2262
Troebelheid in 4 uur Onverenigbaar
injecteerbaar geneesmiddel Amphotericin B 0.1 mg/ml
injecteerbaar geneesmiddel Enalaprilate 1.25 mg/ml
Glucose 5% 201
Troebelheid in 2 uur Onverenigbaar
injecteerbaar geneesmiddel Amphotericin B 0.1 mg/ml
injecteerbaar geneesmiddel Enalaprilate 0.0125 mg/ml
Glucose 5% 1703
Verenigbaar
injecteerbaar geneesmiddel Amphotericin B 0.6 mg/ml
injecteerbaar geneesmiddel Famotidine 2 mg/ml
Natriumchloride 0,9% 215
Onmiddellijke neerslag Onverenigbaar
injecteerbaar geneesmiddel Amphotericin B 0.6 mg/ml
injecteerbaar geneesmiddel Fenoldopam mesylate 80 µg/ml
Natriumchloride 0,9% 1803
Onmiddellijke neerslag Onverenigbaar
injecteerbaar geneesmiddel Amphotericin B 0.6 mg/ml
injecteerbaar geneesmiddel Filgrastim 30 µg/ml
Glucose 5% 244
Troebelheid in een uur Onverenigbaar
injecteerbaar geneesmiddel Amphotericin B 5 mg/ml
injecteerbaar geneesmiddel Fluconazole 2 mg/ml
Natriumchloride 0,9% 496
Verenigbaar
injecteerbaar geneesmiddel Amphotericin B 0.1 mg/ml
injecteerbaar geneesmiddel Fluconazole 2 mg/ml
Geen 256
Neerslag na 4 uur Onverenigbaar
injecteerbaar geneesmiddel Amphotericin B 0.6 mg/ml
injecteerbaar geneesmiddel Fludarabine phosphate 1 mg/ml
Glucose 5% 492
Niet-gespecificeerde incompatibiliteit Onverenigbaar
injecteerbaar geneesmiddel Amphotericin B
injecteerbaar geneesmiddel Foscarnet sodium
3662
Onmiddellijke troebelheid Onverenigbaar
injecteerbaar geneesmiddel Amphotericin B 0.6 mg/ml
injecteerbaar geneesmiddel Foscarnet sodium 24 mg/ml
Glucose 5% 1135
Onmiddellijke neerslag Onverenigbaar
injecteerbaar geneesmiddel Amphotericin B 5 mg/ml
injecteerbaar geneesmiddel Foscarnet sodium 24 mg/ml
Geen 73
Onmiddellijke troebelheid Onverenigbaar
injecteerbaar geneesmiddel Amphotericin B 0.1 mg/ml
injecteerbaar geneesmiddel Fosfomycin 30 mg/ml
Glucose 5% 4055
Onmiddellijke neerslag Onverenigbaar
injecteerbaar geneesmiddel Amphotericin B 0.6 mg/ml
injecteerbaar geneesmiddel Gemcitabine hydrochloride 10 mg/ml
Natriumchloride 0,9% 1423
Onmiddellijke troebelheid Onverenigbaar
injecteerbaar geneesmiddel Amphotericin B 0.6 mg/ml
injecteerbaar geneesmiddel Granisetron hydrochloride 0.05 mg/ml
Glucose 5% 182
Onmiddellijke neerslag Onverenigbaar
injecteerbaar geneesmiddel Amphotericin B 0.6 mg/ml
injecteerbaar geneesmiddel Hetastarch 60 mg/ml
specifieke solvent 1721
Onmiddellijke troebelheid Onverenigbaar
injecteerbaar geneesmiddel Amphotericin B 0.1 mg/ml
injecteerbaar geneesmiddel Isavuconazonium sulfate 1.5 mg/ml
Glucose 5% 3829
Onmiddellijke neerslag Onverenigbaar
injecteerbaar geneesmiddel Amphotericin B 0.6 mg/ml
injecteerbaar geneesmiddel Lansoprazole 0.55 mg/ml
Natriumchloride 0,9% 1625
Niet-gespecificeerde incompatibiliteit Onverenigbaar
injecteerbaar geneesmiddel Amphotericin B
injecteerbaar geneesmiddel Lidocaine hydrochloride
5060
Onmiddellijke neerslag Onverenigbaar
injecteerbaar geneesmiddel Amphotericin B 0.6 mg/ml
injecteerbaar geneesmiddel Linezolid 2 mg/ml
Geen 1925
Niet-gespecificeerde incompatibiliteit Onverenigbaar
injecteerbaar geneesmiddel Amphotericin B
injecteerbaar geneesmiddel Linezolid
3560
Neerslag na 2 uur Onverenigbaar
