Senaste uppdateringen :
27/04/2026
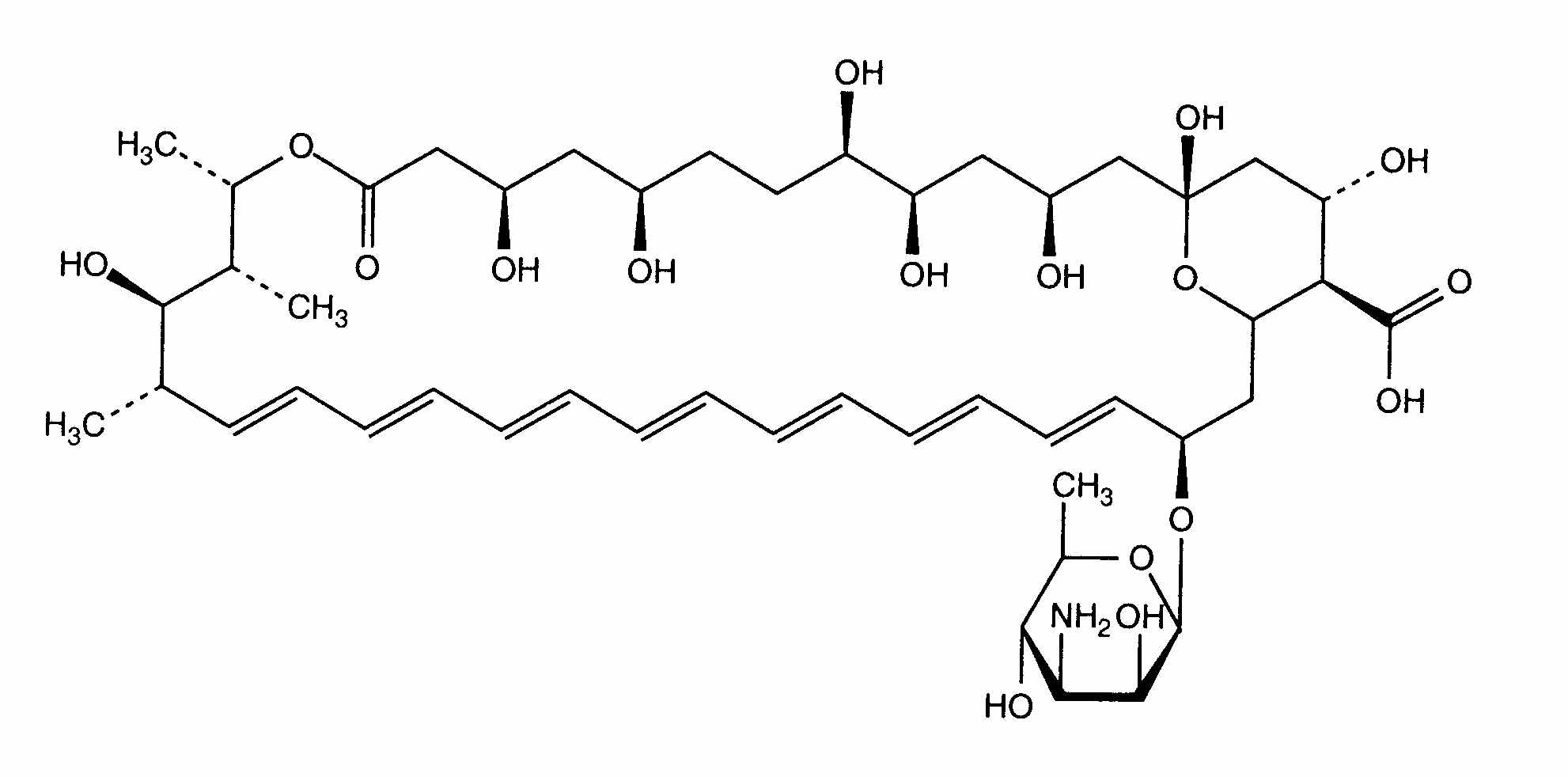
Antimykotikum   Amphotericin B  
injektion
Aerosol Munvatten ögondroppar Oral lösning
Lösningars stabilitet Stabilitet i blandningar Faktorer som påverkar stabiliteten Kompatibilitet Administreringssätt Hänvisningar pdf
   Molekylstruktur  

Varunamn   Varunamn     

Angivna handelsnamn på läkemedel är enbart vägledande då formulering inklusive hjälpämnen kan variera mellan länder och tillverkare

Fungizone Colombia, Danmark, Finland, Förenta Staterna, Frankrike, Grekland, Indien, Iran, Irland, Italien, Kanada, Malaysia, Marocko, Nederländerna, nya Zeeland, Portugal, Schweiz, Storbritannien, Sverige, Tunisien, Turkiet, Tyskland, Ungern, Venezuela
Kompatibilitet   injektion   Kompatibilitet : Amphotericin B              
Den här skärmen visar kompatibiliteten eller inkompatibiliteten med, i detta fall, typen av inkompatibilitet (utfällning, färgförändring, modifiering av en emulsion, etc.). De kompatibiliteter som visas här är oftast endast fysiska, varvid den kemiska stabiliteten för varje molekyl sällan utvärderas. Utvärderingen av dessa blandningar studerades för att överväga möjligheten för Y-platsadministrering till patienten. Dessa data kan inte användas för att göra blandningar i förväg i påsar eller sprutor. Denna typ av information finns på skärmen "Stabilitet i blandning".
Substans Lösningsmedel Hänvisningar
Kompatibel
injektion Amphotericin B 1.6 mg/ml
injektion Aldesleukin 0.0338 MUI/ml
Glukos 5 % 36
Omedelbar nederbörd Oförenlig
injektion Amphotericin B 0.6 mg/ml
injektion Aztreonam 40 mg/ml
Glukos 5 % 99
Ospecificerad inkompatibilitet Oförenlig
injektion Amphotericin B
Ringer-laktatlösning 3968
Förlust av grumlighet Oförenlig
injektion Amphotericin B 0.6 mg/ml
injektion Allopurinol sodium 3 mg/ml
Natriumklorid 0,9 % 307
Omedelbar grumlighet Oförenlig
injektion Amphotericin B 0.6 mg/ml
injektion Amifostine 10 mg/ml
Glukos 5 % 3
Ospecificerad inkompatibilitet Oförenlig
injektion Amphotericin B
injektion Amikacin sulfate
3549
Kompatibel
injektion Amphotericin B 0,5 mg/ml
injektion Amiodarone hydrochloride 6 mg/ml
Glukos 5 % 1611
Omedelbar grumlighet Oförenlig
injektion Amphotericin B 0,6 mg/ml
injektion Anidulafungin 0,5 mg/ml
Glukos 5 % 1982
Omedelbar nederbörd Oförenlig
injektion Amphotericin B
injektion Bivalirudin
3539
Omedelbar nederbörd Oförenlig
injektion Amphotericin B 0.6 mg/ml
injektion Bivalirudin 5 mg/ml
Glukos 5 % 1713
