Poslední aktualizace :
27/04/2026
Priešgrybelinis vaistas   Amphotericin B  
Įpurškimas
Aerozolis Akių lašai Geriamas tirpalas Skystis burnai skalauti
Tirpalų stabilumas Mišinių stabilumas Stabilumą lemiantys veiksniai Suderinamumas Leidimo būdai Bibliografija pdf
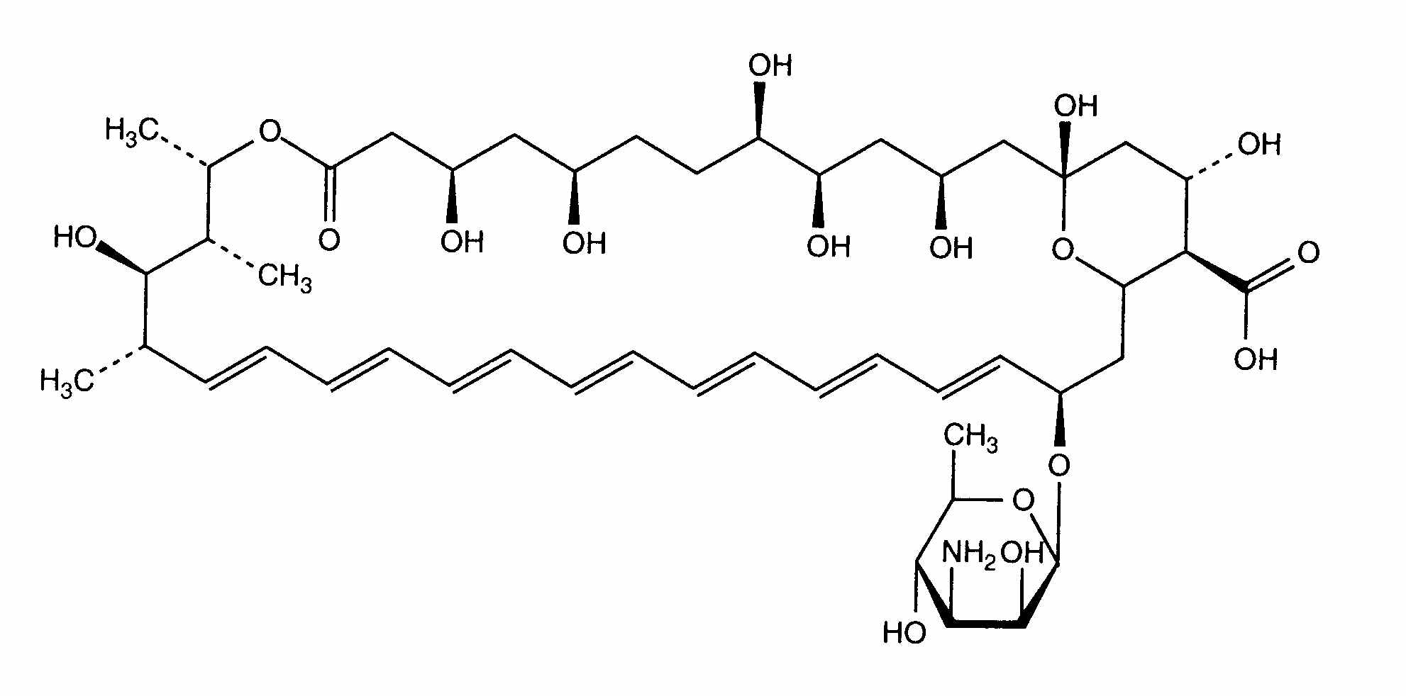
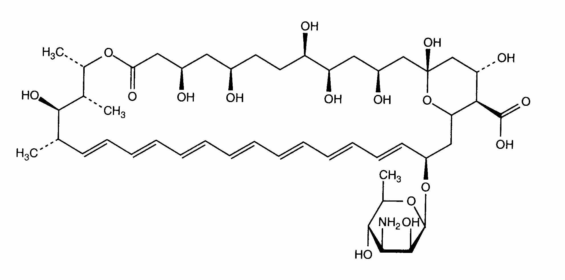
   Cheminė sandara  

Prekinis pavadinimas   Prekinis pavadinimas     

Trade names are indicative and excipients composition can be different depending on the country and manufacturers

Fungizone Airija, Danija, Didžioji Britanija, Graikija, Indija, Iranas, Italija, Jungtinės Amerikos Valstijos, Kanada, Kolumbija, Malaizija, Marokas, Naujojoje Zelandijoje, Olandija, Portugalija, Prancūzija, Suomija, Švedija, Šveicarija, Tunisas, Turkija, Venesuela, Vengrija, Vokietija
Suderinamumas   Įpurškimas   Suderinamumas : Amphotericin B              
explication_incompatibilite_molecules
Molekulė Tirpiklis Nuorodos
Suderinamas
Įpurškimas Amphotericin B 1.6 mg/ml
Įpurškimas Aldesleukin 0.0338 MUI/ml
Gliukozė 5% 36
Nedelsiant krituliai Nesuderinamas
Įpurškimas Amphotericin B 0.6 mg/ml
Įpurškimas Aztreonam 40 mg/ml
Gliukozė 5% 99
Nepatikslintas nesuderinamumas Nesuderinamas
Įpurškimas Amphotericin B
Ringerio laktato tirpalas 3968
Drumstumo praradimas Nesuderinamas
Įpurškimas Amphotericin B 0.6 mg/ml
Įpurškimas Allopurinol sodium 3 mg/ml
Natrio chloridas 0,9% 307
Tiesioginis drumstumas Nesuderinamas
Įpurškimas Amphotericin B 0.6 mg/ml
Įpurškimas Amifostine 10 mg/ml
Gliukozė 5% 3
Nepatikslintas nesuderinamumas Nesuderinamas
Įpurškimas Amphotericin B
Įpurškimas Amikacin sulfate
3549
Suderinamas
Įpurškimas Amphotericin B 0,5 mg/ml
Įpurškimas Amiodarone hydrochloride 6 mg/ml
Gliukozė 5% 1611
Tiesioginis drumstumas Nesuderinamas
Įpurškimas Amphotericin B 0,6 mg/ml
Įpurškimas Anidulafungin 0,5 mg/ml
Gliukozė 5% 1982
Nedelsiant krituliai Nesuderinamas
Įpurškimas Amphotericin B
Įpurškimas Bivalirudin
3539
Nedelsiant krituliai Nesuderinamas
Įpurškimas Amphotericin B 0.6 mg/ml
Įpurškimas Bivalirudin 5 mg/ml
Gliukozė 5% 1713
Suderinamas
Įpurškimas Amphotericin B 0.1 mg/ml
Įpurškimas Caffeine 10 mg/ml
