最新更新 :
27/04/2026
抗真菌药   Amphotericin B  
注射液
口服剂 气雾剂 漱口水 眼药水
溶液稳定性 混合物稳定性 影响稳定性的因素 兼容性 用药途径 引用文献 PDF
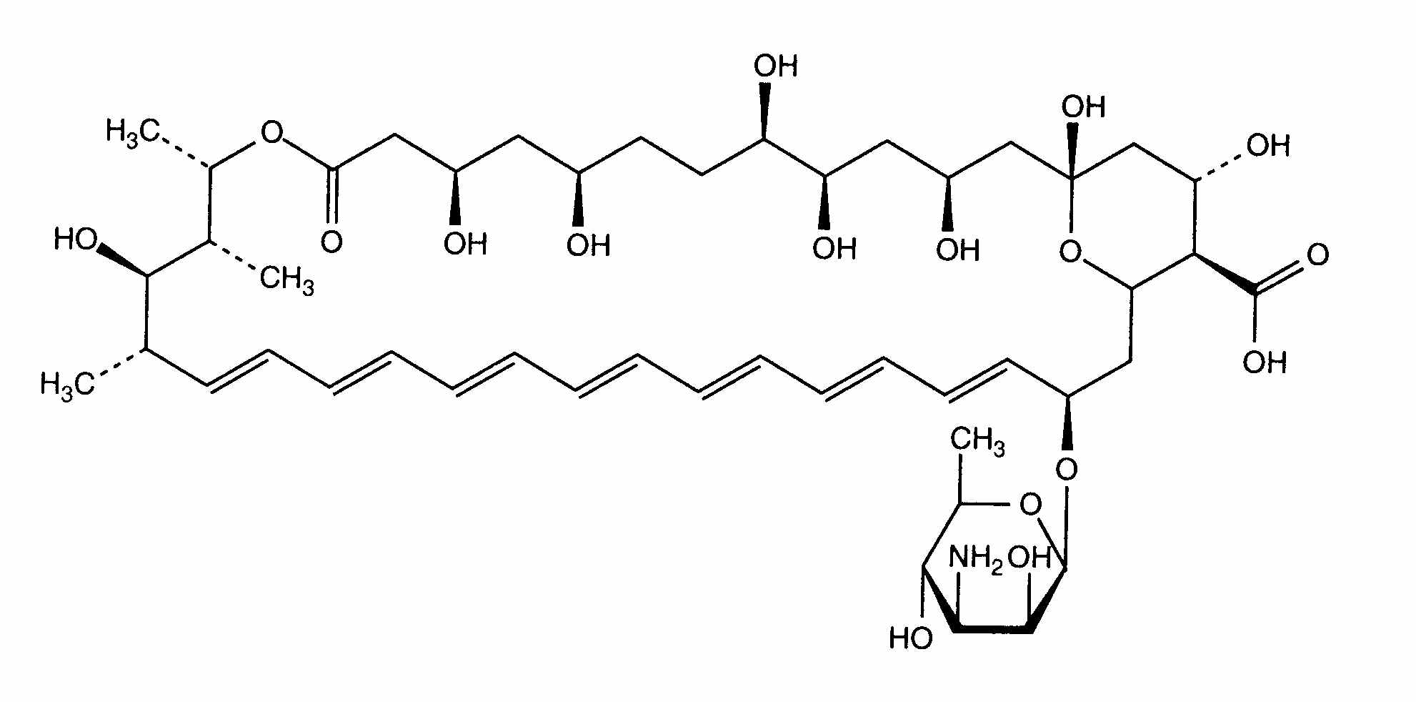
   化学式  

商品名   商品名     

商品名仅供参考, 药品所用的辅料可能依国家或厂商不同有所不同。

Fungizone 丹麦, 伊朗, 加拿大, 匈牙利, 印度, 哥伦比亚, 土耳其, 委内瑞拉, 希腊, 德国, 意大利, 摩洛哥, 新西蘭, 法国, 爱尔兰, 瑞典, 瑞士, 突尼斯, 美国, 芬兰, 英国, 荷兰, 葡萄牙, 马来西亚
兼容性   注射液   兼容性 : Amphotericin B              
This screen indicates the compatibilities or incompatibilities with, in this case, the type of incompatibility (precipitation, color change, modification of an emulsion, etc.). The compatibilities shown here are mostly physical only, with the chemical stability of each molecule rarely being assessed. The evaluation of these mixtures was studied to consider the possibility of Y-site administration to the patient. These data cannot be used for making mixtures in advance in bags or syringes. This type of information is available in the screen "Stability in mixture ».