injecteerbaar geneesmiddel Amphotericin B 0,04 & 0,08 mg/ml
injecteerbaar geneesmiddel Magnesium sulfate 2 & 4 mg/ml
Glucose 5% 682
Onmiddellijke troebelheid Onverenigbaar
injecteerbaar geneesmiddel Amphotericin B 0.6 mg/ml
injecteerbaar geneesmiddel Melphalan 0.1 mg/ml
Natriumchloride 0,9% 169
Chemische instabiliteit Onverenigbaar
injecteerbaar geneesmiddel Amphotericin B 0.6 mg/ml
injecteerbaar geneesmiddel Melphalan 0.1 mg/ml
Glucose 5% 169
Verenigbaar
injecteerbaar geneesmiddel Amphotericin B 5 mg/ml
injecteerbaar geneesmiddel Meropenem 1 & 50 mg/ml
Natriumchloride 0,9% 266
Verenigbaar
injecteerbaar geneesmiddel Amphotericin B 0.2 mg/ml
injecteerbaar geneesmiddel Meropenem 1 & 20 mg/ml
Natriumchloride 0,9% 266
Niet-gespecificeerde incompatibiliteit Onverenigbaar
injecteerbaar geneesmiddel Amphotericin B
injecteerbaar geneesmiddel Metaraminol
5046
Niet-gespecificeerde incompatibiliteit Onverenigbaar
injecteerbaar geneesmiddel Amphotericin B
injecteerbaar geneesmiddel N-acetylcysteine 200 mg/ml
Geen 3766
Onmiddellijke neerslag Onverenigbaar
injecteerbaar geneesmiddel Amphotericin B 0,5 mg/ml
injecteerbaar geneesmiddel Nalbuphine hydrochloride 0,05 >>0,33 mg/ml
Natriumchloride 0,9% 5097
Onmiddellijke neerslag Onverenigbaar
injecteerbaar geneesmiddel Amphotericin B 0,5 mg/ml
injecteerbaar geneesmiddel Nalbuphine hydrochloride 0,05 >> 0,33 mg/ml
Glucose 5% 4867
Niet-gespecificeerde incompatibiliteit Onverenigbaar
injecteerbaar geneesmiddel Amphotericin B 4 mg/ml
injecteerbaar geneesmiddel Naloxone hydrochloride 0.4 mg/ml
Geen 3408
Onmiddellijke troebelheid Onverenigbaar
injecteerbaar geneesmiddel Amphotericin B 0.6 mg/ml
injecteerbaar geneesmiddel Ondansetron hydrochloride 1 mg/ml
Glucose 5% 334
Onmiddellijke troebelheid Onverenigbaar
injecteerbaar geneesmiddel Amphotericin B 0.1 mg/ml
injecteerbaar geneesmiddel Oritavancin 0.8>>2 mg/ml
Glucose 5% 3152
Onmiddellijke troebelheid Onverenigbaar
injecteerbaar geneesmiddel Amphotericin B 0.6 mg/ml
injecteerbaar geneesmiddel Paclitaxel 1.2 mg/ml
Glucose 5% 248
Troebelheid in een uur Onverenigbaar
injecteerbaar geneesmiddel Amphotericin B
injecteerbaar geneesmiddel Pantoprazole sodium
2090
Onmiddellijke neerslag Onverenigbaar
injecteerbaar geneesmiddel Amphotericin B 0.6 mg/ml
injecteerbaar geneesmiddel Pemetrexed disodium 20 mg/ml
Natriumchloride 0,9% 1953
Niet-gespecificeerde incompatibiliteit Onverenigbaar
injecteerbaar geneesmiddel Amphotericin B
injecteerbaar geneesmiddel Penicillin G sodium
3585
Verenigbaar
injecteerbaar geneesmiddel Amphotericin B 0,1 mg/ml
injecteerbaar geneesmiddel Pentoxifyllin 5 mg/ml
Glucose 5% 4543
Verenigbaar
injecteerbaar geneesmiddel Amphotericin B 1 mg/ml
injecteerbaar geneesmiddel Phloroglucinol 2,5 mg/ml
3791
Onmiddellijke neerslag Onverenigbaar
injecteerbaar geneesmiddel Amphotericin B 0.6 mg/ml
injecteerbaar geneesmiddel Piperacillin sodium / tazobactam 40/5 mg/ml
Glucose 5% 81
Onmiddellijke troebelheid Onverenigbaar
injecteerbaar geneesmiddel Amphotericin B 0,1 mg/ml
injecteerbaar geneesmiddel Plazomicin sulfate 24 mg/ml
Natriumchloride 0,9% 4145
Onmiddellijke neerslag Onverenigbaar