Gliukozė 5% 4837
Suderinamas
Įpurškimas Amphotericin B 0,1 mg/ml
Įpurškimas Caffeine citrate 20 mg/ml
Gliukozė 5% 4837
Suderinamas
Įpurškimas Amphotericin B
Gliukozė 5% 3591
Drumstumo praradimas Nesuderinamas
Įpurškimas Amphotericin B 0.6 mg/ml
Įpurškimas Allopurinol sodium 3 mg/ml
Gliukozė 5% 307
Nedelsiant krituliai Nesuderinamas
Įpurškimas Amphotericin B 0.6 mg/ml
Įpurškimas Amsacrine 1 mg/ml
Gliukozė 5% 253
Nesuderinamas
Įpurškimas Amphotericin B 0.1 mg/ml
Ringerio laktato tirpalas 1172
Nepatikslintas nesuderinamumas Nesuderinamas
Įpurškimas Amphotericin B
Įpurškimas Calcium gluconate
3644
Krituliai po 1 valandos Nesuderinamas
Įpurškimas Amphotericin B
Įpurškimas Cefotaxime sodium
Natrio chloridas 0,9% 3871
Tiesioginis drumstumas Nesuderinamas
Įpurškimas Amphotericin B 0,6 mg/ml
Įpurškimas Ceftaroline fosamil 2,22 mg/ml
Ringerio laktato tirpalas 3249
Nedelsiant krituliai Nesuderinamas
Įpurškimas Amphotericin B
NaCl 0,9% + antibakterinis 3591
Nedelsiant krituliai Nesuderinamas
Įpurškimas Amphotericin B 0.6 mg/ml
Parenterinis maitinimas (lipidų nemokamai) 301
Nedelsiant krituliai Nesuderinamas
Įpurškimas Amphotericin B 1 mg/ml
Įpurškimas Cefiderocol sulfate tosylate 20 mg/mL
Natrio chloridas 0,9% 4528
Cheminis nestabilumas Nesuderinamas
Įpurškimas Amphotericin B 0.1 mg/ml
Įpurškimas Cefpirome sulfate 50 mg/ml
Natrio chloridas 0,9% 280
Tiesioginis drumstumas Nesuderinamas
Įpurškimas Amphotericin B 0,6 mg/ml
Įpurškimas Ceftaroline fosamil 2,22 mg/ml
Natrio chloridas 0,9% 3249
Nedelsiant krituliai Nesuderinamas
Įpurškimas Amphotericin B 0.6 mg/ml
Įpurškimas Ceftobiprole medocaril sodium 2 mg/ml
Natrio chloridas 0,9% 2269
Nedelsiant krituliai Nesuderinamas
Įpurškimas Amphotericin B 0.6 mg/ml
Parenteriniu būdu (su lipidų) 1415
Tiesioginis drumstumas Nesuderinamas
Įpurškimas Amphotericin B 0.1 mg/ml
Įpurškimas Cimetidine hydrochloride 0.6 mg/ml
Gliukozė 5% 1201
Nedelsiant krituliai Nesuderinamas
Įpurškimas Amphotericin B 0,6 & 1,2 mg/ml
Parenteriniu būdu (su lipidų) 2043
Skubus emulsijos nestabilumas Nesuderinamas
Įpurškimas Amphotericin B 0.01 >> 5 mg/ml
Parenteriniu būdu (su lipidų) 1498
Tiesioginis drumstumas Nesuderinamas
