Son güncelleme :
27/04/2026
Antifungal   Amphotericin B  
Enjeksiyon
Aerosol Gargara Göz damlası Oral solüsyon / oral çözelti
Çözeltilerin stabilitesi Karışımlardaki stabilitesi Stabiliteyi etkileyen faktörler Uyumluluk Uygulama yöntemi Kaynaklar pdf
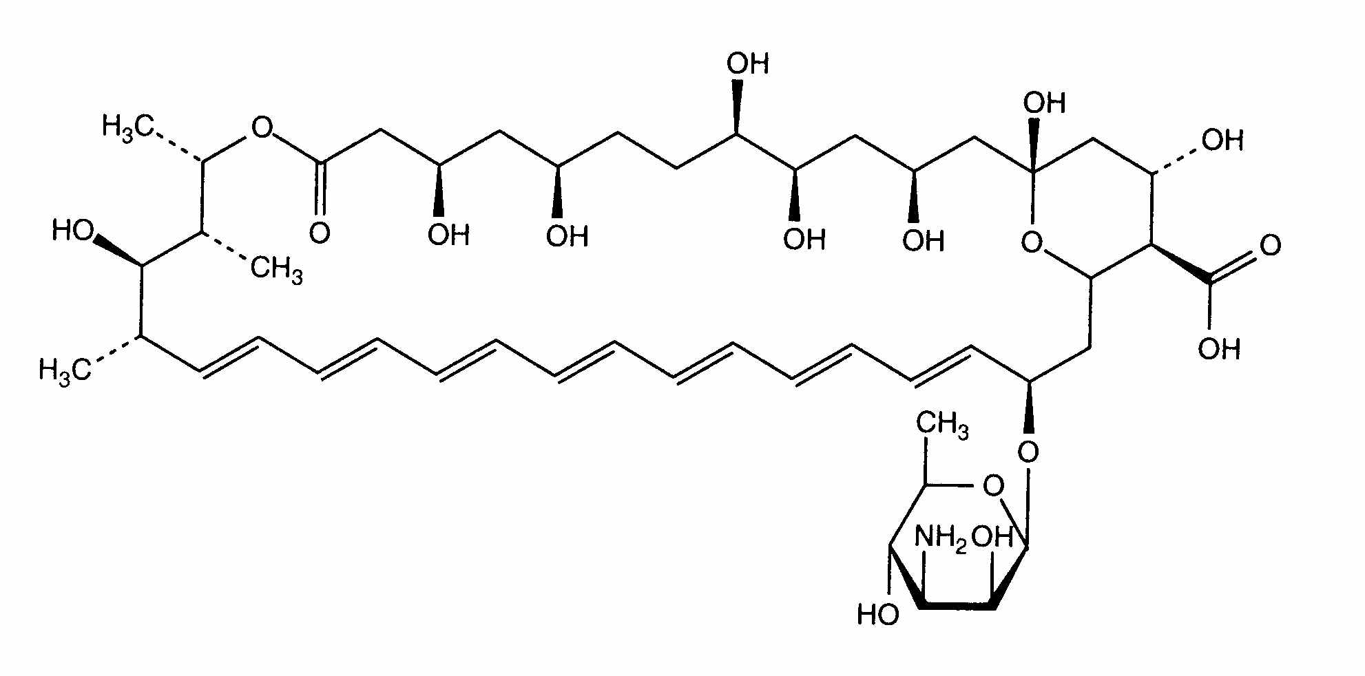
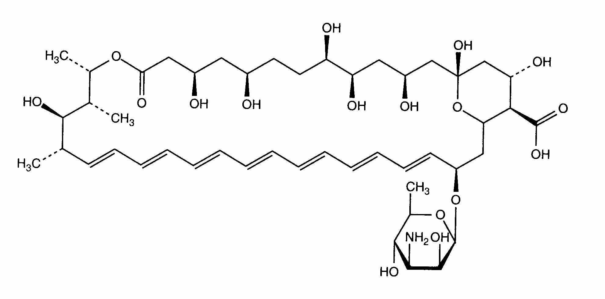
   Kimyasal yapı   

Ticari isim   Ticari isim     

Trade names are indicative and excipients composition can be different depending on the country and manufacturers

Fungizone Almanya, Amerika Birleşik Devletleri, Büyük Britanya, Danimarka, Fas, Finlandiya, Fransa, Hindistan, Hollanda, İran, İrlanda, İsveç, İsviçre, İtalya, Kanada, Kolombiya, Macaristan, Malezya, Portekiz, Tunus, Türkiye, Venezuela, yeni Zelanda, Yunanistan
Uyumluluk   Enjeksiyon    Uyumluluk : Amphotericin B              
Bu ekran, bu durumda uyumsuzluk tipiyle (çökelme, renk değişimi, bir emülsiyonun modifikasyonu, vb.) Uyumlulukları veya uyumsuzlukları gösterir. Burada gösterilen uyumluluklar çoğunlukla yalnızca fizikseldir ve her molekülün kimyasal stabilitesi nadiren değerlendirilir. Bu karışımların değerlendirilmesi, hastaya Y bölgesi uygulama olasılığını göz önünde bulundurmak için çalışıldı. Bu veriler önceden torba veya şırıngalarda karışım yapmak için kullanılamaz. Bu tür bilgiler "Karışımda stabilite" ekranında mevcuttur.
Bileşik Çözücü Kaynaklar
Uyumlu
Enjeksiyon Amphotericin B 1.6 mg/ml
Enjeksiyon Aldesleukin 0.0338 MUI/ml
Glukoz %5 36
Acil yağış uyumsuz
Enjeksiyon Amphotericin B 0.6 mg/ml
Enjeksiyon Aztreonam 40 mg/ml
Glukoz %5 99
Belirtilmemiş uyumsuzluk uyumsuz
Enjeksiyon Amphotericin B
Laktatlı ringer 3968
Bulanıklık kaybı uyumsuz
Enjeksiyon Amphotericin B 0.6 mg/ml
Enjeksiyon Allopurinol sodium 3 mg/ml
Sodyum klorür % 0,9 307
Anında bulanıklık uyumsuz
Enjeksiyon Amphotericin B 0.6 mg/ml
Enjeksiyon Amifostine 10 mg/ml
Glukoz %5 3
Belirtilmemiş uyumsuzluk uyumsuz
Enjeksiyon Amphotericin B
Enjeksiyon Amikacin sulfate
3549
Uyumlu
