Utolsó frissítés :
17/12/2025
Gombaellenes szer   Amphotericin B  
Injekció
aeroszol belsőleges oldat Szájvíz Szemcsepp
Az oldatok stabilitása A keverékek stabilitása Stabilitást befolyásoló tényezők Kompatibilitás Az alkalmazás módja Irodalom pdf
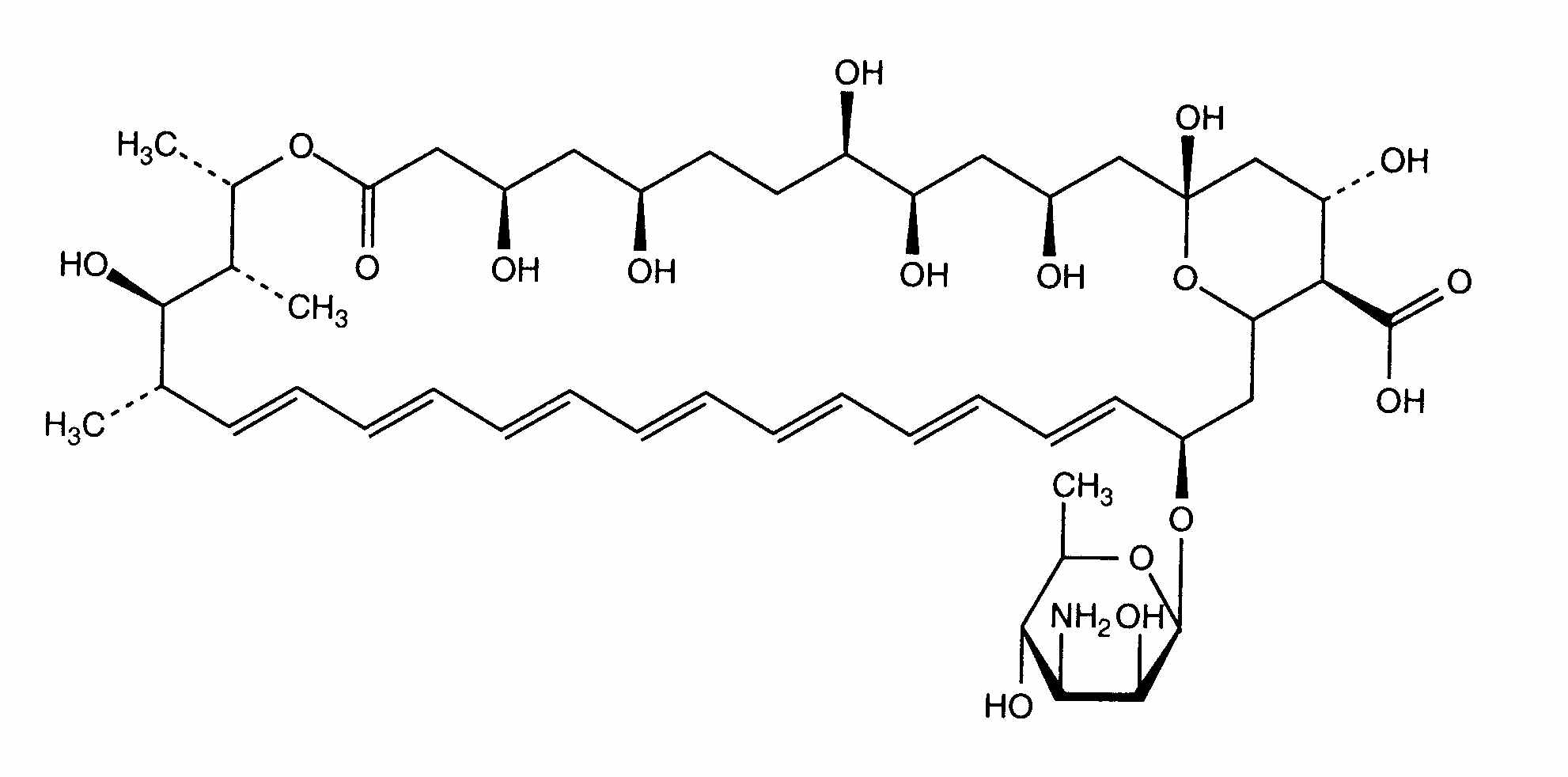
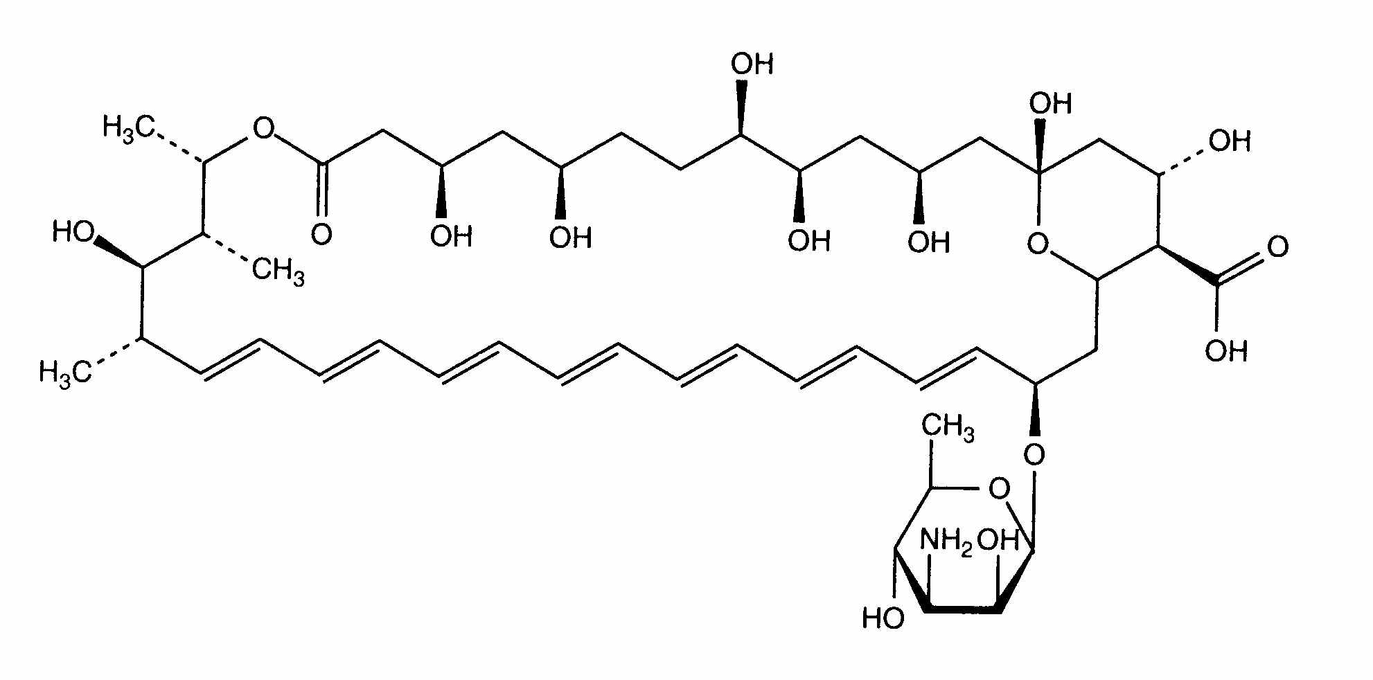
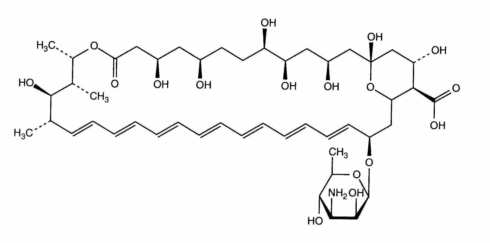
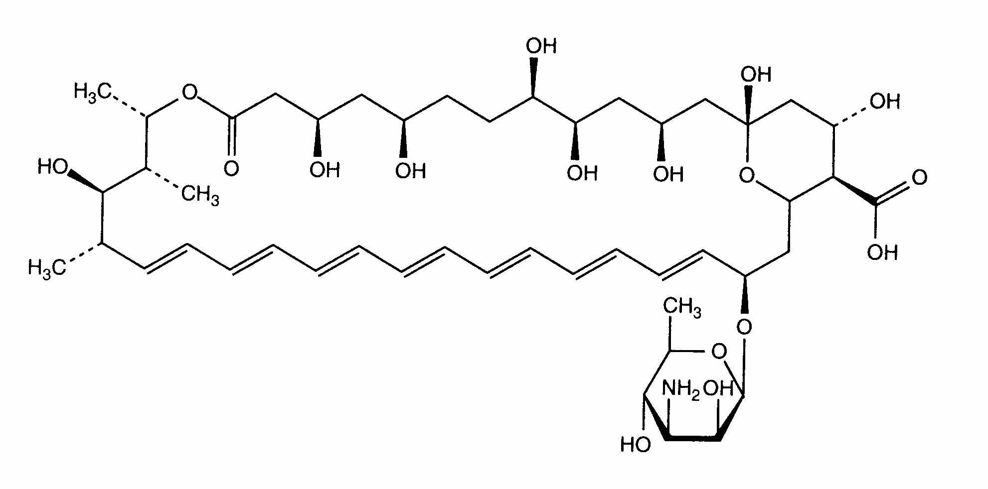
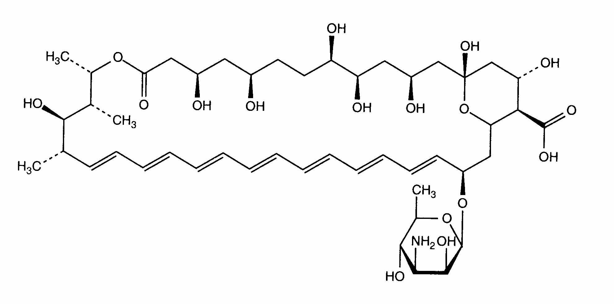
   Kémiai szerkezet   