Įpurškimas Amphotericin B 0.1 mg/ml
Įpurškimas Ceftolozane / tazobactam 10/5 mg/ml
Gliukozė 5% 3828
Nedelsiant krituliai Nesuderinamas
Įpurškimas Amphotericin B 1.35 mg/ml
Parenteriniu būdu (su lipidų) 793
Nedelsiant krituliai Nesuderinamas
Įpurškimas Amphotericin B 0.6 mg/ml
Įpurškimas Ceftobiprole medocaril sodium 2 mg/ml
Ringerio laktato tirpalas 2269
Cheminis nestabilumas Nesuderinamas
Įpurškimas Amphotericin B 0.09 mg/ml
Parenteriniu būdu (su lipidų) 984
Nepatikslintas nesuderinamumas Nesuderinamas
Įpurškimas Amphotericin B
Įpurškimas Calcium gluconate
4964
Nedelsiant krituliai Nesuderinamas
Įpurškimas Amphotericin B 0,6 mg/ml
Įpurškimas Caspofungin acetate 0,7 mg/ml
Natrio chloridas 0,9% 2247
Tiesioginis drumstumas Nesuderinamas
Įpurškimas Amphotericin B 0,6 mg/ml
Įpurškimas Ceftaroline fosamil 2,22 mg/ml
Gliukozė 5% 3249
Suderinamas
Įpurškimas Amphotericin B
Įpurškimas Ceftazidime
3883
Nepatikslintas nesuderinamumas Nesuderinamas
Įpurškimas Amphotericin B
Įpurškimas Ceftobiprole medocaril sodium
4650
Nedelsiant krituliai Nesuderinamas
Įpurškimas Amphotericin B
Parenteriniu būdu (su lipidų) 270
Nedelsiant krituliai Nesuderinamas
Įpurškimas Amphotericin B 0.6 mg/ml
Įpurškimas Ceftobiprole medocaril sodium 2 mg/ml
Gliukozė 5% 2269
Skubus emulsijos nestabilumas Nesuderinamas
Įpurškimas Amphotericin B 0.6 mg/ml
Parenteriniu būdu (su lipidų) 265
Nedelsiant krituliai Nesuderinamas
Įpurškimas Amphotericin B 1 mg/ml
Įpurškimas Cefiderocol sulfate tosylate 20 mg/mL
Gliukozė 5% 4528
Cheminis nestabilumas Nesuderinamas
Įpurškimas Amphotericin B 0.1 mg/ml
Įpurškimas Cefpirome sulfate 50 mg/ml
Natrio chloridas 0,45% 280
Cheminis nestabilumas Nesuderinamas
Įpurškimas Amphotericin B 0.1 mg/ml
Įpurškimas Cefpirome sulfate 50 mg/ml
Ringerio laktato tirpalas 280
Cheminis nestabilumas Nesuderinamas
Įpurškimas Amphotericin B 0.1 mg/ml
Įpurškimas Cefpirome sulfate 50 mg/ml
Gliukozė 5% 280
Nedelsiant krituliai Nesuderinamas
Įpurškimas Amphotericin B 0.1 mg/ml
Įpurškimas Ciprofloxacin lactate 2 mg/ml
Gliukozė 5% 285
Nedelsiant krituliai Nesuderinamas
Įpurškimas Amphotericin B
Natrio chloridas 0,9% 3591
Suderinamas