Enjeksiyon Amphotericin B 0,5 mg/ml
Enjeksiyon Amiodarone hydrochloride 6 mg/ml
Glukoz %5 1611
Anında bulanıklık uyumsuz
Enjeksiyon Amphotericin B 0,6 mg/ml
Enjeksiyon Anidulafungin 0,5 mg/ml
Glukoz %5 1982
Acil yağış uyumsuz
Enjeksiyon Amphotericin B
Enjeksiyon Bivalirudin
3539
Acil yağış uyumsuz
Enjeksiyon Amphotericin B 0.6 mg/ml
Enjeksiyon Bivalirudin 5 mg/ml
Glukoz %5 1713
Uyumlu
Enjeksiyon Amphotericin B 0.1 mg/ml
Enjeksiyon Caffeine 10 mg/ml
Glukoz %5 4837
Uyumlu
Enjeksiyon Amphotericin B 0,1 mg/ml
Enjeksiyon Caffeine citrate 20 mg/ml
Glukoz %5 4837
Uyumlu
Enjeksiyon Amphotericin B
Glukoz %5 3591
Bulanıklık kaybı uyumsuz
Enjeksiyon Amphotericin B 0.6 mg/ml
Enjeksiyon Allopurinol sodium 3 mg/ml
Glukoz %5 307
Acil yağış uyumsuz
Enjeksiyon Amphotericin B 0.6 mg/ml
Enjeksiyon Amsacrine 1 mg/ml
Glukoz %5 253
uyumsuz
Enjeksiyon Amphotericin B 0.1 mg/ml
Laktatlı ringer 1172
Belirtilmemiş uyumsuzluk uyumsuz
Enjeksiyon Amphotericin B
Enjeksiyon Calcium gluconate
3644
1 saat sonra yağış uyumsuz
Enjeksiyon Amphotericin B
Enjeksiyon Cefotaxime sodium
Sodyum klorür % 0,9 3871
Anında bulanıklık uyumsuz
Enjeksiyon Amphotericin B 0,6 mg/ml
Enjeksiyon Ceftaroline fosamil 2,22 mg/ml
Laktatlı ringer 3249
Acil yağış uyumsuz
Enjeksiyon Amphotericin B
NaCl %0,9 + antibakteriyel 3591
Acil yağış uyumsuz
Enjeksiyon Amphotericin B 0.6 mg/ml
Parenteral beslenme (ikili karışım) 301
Acil yağış uyumsuz
Enjeksiyon Amphotericin B 1 mg/ml
Enjeksiyon Cefiderocol sulfate tosylate 20 mg/mL
Sodyum klorür % 0,9 4528
Kimyasal kararsızlık uyumsuz
Enjeksiyon Amphotericin B 0.1 mg/ml
Enjeksiyon Cefpirome sulfate 50 mg/ml
Sodyum klorür % 0,9 280
Anında bulanıklık uyumsuz
Enjeksiyon Amphotericin B 0,6 mg/ml
Enjeksiyon Ceftaroline fosamil 2,22 mg/ml
Sodyum klorür % 0,9 3249
Acil yağış uyumsuz
Enjeksiyon Amphotericin B 0.6 mg/ml
Enjeksiyon Ceftobiprole medocaril sodium 2 mg/ml
Sodyum klorür % 0,9 2269
Acil yağış uyumsuz
Enjeksiyon Amphotericin B 0.6 mg/ml
Parenteral beslenme (Lipidler) 1415