分子 溶剂 引用文献
兼容
注射液 Amphotericin B 1.6 mg/ml
注射液 Aldesleukin 0.0338 MUI/ml
葡萄糖5% 36
立即沉澱 不相容
注射液 Amphotericin B 0.6 mg/ml
注射液 Aztreonam 40 mg/ml
葡萄糖5% 99
未指定的不兼容性 不相容
注射液 Amphotericin B
Ringer乳酸溶液 3968
濁度損失 不相容
注射液 Amphotericin B 0.6 mg/ml
注射液 Allopurinol sodium 3 mg/ml
NaCl 0,9% 307
立即渾濁 不相容
注射液 Amphotericin B 0.6 mg/ml
注射液 Amifostine 10 mg/ml
葡萄糖5% 3
未指定的不兼容性 不相容
注射液 Amphotericin B
注射液 Amikacin sulfate
3549
兼容
注射液 Amphotericin B 0,5 mg/ml
注射液 Amiodarone hydrochloride 6 mg/ml
葡萄糖5% 1611
立即渾濁 不相容
注射液 Amphotericin B 0,6 mg/ml
注射液 Anidulafungin 0,5 mg/ml
葡萄糖5% 1982
立即沉澱 不相容
注射液 Amphotericin B
注射液 Bivalirudin
3539
立即沉澱 不相容
注射液 Amphotericin B 0.6 mg/ml
注射液 Bivalirudin 5 mg/ml
葡萄糖5% 1713
兼容
注射液 Amphotericin B 0.1 mg/ml
注射液 Caffeine 10 mg/ml
葡萄糖5% 4837
兼容
注射液 Amphotericin B 0,1 mg/ml
注射液 Caffeine citrate 20 mg/ml
葡萄糖5% 4837
兼容
注射液 Amphotericin B
葡萄糖5% 3591
濁度損失 不相容
注射液 Amphotericin B 0.6 mg/ml
注射液 Allopurinol sodium 3 mg/ml
葡萄糖5% 307
立即沉澱 不相容
注射液 Amphotericin B 0.6 mg/ml
注射液 Amsacrine 1 mg/ml
葡萄糖5% 253
不相容
注射液 Amphotericin B 0.1 mg/ml
Ringer乳酸溶液 1172
未指定的不兼容性 不相容
注射液 Amphotericin B
注射液 Calcium gluconate
3644
1小時後析出 不相容
注射液 Amphotericin B
注射液 Cefotaxime sodium
NaCl 0,9% 3871
立即渾濁 不相容
注射液 Amphotericin B 0,6 mg/ml
注射液 Ceftaroline fosamil 2,22 mg/ml
Ringer乳酸溶液 3249
立即沉澱 不相容
注射液 Amphotericin B
NaCl 0,9%+抗生素 3591
立即沉澱 不相容
注射液 Amphotericin B 0.6 mg/ml
肠外营养(二种混合物) 301
立即沉澱 不相容
注射液 Amphotericin B 1 mg/ml
注射液 Cefiderocol sulfate tosylate 20 mg/mL
NaCl 0,9% 4528
化學不穩定性 不相容
注射液 Amphotericin B 0.1 mg/ml
注射液 Cefpirome sulfate 50 mg/ml
NaCl 0,9% 280
立即渾濁 不相容
注射液 Amphotericin B 0,6 mg/ml
注射液 Ceftaroline fosamil 2,22 mg/ml
NaCl 0,9% 3249
立即沉澱 不相容
注射液 Amphotericin B 0.6 mg/ml
注射液 Ceftobiprole medocaril sodium 2 mg/ml
NaCl 0,9% 2269
立即沉澱 不相容
注射液 Amphotericin B 0.6 mg/ml
肠外营养(含脂肪) 1415
立即渾濁 不相容
注射液 Amphotericin B 0.1 mg/ml
注射液 Cimetidine hydrochloride 0.6 mg/ml
葡萄糖5% 1201
立即沉澱 不相容
注射液 Amphotericin B 0,6 & 1,2 mg/ml
肠外营养(含脂肪) 2043
乳液立即不穩定 不相容
注射液 Amphotericin B 0.01 >> 5 mg/ml
肠外营养(含脂肪) 1498
立即渾濁 不相容
注射液 Amphotericin B 0.1 mg/ml
注射液 Ceftolozane / tazobactam 10/5 mg/ml
葡萄糖5% 3828
立即沉澱 不相容
注射液 Amphotericin B 1.35 mg/ml
肠外营养(含脂肪) 793
立即沉澱 不相容
注射液 Amphotericin B 0.6 mg/ml