Kompatibel
injektion Amphotericin B 0.1 mg/ml
injektion Caffeine 10 mg/ml
Glukos 5 % 4837
Kompatibel
injektion Amphotericin B 0,1 mg/ml
injektion Caffeine citrate 20 mg/ml
Glukos 5 % 4837
Kompatibel
injektion Amphotericin B
Glukos 5 % 3591
Förlust av grumlighet Oförenlig
injektion Amphotericin B 0.6 mg/ml
injektion Allopurinol sodium 3 mg/ml
Glukos 5 % 307
Omedelbar nederbörd Oförenlig
injektion Amphotericin B 0.6 mg/ml
injektion Amsacrine 1 mg/ml
Glukos 5 % 253
Oförenlig
injektion Amphotericin B 0.1 mg/ml
Ringer-laktatlösning 1172
Ospecificerad inkompatibilitet Oförenlig
injektion Amphotericin B
injektion Calcium gluconate
3644
Utfällning efter 1 timme Oförenlig
injektion Amphotericin B
injektion Cefotaxime sodium
Natriumklorid 0,9 % 3871
Omedelbar grumlighet Oförenlig
injektion Amphotericin B 0,6 mg/ml
injektion Ceftaroline fosamil 2,22 mg/ml
Ringer-laktatlösning 3249
Omedelbar nederbörd Oförenlig
injektion Amphotericin B
NaCl 0,9 % + bakteriostatisk substans 3591
Omedelbar nederbörd Oförenlig
injektion Amphotericin B 0.6 mg/ml
Parenteral nutrition (binär blandning) 301
Omedelbar nederbörd Oförenlig
injektion Amphotericin B 1 mg/ml
injektion Cefiderocol sulfate tosylate 20 mg/mL
Natriumklorid 0,9 % 4528
Kemisk instabilitet Oförenlig
injektion Amphotericin B 0.1 mg/ml
injektion Cefpirome sulfate 50 mg/ml
Natriumklorid 0,9 % 280
Omedelbar grumlighet Oförenlig
injektion Amphotericin B 0,6 mg/ml
injektion Ceftaroline fosamil 2,22 mg/ml
Natriumklorid 0,9 % 3249
Omedelbar nederbörd Oförenlig
injektion Amphotericin B 0.6 mg/ml
injektion Ceftobiprole medocaril sodium 2 mg/ml
Natriumklorid 0,9 % 2269
Omedelbar nederbörd Oförenlig
injektion Amphotericin B 0.6 mg/ml
Parenteral nutrition (med lipider) 1415
Omedelbar grumlighet Oförenlig
injektion Amphotericin B 0.1 mg/ml
injektion Cimetidine hydrochloride 0.6 mg/ml
Glukos 5 % 1201
Omedelbar nederbörd Oförenlig
injektion Amphotericin B 0,6 & 1,2 mg/ml
Parenteral nutrition (med lipider) 2043
Omedelbar instabilitet hos emulsionen Oförenlig
injektion Amphotericin B 0.01 >> 5 mg/ml
Parenteral nutrition (med lipider) 1498
Omedelbar grumlighet Oförenlig
injektion Amphotericin B 0.1 mg/ml
injektion Ceftolozane / tazobactam 10/5 mg/ml
Glukos 5 % 3828
Omedelbar nederbörd Oförenlig
injektion Amphotericin B 1.35 mg/ml
Parenteral nutrition (med lipider) 793
Omedelbar nederbörd Oförenlig
injektion Amphotericin B 0.6 mg/ml
injektion Ceftobiprole medocaril sodium 2 mg/ml