Anında bulanıklık uyumsuz
Enjeksiyon Amphotericin B 0.1 mg/ml
Enjeksiyon Cimetidine hydrochloride 0.6 mg/ml
Glukoz %5 1201
Acil yağış uyumsuz
Enjeksiyon Amphotericin B 0,6 & 1,2 mg/ml
Parenteral beslenme (Lipidler) 2043
Emülsiyonun anında dengesizliği uyumsuz
Enjeksiyon Amphotericin B 0.01 >> 5 mg/ml
Parenteral beslenme (Lipidler) 1498
Anında bulanıklık uyumsuz
Enjeksiyon Amphotericin B 0.1 mg/ml
Enjeksiyon Ceftolozane / tazobactam 10/5 mg/ml
Glukoz %5 3828
Acil yağış uyumsuz
Enjeksiyon Amphotericin B 1.35 mg/ml
Parenteral beslenme (Lipidler) 793
Acil yağış uyumsuz
Enjeksiyon Amphotericin B 0.6 mg/ml
Enjeksiyon Ceftobiprole medocaril sodium 2 mg/ml
Laktatlı ringer 2269
Kimyasal kararsızlık uyumsuz
Enjeksiyon Amphotericin B 0.09 mg/ml
Parenteral beslenme (Lipidler) 984
Belirtilmemiş uyumsuzluk uyumsuz
Enjeksiyon Amphotericin B
Enjeksiyon Calcium gluconate
4964
Acil yağış uyumsuz
Enjeksiyon Amphotericin B 0,6 mg/ml
Enjeksiyon Caspofungin acetate 0,7 mg/ml
Sodyum klorür % 0,9 2247
Anında bulanıklık uyumsuz
Enjeksiyon Amphotericin B 0,6 mg/ml
Enjeksiyon Ceftaroline fosamil 2,22 mg/ml
Glukoz %5 3249
Uyumlu
Enjeksiyon Amphotericin B
Enjeksiyon Ceftazidime
3883
Belirtilmemiş uyumsuzluk uyumsuz
Enjeksiyon Amphotericin B
Enjeksiyon Ceftobiprole medocaril sodium
4650
Acil yağış uyumsuz
Enjeksiyon Amphotericin B
Parenteral beslenme (Lipidler) 270
Acil yağış uyumsuz
Enjeksiyon Amphotericin B 0.6 mg/ml
Enjeksiyon Ceftobiprole medocaril sodium 2 mg/ml
Glukoz %5 2269
Emülsiyonun anında dengesizliği uyumsuz
Enjeksiyon Amphotericin B 0.6 mg/ml
Parenteral beslenme (Lipidler) 265
Acil yağış uyumsuz
Enjeksiyon Amphotericin B 1 mg/ml
Enjeksiyon Cefiderocol sulfate tosylate 20 mg/mL
Glukoz %5 4528
Kimyasal kararsızlık uyumsuz
Enjeksiyon Amphotericin B 0.1 mg/ml
Enjeksiyon Cefpirome sulfate 50 mg/ml
Sodyum klorür % 0,45 280
Kimyasal kararsızlık uyumsuz
Enjeksiyon Amphotericin B 0.1 mg/ml
Enjeksiyon Cefpirome sulfate 50 mg/ml
Laktatlı ringer 280
Kimyasal kararsızlık uyumsuz