注射液 Ceftobiprole medocaril sodium 2 mg/ml
Ringer乳酸溶液 2269
化學不穩定性 不相容
注射液 Amphotericin B 0.09 mg/ml
肠外营养(含脂肪) 984
未指定的不兼容性 不相容
注射液 Amphotericin B
注射液 Calcium gluconate
4964
立即沉澱 不相容
注射液 Amphotericin B 0,6 mg/ml
注射液 Caspofungin acetate 0,7 mg/ml
NaCl 0,9% 2247
立即渾濁 不相容
注射液 Amphotericin B 0,6 mg/ml
注射液 Ceftaroline fosamil 2,22 mg/ml
葡萄糖5% 3249
兼容
注射液 Amphotericin B
注射液 Ceftazidime
3883
未指定的不兼容性 不相容
注射液 Amphotericin B
注射液 Ceftobiprole medocaril sodium
4650
立即沉澱 不相容
注射液 Amphotericin B
肠外营养(含脂肪) 270
立即沉澱 不相容
注射液 Amphotericin B 0.6 mg/ml
注射液 Ceftobiprole medocaril sodium 2 mg/ml
葡萄糖5% 2269
乳液立即不穩定 不相容
注射液 Amphotericin B 0.6 mg/ml
肠外营养(含脂肪) 265
立即沉澱 不相容
注射液 Amphotericin B 1 mg/ml
注射液 Cefiderocol sulfate tosylate 20 mg/mL
葡萄糖5% 4528
化學不穩定性 不相容
注射液 Amphotericin B 0.1 mg/ml
注射液 Cefpirome sulfate 50 mg/ml
NaCl 0.45% 280
化學不穩定性 不相容
注射液 Amphotericin B 0.1 mg/ml
注射液 Cefpirome sulfate 50 mg/ml
Ringer乳酸溶液 280
化學不穩定性 不相容
注射液 Amphotericin B 0.1 mg/ml
注射液 Cefpirome sulfate 50 mg/ml
葡萄糖5% 280
立即沉澱 不相容
注射液 Amphotericin B 0.1 mg/ml
注射液 Ciprofloxacin lactate 2 mg/ml
葡萄糖5% 285
立即沉澱 不相容
注射液 Amphotericin B
NaCl 0,9% 3591
兼容
注射液 Amphotericin B 0.6 mg/ml
注射液 Cisatracurium besylate 0.1 mg/ml
葡萄糖5% 299
立即沉澱 不相容
注射液 Amphotericin B 0.6 mg/ml
注射液 Cisatracurium besylate 2 & 5 mg/ml
葡萄糖5% 299
立即沉澱 不相容
注射液 Amphotericin B 0.6 mg/ml
注射液 Dexmedetomidine 4 µg/ml
葡萄糖5% 1712
兼容
注射液 Amphotericin B 0.1 mg/ml
注射液 Diltiazem hydrochloride 1 mg/ml
NaCl 0,9% 198
立即渾濁 不相容
注射液 Amphotericin B 0.6 mg/ml
注射液 Docetaxel 0.9 mg/ml
葡萄糖5% 1754
立即沉澱 不相容
注射液 Amphotericin B
注射液 Dopamine hydrochloride
葡萄糖5% 3638
兼容
注射液 Amphotericin B 0,6 mg/ml
注射液 Doripenem 5 mg/ml
葡萄糖5% 2262
立即沉澱 不相容
注射液 Amphotericin B 0.6 mg/ml
注射液 Doxorubicin hydrochloride liposome peg 0.4 mg/ml
葡萄糖5% 251
立即沉澱 不相容
注射液 Amphotericin B 0.6 mg/ml
注射液 Etoposide phosphate 5 mg/ml
葡萄糖5% 1410
不相容
注射液 Amphotericin B 0.1 mg/ml
NaCl 0,9% 1172
立即沉澱 不相容
注射液 Amphotericin B 0.6 mg/ml
注射液 Doripenem 5 mg/ml
NaCl 0,9% 2262
4小時內渾濁 不相容
注射液 Amphotericin B 0.1 mg/ml
注射液 Enalaprilate 1.25 mg/ml
葡萄糖5% 201
2小時內渾濁 不相容
注射液 Amphotericin B 0.1 mg/ml
注射液 Enalaprilate 0.0125 mg/ml
葡萄糖5% 1703
兼容
注射液 Amphotericin B 0.6 mg/ml
注射液 Famotidine 2 mg/ml
NaCl 0,9% 215
立即沉澱 不相容
