viimane versioon :
27/04/2026
Seenevastane ravim   Amphotericin B  
Süsteravim
aerosool Silmatilgad suukaudne lahus Suuloputus lahus
Stabiilsus lahustes Stabiilsust mõjutavad tegurid stabiilsust mõjutavad faktorid Sobimatus Manustamis viis Viited pdf
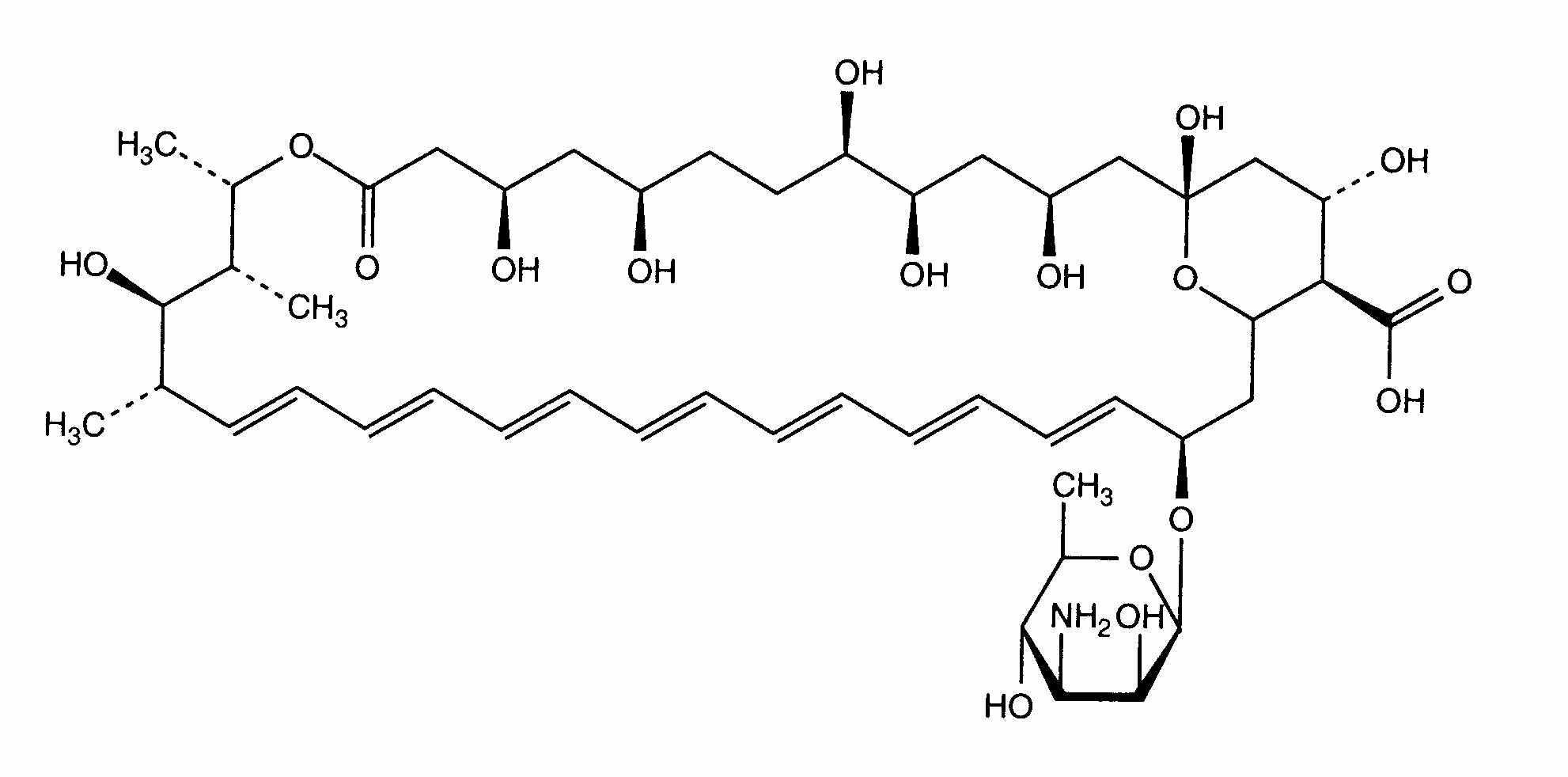
   keemiline struktuur  

Kaubanduslikud nimed erinevates maades   Kaubanduslikud nimed erinevates maades     

Preparaatide nimed on näitlikud ja abianete sisaldus võib erineda sõltuvalt riigist ja laborist

