Ostatnia aktualizacja :
27/01/2026
Lek przeciwgrzybiczny   Amphotericin B  
Krople oczne
Aerozol Injekcje Roztwór do płukania gardła Roztwór doustny
Stabilność preparatów farmaceutycznych Trwałość w mieszaninie Czynnik wpływający na trwałość Zgodność Bibliografia pdf
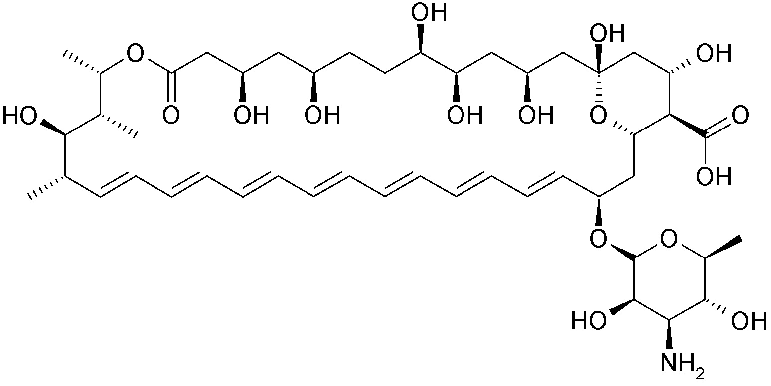
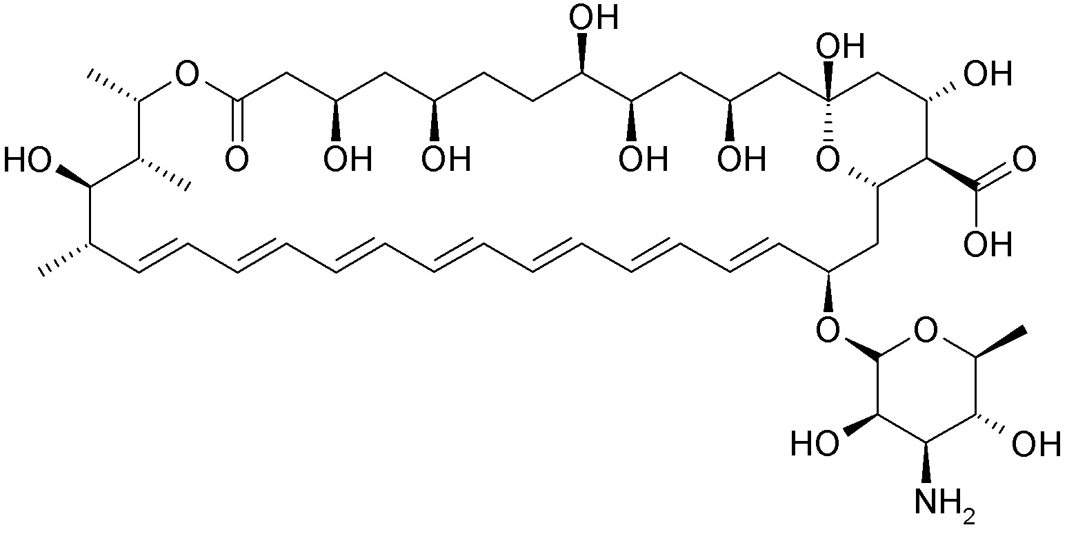
   Struktura chemiczna  

Krople oczne
Stabilność preparatów farmaceutycznych   Krople oczne   Stabilność preparatów farmaceutycznych : Amphotericin B     
Pojemnik Origine Substancja pomocniczna Temperatura Przechowywanie Czas trwania stabilności Bibliografia
Szkło Fiolka 50 mg
Fungizone®
wodorowęglan sodu 4,2% 0,1 mL
Glukoza 5% >> 10 mL
-20°C Chronić od światła
60 Dzień
3848
Butelka plastikowa Fiolka 15 mg
Fungizone®
Glukoza 5% >> 3 ml
2-6°C Chronić od światła
120 Dzień
2867

Butelka plastikowa Fiolka 15 mg
Fungizone®
Glukoza 5% >> 3 ml
20-25°C Chronić od światła
16 Dzień
2867

Butelka plastikowa Fiolka 15 mg
Fungizone®
Glukoza 5% >> 3 ml
20-25°C światło
13 Dzień
2867

Butelka plastikowa Fiolka 10 mg
Fungizone®
Glukoza 5% 4 mL
23-27°C Nie wyszczególniony
28 Dzień
4487

Butelka plastikowa Fiolka 10 mg
Fungizone®
Glukoza 5% 4 mL
3-7°C Nie wyszczególniony
168 Dzień
4487


  Mentions Légales