注射液 Amphotericin B 0.6 mg/ml
注射液 Fenoldopam mesylate 80 µg/ml
NaCl 0,9% 1803
立即沉澱 不相容
注射液 Amphotericin B 0.6 mg/ml
注射液 Filgrastim 30 µg/ml
葡萄糖5% 244
一小時渾濁 不相容
注射液 Amphotericin B 5 mg/ml
注射液 Fluconazole 2 mg/ml
NaCl 0,9% 496
兼容
注射液 Amphotericin B 0.1 mg/ml
注射液 Fluconazole 2 mg/ml
无 256
4小時後出現沉澱 不相容
注射液 Amphotericin B 0.6 mg/ml
注射液 Fludarabine phosphate 1 mg/ml
葡萄糖5% 492
未指定的不兼容性 不相容
注射液 Amphotericin B
注射液 Foscarnet sodium
3662
立即渾濁 不相容
注射液 Amphotericin B 0.6 mg/ml
注射液 Foscarnet sodium 24 mg/ml
葡萄糖5% 1135
立即沉澱 不相容
注射液 Amphotericin B 5 mg/ml
注射液 Foscarnet sodium 24 mg/ml
无 73
立即渾濁 不相容
注射液 Amphotericin B 0.1 mg/ml
注射液 Fosfomycin 30 mg/ml
葡萄糖5% 4055
立即沉澱 不相容
注射液 Amphotericin B 0.6 mg/ml
注射液 Gemcitabine hydrochloride 10 mg/ml
NaCl 0,9% 1423
立即渾濁 不相容
注射液 Amphotericin B 0.6 mg/ml
注射液 Granisetron hydrochloride 0.05 mg/ml
葡萄糖5% 182
立即沉澱 不相容
注射液 Amphotericin B 0.6 mg/ml
注射液 Hetastarch 60 mg/ml
特定溶液 1721
立即渾濁 不相容
注射液 Amphotericin B 0.1 mg/ml
注射液 Isavuconazonium sulfate 1.5 mg/ml
葡萄糖5% 3829
立即沉澱 不相容
注射液 Amphotericin B 0.6 mg/ml
注射液 Lansoprazole 0.55 mg/ml
NaCl 0,9% 1625
未指定的不兼容性 不相容
注射液 Amphotericin B
注射液 Lidocaine hydrochloride
5060
立即沉澱 不相容
注射液 Amphotericin B 0.6 mg/ml
注射液 Linezolid 2 mg/ml
无 1925
未指定的不兼容性 不相容
注射液 Amphotericin B
注射液 Linezolid
3560
2小時後出現沉澱 不相容
注射液 Amphotericin B 0,04 & 0,08 mg/ml
注射液 Magnesium sulfate 2 & 4 mg/ml
葡萄糖5% 682
立即渾濁 不相容
注射液 Amphotericin B 0.6 mg/ml
注射液 Melphalan 0.1 mg/ml
NaCl 0,9% 169
化學不穩定性 不相容
注射液 Amphotericin B 0.6 mg/ml
注射液 Melphalan 0.1 mg/ml
葡萄糖5% 169
兼容
注射液 Amphotericin B 5 mg/ml
注射液 Meropenem 1 & 50 mg/ml
NaCl 0,9% 266
兼容
注射液 Amphotericin B 0.2 mg/ml
注射液 Meropenem 1 & 20 mg/ml
NaCl 0,9% 266
未指定的不兼容性 不相容
注射液 Amphotericin B
注射液 Metaraminol
5046
未指定的不兼容性 不相容
注射液 Amphotericin B
注射液 N-acetylcysteine 200 mg/ml
无 3766
立即沉澱 不相容
注射液 Amphotericin B 0,5 mg/ml
注射液 Nalbuphine hydrochloride 0,05 >>0,33 mg/ml
NaCl 0,9% 5097
立即沉澱 不相容
注射液 Amphotericin B 0,5 mg/ml
注射液 Nalbuphine hydrochloride 0,05 >> 0,33 mg/ml
葡萄糖5% 4867
未指定的不兼容性 不相容
注射液 Amphotericin B 4 mg/ml
注射液 Naloxone hydrochloride 0.4 mg/ml
无 3408
立即渾濁 不相容
注射液 Amphotericin B 0.6 mg/ml
注射液 Ondansetron hydrochloride 1 mg/ml
葡萄糖5% 334
立即渾濁 不相容
注射液 Amphotericin B 0.1 mg/ml
注射液 Oritavancin 0.8>>2 mg/ml