Ringer-laktatlösning 2269
Kemisk instabilitet Oförenlig
injektion Amphotericin B 0.09 mg/ml
Parenteral nutrition (med lipider) 984
Ospecificerad inkompatibilitet Oförenlig
injektion Amphotericin B
injektion Calcium gluconate
4964
Omedelbar nederbörd Oförenlig
injektion Amphotericin B 0,6 mg/ml
injektion Caspofungin acetate 0,7 mg/ml
Natriumklorid 0,9 % 2247
Omedelbar grumlighet Oförenlig
injektion Amphotericin B 0,6 mg/ml
injektion Ceftaroline fosamil 2,22 mg/ml
Glukos 5 % 3249
Kompatibel
injektion Amphotericin B
injektion Ceftazidime
3883
Ospecificerad inkompatibilitet Oförenlig
injektion Amphotericin B
injektion Ceftobiprole medocaril sodium
4650
Omedelbar nederbörd Oförenlig
injektion Amphotericin B
Parenteral nutrition (med lipider) 270
Omedelbar nederbörd Oförenlig
injektion Amphotericin B 0.6 mg/ml
injektion Ceftobiprole medocaril sodium 2 mg/ml
Glukos 5 % 2269
Omedelbar instabilitet hos emulsionen Oförenlig
injektion Amphotericin B 0.6 mg/ml
Parenteral nutrition (med lipider) 265
Omedelbar nederbörd Oförenlig
injektion Amphotericin B 1 mg/ml
injektion Cefiderocol sulfate tosylate 20 mg/mL
Glukos 5 % 4528
Kemisk instabilitet Oförenlig
injektion Amphotericin B 0.1 mg/ml
injektion Cefpirome sulfate 50 mg/ml
Natriumklorid 0,45 % 280
Kemisk instabilitet Oförenlig
injektion Amphotericin B 0.1 mg/ml
injektion Cefpirome sulfate 50 mg/ml
Ringer-laktatlösning 280
Kemisk instabilitet Oförenlig
injektion Amphotericin B 0.1 mg/ml
injektion Cefpirome sulfate 50 mg/ml
Glukos 5 % 280
Omedelbar nederbörd Oförenlig
injektion Amphotericin B 0.1 mg/ml
injektion Ciprofloxacin lactate 2 mg/ml
Glukos 5 % 285
Omedelbar nederbörd Oförenlig
injektion Amphotericin B
Natriumklorid 0,9 % 3591
Kompatibel
injektion Amphotericin B 0.6 mg/ml
injektion Cisatracurium besylate 0.1 mg/ml
Glukos 5 % 299
Omedelbar nederbörd Oförenlig
injektion Amphotericin B 0.6 mg/ml
injektion Cisatracurium besylate 2 & 5 mg/ml
Glukos 5 % 299
Omedelbar nederbörd Oförenlig
injektion Amphotericin B 0.6 mg/ml
injektion Dexmedetomidine 4 µg/ml
Glukos 5 % 1712
Kompatibel
injektion Amphotericin B 0.1 mg/ml
injektion Diltiazem hydrochloride 1 mg/ml
Natriumklorid 0,9 % 198
Omedelbar grumlighet Oförenlig
injektion Amphotericin B 0.6 mg/ml
injektion Docetaxel 0.9 mg/ml
Glukos 5 % 1754
Omedelbar nederbörd Oförenlig
injektion Amphotericin B
injektion Dopamine hydrochloride
Glukos 5 % 3638
Kompatibel
injektion Amphotericin B 0,6 mg/ml
injektion Doripenem 5 mg/ml
Glukos 5 % 2262