Įpurškimas Amphotericin B 0.6 mg/ml
Įpurškimas Cisatracurium besylate 0.1 mg/ml
Gliukozė 5% 299
Nedelsiant krituliai Nesuderinamas
Įpurškimas Amphotericin B 0.6 mg/ml
Įpurškimas Cisatracurium besylate 2 & 5 mg/ml
Gliukozė 5% 299
Nedelsiant krituliai Nesuderinamas
Įpurškimas Amphotericin B 0.6 mg/ml
Įpurškimas Dexmedetomidine 4 µg/ml
Gliukozė 5% 1712
Suderinamas
Įpurškimas Amphotericin B 0.1 mg/ml
Įpurškimas Diltiazem hydrochloride 1 mg/ml
Natrio chloridas 0,9% 198
Tiesioginis drumstumas Nesuderinamas
Įpurškimas Amphotericin B 0.6 mg/ml
Įpurškimas Docetaxel 0.9 mg/ml
Gliukozė 5% 1754
Nedelsiant krituliai Nesuderinamas
Įpurškimas Amphotericin B
Įpurškimas Dopamine hydrochloride
Gliukozė 5% 3638
Suderinamas
Įpurškimas Amphotericin B 0,6 mg/ml
Įpurškimas Doripenem 5 mg/ml
Gliukozė 5% 2262
Nedelsiant krituliai Nesuderinamas
Įpurškimas Amphotericin B 0.6 mg/ml
Įpurškimas Doxorubicin hydrochloride liposome peg 0.4 mg/ml
Gliukozė 5% 251
Nedelsiant krituliai Nesuderinamas
Įpurškimas Amphotericin B 0.6 mg/ml
Įpurškimas Etoposide phosphate 5 mg/ml
Gliukozė 5% 1410
Nesuderinamas
Įpurškimas Amphotericin B 0.1 mg/ml
Natrio chloridas 0,9% 1172
Nedelsiant krituliai Nesuderinamas
Įpurškimas Amphotericin B 0.6 mg/ml
Įpurškimas Doripenem 5 mg/ml
Natrio chloridas 0,9% 2262
Troebelheid in 4 uur Nesuderinamas
Įpurškimas Amphotericin B 0.1 mg/ml
Įpurškimas Enalaprilate 1.25 mg/ml
Gliukozė 5% 201
Drumstumas per 2 valandas Nesuderinamas
Įpurškimas Amphotericin B 0.1 mg/ml
Įpurškimas Enalaprilate 0.0125 mg/ml
Gliukozė 5% 1703
Suderinamas
Įpurškimas Amphotericin B 0.6 mg/ml
Įpurškimas Famotidine 2 mg/ml
Natrio chloridas 0,9% 215
Nedelsiant krituliai Nesuderinamas
Įpurškimas Amphotericin B 0.6 mg/ml
Įpurškimas Fenoldopam mesylate 80 µg/ml
Natrio chloridas 0,9% 1803
Nedelsiant krituliai Nesuderinamas
Įpurškimas Amphotericin B 0.6 mg/ml
Įpurškimas Filgrastim 30 µg/ml
Gliukozė 5% 244
Drumstumas per valandą Nesuderinamas
Įpurškimas Amphotericin B 5 mg/ml
Įpurškimas Fluconazole 2 mg/ml
Natrio chloridas 0,9% 496
Suderinamas
Įpurškimas Amphotericin B 0.1 mg/ml
Įpurškimas Fluconazole 2 mg/ml
Nėra 256
Krituliai po 4 valandų Nesuderinamas