Enjeksiyon Amphotericin B 0.1 mg/ml
Enjeksiyon Cefpirome sulfate 50 mg/ml
Glukoz %5 280
Acil yağış uyumsuz
Enjeksiyon Amphotericin B 0.1 mg/ml
Enjeksiyon Ciprofloxacin lactate 2 mg/ml
Glukoz %5 285
Acil yağış uyumsuz
Enjeksiyon Amphotericin B
Sodyum klorür % 0,9 3591
Uyumlu
Enjeksiyon Amphotericin B 0.6 mg/ml
Enjeksiyon Cisatracurium besylate 0.1 mg/ml
Glukoz %5 299
Acil yağış uyumsuz
Enjeksiyon Amphotericin B 0.6 mg/ml
Enjeksiyon Cisatracurium besylate 2 & 5 mg/ml
Glukoz %5 299
Acil yağış uyumsuz
Enjeksiyon Amphotericin B 0.6 mg/ml
Enjeksiyon Dexmedetomidine 4 µg/ml
Glukoz %5 1712
Uyumlu
Enjeksiyon Amphotericin B 0.1 mg/ml
Enjeksiyon Diltiazem hydrochloride 1 mg/ml
Sodyum klorür % 0,9 198
Anında bulanıklık uyumsuz
Enjeksiyon Amphotericin B 0.6 mg/ml
Enjeksiyon Docetaxel 0.9 mg/ml
Glukoz %5 1754
Acil yağış uyumsuz
Enjeksiyon Amphotericin B
Enjeksiyon Dopamine hydrochloride
Glukoz %5 3638
Uyumlu
Enjeksiyon Amphotericin B 0,6 mg/ml
Enjeksiyon Doripenem 5 mg/ml
Glukoz %5 2262
Acil yağış uyumsuz
Enjeksiyon Amphotericin B 0.6 mg/ml
Enjeksiyon Doxorubicin hydrochloride liposome peg 0.4 mg/ml
Glukoz %5 251
Acil yağış uyumsuz
Enjeksiyon Amphotericin B 0.6 mg/ml
Enjeksiyon Etoposide phosphate 5 mg/ml
Glukoz %5 1410
uyumsuz
Enjeksiyon Amphotericin B 0.1 mg/ml
Sodyum klorür % 0,9 1172
Acil yağış uyumsuz
Enjeksiyon Amphotericin B 0.6 mg/ml
Enjeksiyon Doripenem 5 mg/ml
Sodyum klorür % 0,9 2262
4 saat içinde bulanıklık uyumsuz
Enjeksiyon Amphotericin B 0.1 mg/ml
Enjeksiyon Enalaprilate 1.25 mg/ml
Glukoz %5 201
2 saatte bulanıklık uyumsuz
Enjeksiyon Amphotericin B 0.1 mg/ml
Enjeksiyon Enalaprilate 0.0125 mg/ml
Glukoz %5 1703
Uyumlu
Enjeksiyon Amphotericin B 0.6 mg/ml
Enjeksiyon Famotidine 2 mg/ml
Sodyum klorür % 0,9 215
Acil yağış uyumsuz
Enjeksiyon Amphotericin B 0.6 mg/ml
Enjeksiyon Fenoldopam mesylate 80 µg/ml
Sodyum klorür % 0,9 1803
Acil yağış uyumsuz
Enjeksiyon Amphotericin B 0.6 mg/ml
Enjeksiyon Filgrastim 30 µg/ml
Glukoz %5 244
Bir saat içinde bulanıklık uyumsuz