葡萄糖5% 3152
立即渾濁 不相容
注射液 Amphotericin B 0.6 mg/ml
注射液 Paclitaxel 1.2 mg/ml
葡萄糖5% 248
一小時渾濁 不相容
注射液 Amphotericin B
注射液 Pantoprazole sodium
2090
立即沉澱 不相容
注射液 Amphotericin B 0.6 mg/ml
注射液 Pemetrexed disodium 20 mg/ml
NaCl 0,9% 1953
未指定的不兼容性 不相容
注射液 Amphotericin B
注射液 Penicillin G sodium
3585
兼容
注射液 Amphotericin B 0,1 mg/ml
注射液 Pentoxifyllin 5 mg/ml
葡萄糖5% 4543
兼容
注射液 Amphotericin B 1 mg/ml
注射液 Phloroglucinol 2,5 mg/ml
3791
立即沉澱 不相容
注射液 Amphotericin B 0.6 mg/ml
注射液 Piperacillin sodium / tazobactam 40/5 mg/ml
葡萄糖5% 81
立即渾濁 不相容
注射液 Amphotericin B 0,1 mg/ml
注射液 Plazomicin sulfate 24 mg/ml
NaCl 0,9% 4145
立即沉澱 不相容
注射液 Amphotericin B 0.6 mg/ml
注射液 Propofol 10 mg/ml
无 300
兼容
注射液 Amphotericin B 0.6 mg/ml
注射液 Remifentanil hydrochloride 25 µg/ml
葡萄糖5% 59
立即沉澱 不相容
注射液 Amphotericin B 0.6 mg/ml
注射液 Remifentanil hydrochloride 250 µg/ml
葡萄糖5% 59
未指定的不兼容性 不相容
注射液 Amphotericin B
注射液 Rocuronium bromide
3564
立即渾濁 不相容
注射液 Amphotericin B 50 mg/ml
注射液 Salbutamol sulfate 1 mg/ml
无 3216
兼容
注射液 Amphotericin B 0.6 mg/ml
注射液 Sargramostim 10 µg/ml
葡萄糖5% 335
立即沉澱 不相容
注射液 Amphotericin B 0.6 mg/ml
注射液 Sargramostim 10 µg/ml
NaCl 0,9% 335
立即沉澱 不相容
注射液 Amphotericin B 0,1 mg/ml
注射液 Sildenafil citrate 0,6 mg/ml
葡萄糖5% 4845
化學不穩定性 不相容
注射液 Amphotericin B 0.1 mg/ml
注射液 Sildenafil citrate 0,6 mg/ml
葡萄糖5% 4845
兼容
注射液 Amphotericin B 5 mg/ml
注射液 Tacrolimus 1000 µg/ml
注射用水 479
立即渾濁 不相容
注射液 Amphotericin B 0,1 mg/ml
注射液 Telavancin hydrochloride 7,5 mg/ml
葡萄糖5% 3254
兼容
注射液 Amphotericin B 0.6 mg/ml
注射液 Teniposide 0.1 mg/ml
葡萄糖5% 905
立即沉澱 不相容
注射液 Amphotericin B
注射液 Thiopental sodium 25 mg/ml
NaCl 0,9% 3767
兼容
注射液 Amphotericin B 0.6 mg/ml
注射液 Thiotepa 1 mg/ml
葡萄糖5% 249
未指定的不兼容性 不相容
注射液 Amphotericin B
注射液 Tigecycline
3332
8小時後出現沉澱 不相容
注射液 Amphotericin B 0.1 mg/ml
注射液 Verapamil hydrochloride 0.08 mg/ml
葡萄糖5% 1057
立即沉澱 不相容
注射液 Amphotericin B 0.1 mg/ml
注射液 Verapamil hydrochloride 0.08 mg/ml
NaCl 0,9% 1057
立即沉澱 不相容
注射液 Amphotericin B 0.6 mg/ml
注射液 Vinorelbine tartrate 1 mg/ml
葡萄糖5% 84
兼容
注射液 Amphotericin B 0.6 mg/ml
注射液 Zidovudine 4 mg/ml
葡萄糖5% 337
立即沉澱 不相容
注射液 Amphotericin B ? mg/ml
NaCl 0,9% 892
立即沉澱 不相容
注射液 Amphotericin B 0.6 mg/ml
注射液 Vinorelbine tartrate 1 mg/ml
NaCl 0,9% 84

  Mentions Légales