Įpurškimas Amphotericin B 0.6 mg/ml
Įpurškimas Fludarabine phosphate 1 mg/ml
Gliukozė 5% 492
Nepatikslintas nesuderinamumas Nesuderinamas
Įpurškimas Amphotericin B
Įpurškimas Foscarnet sodium
3662
Tiesioginis drumstumas Nesuderinamas
Įpurškimas Amphotericin B 0.6 mg/ml
Įpurškimas Foscarnet sodium 24 mg/ml
Gliukozė 5% 1135
Nedelsiant krituliai Nesuderinamas
Įpurškimas Amphotericin B 5 mg/ml
Įpurškimas Foscarnet sodium 24 mg/ml
Nėra 73
Tiesioginis drumstumas Nesuderinamas
Įpurškimas Amphotericin B 0.1 mg/ml
Įpurškimas Fosfomycin 30 mg/ml
Gliukozė 5% 4055
Nedelsiant krituliai Nesuderinamas
Įpurškimas Amphotericin B 0.6 mg/ml
Įpurškimas Gemcitabine hydrochloride 10 mg/ml
Natrio chloridas 0,9% 1423
Tiesioginis drumstumas Nesuderinamas
Įpurškimas Amphotericin B 0.6 mg/ml
Įpurškimas Granisetron hydrochloride 0.05 mg/ml
Gliukozė 5% 182
Nedelsiant krituliai Nesuderinamas
Įpurškimas Amphotericin B 0.6 mg/ml
Įpurškimas Hetastarch 60 mg/ml
specifinis tirpiklis 1721
Tiesioginis drumstumas Nesuderinamas
Įpurškimas Amphotericin B 0.1 mg/ml
Įpurškimas Isavuconazonium sulfate 1.5 mg/ml
Gliukozė 5% 3829
Nedelsiant krituliai Nesuderinamas
Įpurškimas Amphotericin B 0.6 mg/ml
Įpurškimas Lansoprazole 0.55 mg/ml
Natrio chloridas 0,9% 1625
Nepatikslintas nesuderinamumas Nesuderinamas
Įpurškimas Amphotericin B
Įpurškimas Lidocaine hydrochloride
5060
Nedelsiant krituliai Nesuderinamas
Įpurškimas Amphotericin B 0.6 mg/ml
Įpurškimas Linezolid 2 mg/ml
Nėra 1925
Nepatikslintas nesuderinamumas Nesuderinamas
Įpurškimas Amphotericin B
Įpurškimas Linezolid
3560
Krituliai po 2 valandų Nesuderinamas
Įpurškimas Amphotericin B 0,04 & 0,08 mg/ml
Įpurškimas Magnesium sulfate 2 & 4 mg/ml
Gliukozė 5% 682
Tiesioginis drumstumas Nesuderinamas
Įpurškimas Amphotericin B 0.6 mg/ml
Įpurškimas Melphalan 0.1 mg/ml
Natrio chloridas 0,9% 169
Cheminis nestabilumas Nesuderinamas
Įpurškimas Amphotericin B 0.6 mg/ml
Įpurškimas Melphalan 0.1 mg/ml
Gliukozė 5% 169
Suderinamas
Įpurškimas Amphotericin B 5 mg/ml
Įpurškimas Meropenem 1 & 50 mg/ml
Natrio chloridas 0,9% 266
Suderinamas
Įpurškimas Amphotericin B 0.2 mg/ml
Įpurškimas Meropenem 1 & 20 mg/ml
Natrio chloridas 0,9% 266