Omedelbar nederbörd Oförenlig
injektion Amphotericin B 0.6 mg/ml
injektion Doxorubicin hydrochloride liposome peg 0.4 mg/ml
Glukos 5 % 251
Omedelbar nederbörd Oförenlig
injektion Amphotericin B 0.6 mg/ml
injektion Etoposide phosphate 5 mg/ml
Glukos 5 % 1410
Oförenlig
injektion Amphotericin B 0.1 mg/ml
Natriumklorid 0,9 % 1172
Omedelbar nederbörd Oförenlig
injektion Amphotericin B 0.6 mg/ml
injektion Doripenem 5 mg/ml
Natriumklorid 0,9 % 2262
Grumlighet på 4 timmar Oförenlig
injektion Amphotericin B 0.1 mg/ml
injektion Enalaprilate 1.25 mg/ml
Glukos 5 % 201
Grumlighet på 2 timmar Oförenlig
injektion Amphotericin B 0.1 mg/ml
injektion Enalaprilate 0.0125 mg/ml
Glukos 5 % 1703
Kompatibel
injektion Amphotericin B 0.6 mg/ml
injektion Famotidine 2 mg/ml
Natriumklorid 0,9 % 215
Omedelbar nederbörd Oförenlig
injektion Amphotericin B 0.6 mg/ml
injektion Fenoldopam mesylate 80 µg/ml
Natriumklorid 0,9 % 1803
Omedelbar nederbörd Oförenlig
injektion Amphotericin B 0.6 mg/ml
injektion Filgrastim 30 µg/ml
Glukos 5 % 244
Grumlighet på en timme Oförenlig
injektion Amphotericin B 5 mg/ml
injektion Fluconazole 2 mg/ml
Natriumklorid 0,9 % 496
Kompatibel
injektion Amphotericin B 0.1 mg/ml
injektion Fluconazole 2 mg/ml
Ingen 256
Utfällning efter 4 timmar Oförenlig
injektion Amphotericin B 0.6 mg/ml
injektion Fludarabine phosphate 1 mg/ml
Glukos 5 % 492
Ospecificerad inkompatibilitet Oförenlig
injektion Amphotericin B
injektion Foscarnet sodium
3662
Omedelbar grumlighet Oförenlig
injektion Amphotericin B 0.6 mg/ml
injektion Foscarnet sodium 24 mg/ml
Glukos 5 % 1135
Omedelbar nederbörd Oförenlig
injektion Amphotericin B 5 mg/ml
injektion Foscarnet sodium 24 mg/ml
Ingen 73
Omedelbar grumlighet Oförenlig
injektion Amphotericin B 0.1 mg/ml
injektion Fosfomycin 30 mg/ml
Glukos 5 % 4055
Omedelbar nederbörd Oförenlig
injektion Amphotericin B 0.6 mg/ml
injektion Gemcitabine hydrochloride 10 mg/ml
Natriumklorid 0,9 % 1423
Omedelbar grumlighet Oförenlig
injektion Amphotericin B 0.6 mg/ml
injektion Granisetron hydrochloride 0.05 mg/ml
Glukos 5 % 182
Omedelbar nederbörd Oförenlig
injektion Amphotericin B 0.6 mg/ml
injektion Hetastarch 60 mg/ml
specifikt lösningsmedel 1721
Omedelbar grumlighet Oförenlig
injektion Amphotericin B 0.1 mg/ml
injektion Isavuconazonium sulfate 1.5 mg/ml
Glukos 5 % 3829
Omedelbar nederbörd Oförenlig
injektion Amphotericin B 0.6 mg/ml
injektion Lansoprazole 0.55 mg/ml
Natriumklorid 0,9 % 1625
Ospecificerad inkompatibilitet Oförenlig