injecteerbaar geneesmiddel Amphotericin B 0.6 mg/ml
injecteerbaar geneesmiddel Propofol 10 mg/ml
Geen 300
Verenigbaar
injecteerbaar geneesmiddel Amphotericin B 0.6 mg/ml
injecteerbaar geneesmiddel Remifentanil hydrochloride 25 µg/ml
Glucose 5% 59
Onmiddellijke neerslag Onverenigbaar
injecteerbaar geneesmiddel Amphotericin B 0.6 mg/ml
injecteerbaar geneesmiddel Remifentanil hydrochloride 250 µg/ml
Glucose 5% 59
Niet-gespecificeerde incompatibiliteit Onverenigbaar
injecteerbaar geneesmiddel Amphotericin B
injecteerbaar geneesmiddel Rocuronium bromide
3564
Onmiddellijke troebelheid Onverenigbaar
injecteerbaar geneesmiddel Amphotericin B 50 mg/ml
injecteerbaar geneesmiddel Salbutamol sulfate 1 mg/ml
Geen 3216
Verenigbaar
injecteerbaar geneesmiddel Amphotericin B 0.6 mg/ml
injecteerbaar geneesmiddel Sargramostim 10 µg/ml
Glucose 5% 335
Onmiddellijke neerslag Onverenigbaar
injecteerbaar geneesmiddel Amphotericin B 0.6 mg/ml
injecteerbaar geneesmiddel Sargramostim 10 µg/ml
Natriumchloride 0,9% 335
Onmiddellijke neerslag Onverenigbaar
injecteerbaar geneesmiddel Amphotericin B 0,1 mg/ml
injecteerbaar geneesmiddel Sildenafil citrate 0,6 mg/ml
Glucose 5% 4845
Chemische instabiliteit Onverenigbaar
injecteerbaar geneesmiddel Amphotericin B 0.1 mg/ml
injecteerbaar geneesmiddel Sildenafil citrate 0,6 mg/ml
Glucose 5% 4845
Verenigbaar
injecteerbaar geneesmiddel Amphotericin B 5 mg/ml
injecteerbaar geneesmiddel Tacrolimus 1000 µg/ml
Water voor injectie 479
Onmiddellijke troebelheid Onverenigbaar
injecteerbaar geneesmiddel Amphotericin B 0,1 mg/ml
injecteerbaar geneesmiddel Telavancin hydrochloride 7,5 mg/ml
Glucose 5% 3254
Verenigbaar
injecteerbaar geneesmiddel Amphotericin B 0.6 mg/ml
injecteerbaar geneesmiddel Teniposide 0.1 mg/ml
Glucose 5% 905
Onmiddellijke neerslag Onverenigbaar
injecteerbaar geneesmiddel Amphotericin B
injecteerbaar geneesmiddel Thiopental sodium 25 mg/ml
Natriumchloride 0,9% 3767
Verenigbaar
injecteerbaar geneesmiddel Amphotericin B 0.6 mg/ml
injecteerbaar geneesmiddel Thiotepa 1 mg/ml
Glucose 5% 249
Niet-gespecificeerde incompatibiliteit Onverenigbaar
injecteerbaar geneesmiddel Amphotericin B
injecteerbaar geneesmiddel Tigecycline
3332
Neerslag na 8 uur Onverenigbaar
injecteerbaar geneesmiddel Amphotericin B 0.1 mg/ml
injecteerbaar geneesmiddel Verapamil hydrochloride 0.08 mg/ml
Glucose 5% 1057
Onmiddellijke neerslag Onverenigbaar
injecteerbaar geneesmiddel Amphotericin B 0.1 mg/ml
injecteerbaar geneesmiddel Verapamil hydrochloride 0.08 mg/ml
Natriumchloride 0,9% 1057
Onmiddellijke neerslag Onverenigbaar
injecteerbaar geneesmiddel Amphotericin B 0.6 mg/ml
injecteerbaar geneesmiddel Vinorelbine tartrate 1 mg/ml
Glucose 5% 84
Verenigbaar
injecteerbaar geneesmiddel Amphotericin B 0.6 mg/ml
injecteerbaar geneesmiddel Zidovudine 4 mg/ml
Glucose 5% 337
Onmiddellijke neerslag Onverenigbaar
injecteerbaar geneesmiddel Amphotericin B ? mg/ml
Natriumchloride 0,9% 892
Onmiddellijke neerslag Onverenigbaar
injecteerbaar geneesmiddel Amphotericin B 0.6 mg/ml
injecteerbaar geneesmiddel Vinorelbine tartrate 1 mg/ml
Natriumchloride 0,9% 84

  Mentions Légales