Nepatikslintas nesuderinamumas Nesuderinamas
Įpurškimas Amphotericin B
Įpurškimas Metaraminol
5046
Nepatikslintas nesuderinamumas Nesuderinamas
Įpurškimas Amphotericin B
Įpurškimas N-acetylcysteine 200 mg/ml
Nėra 3766
Nedelsiant krituliai Nesuderinamas
Įpurškimas Amphotericin B 0,5 mg/ml
Įpurškimas Nalbuphine hydrochloride 0,05 >>0,33 mg/ml
Natrio chloridas 0,9% 5097
Nedelsiant krituliai Nesuderinamas
Įpurškimas Amphotericin B 0,5 mg/ml
Įpurškimas Nalbuphine hydrochloride 0,05 >> 0,33 mg/ml
Gliukozė 5% 4867
Nepatikslintas nesuderinamumas Nesuderinamas
Įpurškimas Amphotericin B 4 mg/ml
Įpurškimas Naloxone hydrochloride 0.4 mg/ml
Nėra 3408
Tiesioginis drumstumas Nesuderinamas
Įpurškimas Amphotericin B 0.6 mg/ml
Įpurškimas Ondansetron hydrochloride 1 mg/ml
Gliukozė 5% 334
Tiesioginis drumstumas Nesuderinamas
Įpurškimas Amphotericin B 0.1 mg/ml
Įpurškimas Oritavancin 0.8>>2 mg/ml
Gliukozė 5% 3152
Tiesioginis drumstumas Nesuderinamas
Įpurškimas Amphotericin B 0.6 mg/ml
Įpurškimas Paclitaxel 1.2 mg/ml
Gliukozė 5% 248
Drumstumas per valandą Nesuderinamas
Įpurškimas Amphotericin B
Įpurškimas Pantoprazole sodium
2090
Nedelsiant krituliai Nesuderinamas
Įpurškimas Amphotericin B 0.6 mg/ml
Įpurškimas Pemetrexed disodium 20 mg/ml
Natrio chloridas 0,9% 1953
Nepatikslintas nesuderinamumas Nesuderinamas
Įpurškimas Amphotericin B
Įpurškimas Penicillin G sodium
3585
Suderinamas
Įpurškimas Amphotericin B 0,1 mg/ml
Įpurškimas Pentoxifyllin 5 mg/ml
Gliukozė 5% 4543
Suderinamas
Įpurškimas Amphotericin B 1 mg/ml
Įpurškimas Phloroglucinol 2,5 mg/ml
3791
Nedelsiant krituliai Nesuderinamas
Įpurškimas Amphotericin B 0.6 mg/ml
Įpurškimas Piperacillin sodium / tazobactam 40/5 mg/ml
Gliukozė 5% 81
Tiesioginis drumstumas Nesuderinamas
Įpurškimas Amphotericin B 0,1 mg/ml
Įpurškimas Plazomicin sulfate 24 mg/ml
Natrio chloridas 0,9% 4145
Nedelsiant krituliai Nesuderinamas
Įpurškimas Amphotericin B 0.6 mg/ml
Įpurškimas Propofol 10 mg/ml
Nėra 300
Suderinamas
Įpurškimas Amphotericin B 0.6 mg/ml
Įpurškimas Remifentanil hydrochloride 25 µg/ml
Gliukozė 5% 59
Nedelsiant krituliai Nesuderinamas
Įpurškimas Amphotericin B 0.6 mg/ml
Įpurškimas Remifentanil hydrochloride 250 µg/ml