Kereskedelmi név   Kereskedelmi név     

A kereskedelmi név meghatározó jelentőségű: a készítmények összetétele országonként, előállítóként eltérő lehet

Fungizone Amerikai Egyesült Államok, Colombia, Dánia, Finnország, Franciaország, Görögország, Hollandia, India, Irán, Írország, Kanada, Magyarország, Malaysia, Marokkó, Nagy-Britannia, Németország, Olaszország, Portugália, Svájc, Svédország, Törökország, Tunézia, új-Zéland, Venezuela
Az oldatok stabilitása   Injekció   Az oldatok stabilitása : Amphotericin B     
Csomagolás Oldószer Koncentráció Hőmérséklet Tárolás A stabilitás időtartama Irodalom
Poli(vinilklorid) 5% glükóz 0,05 & 0,5 mg/ml 23°C-25°C Fénnyel vagy anélkül
24 Óra
12
Szintű bizonyítékot D

Poli(vinilklorid) 5% glükóz 0,1 mg/ml 15°C-25°C Fénytől védve tartandó
24 Óra
435
Szintű bizonyítékot D

Poli(vinilklorid) 5% glükóz 0,1 mg/ml 4°C Fénytől védve tartandó
15 Nap
1907
Szintű bizonyítékot D

Poli(vinilklorid) 5% glükóz 0,1 & 0,25 mg/ml 4°C Fénytől védve tartandó
35 Nap
436
Szintű bizonyítékot A+

Poli(vinilklorid) 5% glükóz 0,2 & 0,5 mg/ml 25°C Fény
120 Óra
283
Szintű bizonyítékot C+

Poli(vinilklorid) 5% glükóz 0,2 & 0,5 & 1 mg/ml 4°C Fénytől védve tartandó
120 Óra
283
Szintű bizonyítékot C+

Poli(vinilklorid) 10% glükóz 0,1 mg/ml 15°C-25°C Fénytől védve tartandó
24 Óra
435
Szintű bizonyítékot D

Poli(vinilklorid) 15% glükóz 0,1 mg/ml 15°C-25°C Fénytől védve tartandó
24 Óra
435
Szintű bizonyítékot D

Poli(vinilklorid) 20% glükóz 0,1 mg/ml 15°C-25°C Fénytől védve tartandó
24 Óra
435
Szintű bizonyítékot D

Poliolefin 5% glükóz 0,47 >> 0,75 mg/ml 25°C Fény
24 Óra
497
Szintű bizonyítékot C+

Poliolefin 5% glükóz 0,92 >> 1,4 mg/ml 25°C Nincs meghatározva
36 Óra
439
Szintű bizonyítékot A+

Poliolefin 5% glükóz 0,92 >> 1,4 mg/ml 6°C Fénytől védve tartandó
36 Óra
439
Szintű bizonyítékot A+

Poliizoprén elasztomer 5% glükóz 0,2 & 0,5 mg/ml 4°C Fénytől védve tartandó
10 Nap
604
Gyártó stabilitási adatokra


  Mentions Légales