Enjeksiyon Amphotericin B 5 mg/ml
Enjeksiyon Fluconazole 2 mg/ml
Sodyum klorür % 0,9 496
Uyumlu
Enjeksiyon Amphotericin B 0.1 mg/ml
Enjeksiyon Fluconazole 2 mg/ml
Yok 256
4 saat sonra yağış uyumsuz
Enjeksiyon Amphotericin B 0.6 mg/ml
Enjeksiyon Fludarabine phosphate 1 mg/ml
Glukoz %5 492
Belirtilmemiş uyumsuzluk uyumsuz
Enjeksiyon Amphotericin B
Enjeksiyon Foscarnet sodium
3662
Anında bulanıklık uyumsuz
Enjeksiyon Amphotericin B 0.6 mg/ml
Enjeksiyon Foscarnet sodium 24 mg/ml
Glukoz %5 1135
Acil yağış uyumsuz
Enjeksiyon Amphotericin B 5 mg/ml
Enjeksiyon Foscarnet sodium 24 mg/ml
Yok 73
Anında bulanıklık uyumsuz
Enjeksiyon Amphotericin B 0.1 mg/ml
Enjeksiyon Fosfomycin 30 mg/ml
Glukoz %5 4055
Acil yağış uyumsuz
Enjeksiyon Amphotericin B 0.6 mg/ml
Enjeksiyon Gemcitabine hydrochloride 10 mg/ml
Sodyum klorür % 0,9 1423
Anında bulanıklık uyumsuz
Enjeksiyon Amphotericin B 0.6 mg/ml
Enjeksiyon Granisetron hydrochloride 0.05 mg/ml
Glukoz %5 182
Acil yağış uyumsuz
Enjeksiyon Amphotericin B 0.6 mg/ml
Enjeksiyon Hetastarch 60 mg/ml
çözücü Özgül 1721
Anında bulanıklık uyumsuz
Enjeksiyon Amphotericin B 0.1 mg/ml
Enjeksiyon Isavuconazonium sulfate 1.5 mg/ml
Glukoz %5 3829
Acil yağış uyumsuz
Enjeksiyon Amphotericin B 0.6 mg/ml
Enjeksiyon Lansoprazole 0.55 mg/ml
Sodyum klorür % 0,9 1625
Belirtilmemiş uyumsuzluk uyumsuz
Enjeksiyon Amphotericin B
Enjeksiyon Lidocaine hydrochloride
5060
Acil yağış uyumsuz
Enjeksiyon Amphotericin B 0.6 mg/ml
Enjeksiyon Linezolid 2 mg/ml
Yok 1925
Belirtilmemiş uyumsuzluk uyumsuz
Enjeksiyon Amphotericin B
Enjeksiyon Linezolid
3560
2 saat sonra yağış uyumsuz
Enjeksiyon Amphotericin B 0,04 & 0,08 mg/ml
Enjeksiyon Magnesium sulfate 2 & 4 mg/ml
Glukoz %5 682
Anında bulanıklık uyumsuz
Enjeksiyon Amphotericin B 0.6 mg/ml
Enjeksiyon Melphalan 0.1 mg/ml
Sodyum klorür % 0,9 169
Kimyasal kararsızlık uyumsuz
Enjeksiyon Amphotericin B 0.6 mg/ml
Enjeksiyon Melphalan 0.1 mg/ml
Glukoz %5 169
Uyumlu
Enjeksiyon Amphotericin B 5 mg/ml
Enjeksiyon Meropenem 1 & 50 mg/ml