injektion Amphotericin B
injektion Lidocaine hydrochloride
5060
Omedelbar nederbörd Oförenlig
injektion Amphotericin B 0.6 mg/ml
injektion Linezolid 2 mg/ml
Ingen 1925
Ospecificerad inkompatibilitet Oförenlig
injektion Amphotericin B
injektion Linezolid
3560
Utfällning efter 2 timmar Oförenlig
injektion Amphotericin B 0,04 & 0,08 mg/ml
injektion Magnesium sulfate 2 & 4 mg/ml
Glukos 5 % 682
Omedelbar grumlighet Oförenlig
injektion Amphotericin B 0.6 mg/ml
injektion Melphalan 0.1 mg/ml
Natriumklorid 0,9 % 169
Kemisk instabilitet Oförenlig
injektion Amphotericin B 0.6 mg/ml
injektion Melphalan 0.1 mg/ml
Glukos 5 % 169
Kompatibel
injektion Amphotericin B 5 mg/ml
injektion Meropenem 1 & 50 mg/ml
Natriumklorid 0,9 % 266
Kompatibel
injektion Amphotericin B 0.2 mg/ml
injektion Meropenem 1 & 20 mg/ml
Natriumklorid 0,9 % 266
Ospecificerad inkompatibilitet Oförenlig
injektion Amphotericin B
injektion Metaraminol
5046
Ospecificerad inkompatibilitet Oförenlig
injektion Amphotericin B
injektion N-acetylcysteine 200 mg/ml
Ingen 3766
Omedelbar nederbörd Oförenlig
injektion Amphotericin B 0,5 mg/ml
injektion Nalbuphine hydrochloride 0,05 >>0,33 mg/ml
Natriumklorid 0,9 % 5097
Omedelbar nederbörd Oförenlig
injektion Amphotericin B 0,5 mg/ml
injektion Nalbuphine hydrochloride 0,05 >> 0,33 mg/ml
Glukos 5 % 4867
Ospecificerad inkompatibilitet Oförenlig
injektion Amphotericin B 4 mg/ml
injektion Naloxone hydrochloride 0.4 mg/ml
Ingen 3408
Omedelbar grumlighet Oförenlig
injektion Amphotericin B 0.6 mg/ml
injektion Ondansetron hydrochloride 1 mg/ml
Glukos 5 % 334
Omedelbar grumlighet Oförenlig
injektion Amphotericin B 0.1 mg/ml
injektion Oritavancin 0.8>>2 mg/ml
Glukos 5 % 3152
Omedelbar grumlighet Oförenlig
injektion Amphotericin B 0.6 mg/ml
injektion Paclitaxel 1.2 mg/ml
Glukos 5 % 248
Grumlighet på en timme Oförenlig
injektion Amphotericin B
injektion Pantoprazole sodium
2090
Omedelbar nederbörd Oförenlig
injektion Amphotericin B 0.6 mg/ml
injektion Pemetrexed disodium 20 mg/ml
Natriumklorid 0,9 % 1953
Ospecificerad inkompatibilitet Oförenlig
injektion Amphotericin B
injektion Penicillin G sodium
3585
Kompatibel
injektion Amphotericin B 0,1 mg/ml
injektion Pentoxifyllin 5 mg/ml
Glukos 5 % 4543
Kompatibel
injektion Amphotericin B 1 mg/ml
injektion Phloroglucinol 2,5 mg/ml
3791
Omedelbar nederbörd Oförenlig
injektion Amphotericin B 0.6 mg/ml
injektion Piperacillin sodium / tazobactam 40/5 mg/ml
Glukos 5 % 81