Gliukozė 5% 59
Nepatikslintas nesuderinamumas Nesuderinamas
Įpurškimas Amphotericin B
Įpurškimas Rocuronium bromide
3564
Tiesioginis drumstumas Nesuderinamas
Įpurškimas Amphotericin B 50 mg/ml
Įpurškimas Salbutamol sulfate 1 mg/ml
Nėra 3216
Suderinamas
Įpurškimas Amphotericin B 0.6 mg/ml
Įpurškimas Sargramostim 10 µg/ml
Gliukozė 5% 335
Nedelsiant krituliai Nesuderinamas
Įpurškimas Amphotericin B 0.6 mg/ml
Įpurškimas Sargramostim 10 µg/ml
Natrio chloridas 0,9% 335
Nedelsiant krituliai Nesuderinamas
Įpurškimas Amphotericin B 0,1 mg/ml
Įpurškimas Sildenafil citrate 0,6 mg/ml
Gliukozė 5% 4845
Cheminis nestabilumas Nesuderinamas
Įpurškimas Amphotericin B 0.1 mg/ml
Įpurškimas Sildenafil citrate 0,6 mg/ml
Gliukozė 5% 4845
Suderinamas
Įpurškimas Amphotericin B 5 mg/ml
Įpurškimas Tacrolimus 1000 µg/ml
Vanduo injekcijoms 479
Tiesioginis drumstumas Nesuderinamas
Įpurškimas Amphotericin B 0,1 mg/ml
Įpurškimas Telavancin hydrochloride 7,5 mg/ml
Gliukozė 5% 3254
Suderinamas
Įpurškimas Amphotericin B 0.6 mg/ml
Įpurškimas Teniposide 0.1 mg/ml
Gliukozė 5% 905
Nedelsiant krituliai Nesuderinamas
Įpurškimas Amphotericin B
Įpurškimas Thiopental sodium 25 mg/ml
Natrio chloridas 0,9% 3767
Suderinamas
Įpurškimas Amphotericin B 0.6 mg/ml
Įpurškimas Thiotepa 1 mg/ml
Gliukozė 5% 249
Nepatikslintas nesuderinamumas Nesuderinamas
Įpurškimas Amphotericin B
Įpurškimas Tigecycline
3332
Krituliai po 8 valandų Nesuderinamas
Įpurškimas Amphotericin B 0.1 mg/ml
Įpurškimas Verapamil hydrochloride 0.08 mg/ml
Gliukozė 5% 1057
Nedelsiant krituliai Nesuderinamas
Įpurškimas Amphotericin B 0.1 mg/ml
Įpurškimas Verapamil hydrochloride 0.08 mg/ml
Natrio chloridas 0,9% 1057
Nedelsiant krituliai Nesuderinamas
Įpurškimas Amphotericin B 0.6 mg/ml
Įpurškimas Vinorelbine tartrate 1 mg/ml
Gliukozė 5% 84
Suderinamas
Įpurškimas Amphotericin B 0.6 mg/ml
Įpurškimas Zidovudine 4 mg/ml
Gliukozė 5% 337
Nedelsiant krituliai Nesuderinamas
Įpurškimas Amphotericin B ? mg/ml
Natrio chloridas 0,9% 892
Nedelsiant krituliai Nesuderinamas
Įpurškimas Amphotericin B 0.6 mg/ml
Įpurškimas Vinorelbine tartrate 1 mg/ml
Natrio chloridas 0,9% 84

  Mentions Légales