Sodyum klorür % 0,9 266
Uyumlu
Enjeksiyon Amphotericin B 0.2 mg/ml
Enjeksiyon Meropenem 1 & 20 mg/ml
Sodyum klorür % 0,9 266
Belirtilmemiş uyumsuzluk uyumsuz
Enjeksiyon Amphotericin B
Enjeksiyon Metaraminol
5046
Belirtilmemiş uyumsuzluk uyumsuz
Enjeksiyon Amphotericin B
Enjeksiyon N-acetylcysteine 200 mg/ml
Yok 3766
Acil yağış uyumsuz
Enjeksiyon Amphotericin B 0,5 mg/ml
Enjeksiyon Nalbuphine hydrochloride 0,05 >>0,33 mg/ml
Sodyum klorür % 0,9 5097
Acil yağış uyumsuz
Enjeksiyon Amphotericin B 0,5 mg/ml
Enjeksiyon Nalbuphine hydrochloride 0,05 >> 0,33 mg/ml
Glukoz %5 4867
Belirtilmemiş uyumsuzluk uyumsuz
Enjeksiyon Amphotericin B 4 mg/ml
Enjeksiyon Naloxone hydrochloride 0.4 mg/ml
Yok 3408
Anında bulanıklık uyumsuz
Enjeksiyon Amphotericin B 0.6 mg/ml
Enjeksiyon Ondansetron hydrochloride 1 mg/ml
Glukoz %5 334
Anında bulanıklık uyumsuz
Enjeksiyon Amphotericin B 0.1 mg/ml
Enjeksiyon Oritavancin 0.8>>2 mg/ml
Glukoz %5 3152
Anında bulanıklık uyumsuz
Enjeksiyon Amphotericin B 0.6 mg/ml
Enjeksiyon Paclitaxel 1.2 mg/ml
Glukoz %5 248
Bir saat içinde bulanıklık uyumsuz
Enjeksiyon Amphotericin B
Enjeksiyon Pantoprazole sodium
2090
Acil yağış uyumsuz
Enjeksiyon Amphotericin B 0.6 mg/ml
Enjeksiyon Pemetrexed disodium 20 mg/ml
Sodyum klorür % 0,9 1953
Belirtilmemiş uyumsuzluk uyumsuz
Enjeksiyon Amphotericin B
Enjeksiyon Penicillin G sodium
3585
Uyumlu
Enjeksiyon Amphotericin B 0,1 mg/ml
Enjeksiyon Pentoxifyllin 5 mg/ml
Glukoz %5 4543
Uyumlu
Enjeksiyon Amphotericin B 1 mg/ml
Enjeksiyon Phloroglucinol 2,5 mg/ml
3791
Acil yağış uyumsuz
Enjeksiyon Amphotericin B 0.6 mg/ml
Enjeksiyon Piperacillin sodium / tazobactam 40/5 mg/ml
Glukoz %5 81
Anında bulanıklık uyumsuz
Enjeksiyon Amphotericin B 0,1 mg/ml
Enjeksiyon Plazomicin sulfate 24 mg/ml
Sodyum klorür % 0,9 4145
Acil yağış uyumsuz
Enjeksiyon Amphotericin B 0.6 mg/ml
Enjeksiyon Propofol 10 mg/ml
Yok 300
Uyumlu
Enjeksiyon Amphotericin B 0.6 mg/ml
Enjeksiyon Remifentanil hydrochloride 25 µg/ml
Glukoz %5 59
Acil yağış uyumsuz