Omedelbar grumlighet Oförenlig
injektion Amphotericin B 0,1 mg/ml
injektion Plazomicin sulfate 24 mg/ml
Natriumklorid 0,9 % 4145
Omedelbar nederbörd Oförenlig
injektion Amphotericin B 0.6 mg/ml
injektion Propofol 10 mg/ml
Ingen 300
Kompatibel
injektion Amphotericin B 0.6 mg/ml
injektion Remifentanil hydrochloride 25 µg/ml
Glukos 5 % 59
Omedelbar nederbörd Oförenlig
injektion Amphotericin B 0.6 mg/ml
injektion Remifentanil hydrochloride 250 µg/ml
Glukos 5 % 59
Ospecificerad inkompatibilitet Oförenlig
injektion Amphotericin B
injektion Rocuronium bromide
3564
Omedelbar grumlighet Oförenlig
injektion Amphotericin B 50 mg/ml
injektion Salbutamol sulfate 1 mg/ml
Ingen 3216
Kompatibel
injektion Amphotericin B 0.6 mg/ml
injektion Sargramostim 10 µg/ml
Glukos 5 % 335
Omedelbar nederbörd Oförenlig
injektion Amphotericin B 0.6 mg/ml
injektion Sargramostim 10 µg/ml
Natriumklorid 0,9 % 335
Omedelbar nederbörd Oförenlig
injektion Amphotericin B 0,1 mg/ml
injektion Sildenafil citrate 0,6 mg/ml
Glukos 5 % 4845
Kemisk instabilitet Oförenlig
injektion Amphotericin B 0.1 mg/ml
injektion Sildenafil citrate 0,6 mg/ml
Glukos 5 % 4845
Kompatibel
injektion Amphotericin B 5 mg/ml
injektion Tacrolimus 1000 µg/ml
Vatten för injektion 479
Omedelbar grumlighet Oförenlig
injektion Amphotericin B 0,1 mg/ml
injektion Telavancin hydrochloride 7,5 mg/ml
Glukos 5 % 3254
Kompatibel
injektion Amphotericin B 0.6 mg/ml
injektion Teniposide 0.1 mg/ml
Glukos 5 % 905
Omedelbar nederbörd Oförenlig
injektion Amphotericin B
injektion Thiopental sodium 25 mg/ml
Natriumklorid 0,9 % 3767
Kompatibel
injektion Amphotericin B 0.6 mg/ml
injektion Thiotepa 1 mg/ml
Glukos 5 % 249
Ospecificerad inkompatibilitet Oförenlig
injektion Amphotericin B
injektion Tigecycline
3332
Utfällning efter 8 timmar Oförenlig
injektion Amphotericin B 0.1 mg/ml
injektion Verapamil hydrochloride 0.08 mg/ml
Glukos 5 % 1057
Omedelbar nederbörd Oförenlig
injektion Amphotericin B 0.1 mg/ml
injektion Verapamil hydrochloride 0.08 mg/ml
Natriumklorid 0,9 % 1057
Omedelbar nederbörd Oförenlig
injektion Amphotericin B 0.6 mg/ml
injektion Vinorelbine tartrate 1 mg/ml
Glukos 5 % 84
Kompatibel
injektion Amphotericin B 0.6 mg/ml
injektion Zidovudine 4 mg/ml
Glukos 5 % 337
Omedelbar nederbörd Oförenlig
injektion Amphotericin B ? mg/ml
Natriumklorid 0,9 % 892
Omedelbar nederbörd Oförenlig
injektion Amphotericin B 0.6 mg/ml
injektion Vinorelbine tartrate 1 mg/ml
Natriumklorid 0,9 % 84

  Mentions Légales