Enjeksiyon Amphotericin B 0.6 mg/ml
Enjeksiyon Remifentanil hydrochloride 250 µg/ml
Glukoz %5 59
Belirtilmemiş uyumsuzluk uyumsuz
Enjeksiyon Amphotericin B
Enjeksiyon Rocuronium bromide
3564
Anında bulanıklık uyumsuz
Enjeksiyon Amphotericin B 50 mg/ml
Enjeksiyon Salbutamol sulfate 1 mg/ml
Yok 3216
Uyumlu
Enjeksiyon Amphotericin B 0.6 mg/ml
Enjeksiyon Sargramostim 10 µg/ml
Glukoz %5 335
Acil yağış uyumsuz
Enjeksiyon Amphotericin B 0.6 mg/ml
Enjeksiyon Sargramostim 10 µg/ml
Sodyum klorür % 0,9 335
Acil yağış uyumsuz
Enjeksiyon Amphotericin B 0,1 mg/ml
Enjeksiyon Sildenafil citrate 0,6 mg/ml
Glukoz %5 4845
Kimyasal kararsızlık uyumsuz
Enjeksiyon Amphotericin B 0.1 mg/ml
Enjeksiyon Sildenafil citrate 0,6 mg/ml
Glukoz %5 4845
Uyumlu
Enjeksiyon Amphotericin B 5 mg/ml
Enjeksiyon Tacrolimus 1000 µg/ml
Enjeksiyonluk su 479
Anında bulanıklık uyumsuz
Enjeksiyon Amphotericin B 0,1 mg/ml
Enjeksiyon Telavancin hydrochloride 7,5 mg/ml
Glukoz %5 3254
Uyumlu
Enjeksiyon Amphotericin B 0.6 mg/ml
Enjeksiyon Teniposide 0.1 mg/ml
Glukoz %5 905
Acil yağış uyumsuz
Enjeksiyon Amphotericin B
Enjeksiyon Thiopental sodium 25 mg/ml
Sodyum klorür % 0,9 3767
Uyumlu
Enjeksiyon Amphotericin B 0.6 mg/ml
Enjeksiyon Thiotepa 1 mg/ml
Glukoz %5 249
Belirtilmemiş uyumsuzluk uyumsuz
Enjeksiyon Amphotericin B
Enjeksiyon Tigecycline
3332
8 saat sonra yağış uyumsuz
Enjeksiyon Amphotericin B 0.1 mg/ml
Enjeksiyon Verapamil hydrochloride 0.08 mg/ml
Glukoz %5 1057
Acil yağış uyumsuz
Enjeksiyon Amphotericin B 0.1 mg/ml
Enjeksiyon Verapamil hydrochloride 0.08 mg/ml
Sodyum klorür % 0,9 1057
Acil yağış uyumsuz
Enjeksiyon Amphotericin B 0.6 mg/ml
Enjeksiyon Vinorelbine tartrate 1 mg/ml
Glukoz %5 84
Uyumlu
Enjeksiyon Amphotericin B 0.6 mg/ml
Enjeksiyon Zidovudine 4 mg/ml
Glukoz %5 337
Acil yağış uyumsuz
Enjeksiyon Amphotericin B ? mg/ml
Sodyum klorür % 0,9 892
Acil yağış uyumsuz
Enjeksiyon Amphotericin B 0.6 mg/ml
Enjeksiyon Vinorelbine tartrate 1 mg/ml
Sodyum klorür % 0,9 84

  Mentions Légales