Fungizone Ameerika ühendriigid, Holland, Iirimaa, India, Iraan, Itaalia, Kanada, Kolumbia, Kreeka, Malaisia, Maroko, Portugal, Prantsusmaa, Rootsi, Saksamaa, Soome, Suurbritannia, Sveits, Taani, Tuneesia, Türgi, Ungari, uus-Meremaa, Venetsueela
Sobimatus   Süsteravim   Sobimatus : Amphotericin B              
Sellel lehel kuvatakse sobimatusi ja sobimatuse tüüpi (sadenemine, värvuse muutus, emulsiooni modifitseerumine jne). Enamasti on siin lehel kuvatud füüsikalised sobimatused, kuna molekulide keemilist stabiilsust hinnatakse harva. Hinnatud on segude sobivust Y-liinis. Antud infot ei saa kasutada ravimite sobivuse hindamiseks juhul, kui ravimid on segatud süstaldes või infusioonikottides. See info on lehel « stabiilsus segudes ».
ingredient lahusti Viited
Ühilduv
Süsteravim Amphotericin B 1.6 mg/ml
Süsteravim Aldesleukin 0.0338 MUI/ml
glükoos 5% 36
Kohene sade Sobimatu
Süsteravim Amphotericin B 0.6 mg/ml
Süsteravim Aztreonam 40 mg/ml
glükoos 5% 99
Täpsustamata sobimatus Sobimatu
Süsteravim Amphotericin B
Ringer laktaat 3968
Hägususe kaotus Sobimatu
Süsteravim Amphotericin B 0.6 mg/ml
Süsteravim Allopurinol sodium 3 mg/ml
naatriumkloriid 0.9% 307
Kohene hägusus Sobimatu
Süsteravim Amphotericin B 0.6 mg/ml
Süsteravim Amifostine 10 mg/ml
glükoos 5% 3
Täpsustamata sobimatus Sobimatu
Süsteravim Amphotericin B
Süsteravim Amikacin sulfate
3549
Ühilduv
Süsteravim Amphotericin B 0,5 mg/ml
Süsteravim Amiodarone hydrochloride 6 mg/ml
glükoos 5% 1611
Kohene hägusus Sobimatu
Süsteravim Amphotericin B 0,6 mg/ml
Süsteravim Anidulafungin 0,5 mg/ml
glükoos 5% 1982
Kohene sade Sobimatu
Süsteravim Amphotericin B
Süsteravim Bivalirudin
3539
Kohene sade Sobimatu
Süsteravim Amphotericin B 0.6 mg/ml
Süsteravim Bivalirudin 5 mg/ml
glükoos 5% 1713
Ühilduv
Süsteravim Amphotericin B 0.1 mg/ml
Süsteravim Caffeine 10 mg/ml
glükoos 5% 4837
Ühilduv
Süsteravim Amphotericin B 0,1 mg/ml
Süsteravim Caffeine citrate 20 mg/ml
glükoos 5% 4837
Ühilduv
Süsteravim Amphotericin B
glükoos 5% 3591
Hägususe kaotus Sobimatu
Süsteravim Amphotericin B 0.6 mg/ml
Süsteravim Allopurinol sodium 3 mg/ml
glükoos 5% 307
Kohene sade Sobimatu
Süsteravim Amphotericin B 0.6 mg/ml
Süsteravim Amsacrine 1 mg/ml
glükoos 5% 253
Sobimatu
Süsteravim Amphotericin B 0.1 mg/ml
Ringer laktaat 1172
Täpsustamata sobimatus Sobimatu
Süsteravim Amphotericin B
Süsteravim Calcium gluconate
3644
Sade 1 tunni pärast Sobimatu
Süsteravim Amphotericin B
Süsteravim Cefotaxime sodium
naatriumkloriid 0.9% 3871
Kohene hägusus Sobimatu
Süsteravim Amphotericin B 0,6 mg/ml
Süsteravim Ceftaroline fosamil 2,22 mg/ml
Ringer laktaat 3249
Kohene sade Sobimatu
Süsteravim Amphotericin B
NaCl 0,9%+  apürogeenne vesi 3591
Kohene sade Sobimatu
Süsteravim Amphotericin B 0.6 mg/ml
Parenteraalse toitmise (lipiide tasuta) 301
Kohene sade Sobimatu
Süsteravim Amphotericin B 1 mg/ml
Süsteravim Cefiderocol sulfate tosylate 20 mg/mL
naatriumkloriid 0.9% 4528
Keemiline ebastabiilsus Sobimatu
Süsteravim Amphotericin B 0.1 mg/ml
Süsteravim Cefpirome sulfate 50 mg/ml
naatriumkloriid 0.9% 280
Kohene hägusus Sobimatu
Süsteravim Amphotericin B 0,6 mg/ml
Süsteravim Ceftaroline fosamil 2,22 mg/ml
naatriumkloriid 0.9% 3249
Kohene sade Sobimatu
Süsteravim Amphotericin B 0.6 mg/ml
Süsteravim Ceftobiprole medocaril sodium 2 mg/ml
naatriumkloriid 0.9% 2269
Kohene sade Sobimatu
Süsteravim Amphotericin B 0.6 mg/ml
Parenteraalse toitmise (lipiidide) 1415
Kohene hägusus Sobimatu
Süsteravim Amphotericin B 0.1 mg/ml
Süsteravim Cimetidine hydrochloride 0.6 mg/ml
glükoos 5% 1201
Kohene sade Sobimatu
Süsteravim Amphotericin B 0,6 & 1,2 mg/ml
Parenteraalse toitmise (lipiidide) 2043
Emulsiooni kohene ebastabiilsus Sobimatu
Süsteravim Amphotericin B 0.01 >> 5 mg/ml
Parenteraalse toitmise (lipiidide) 1498
Kohene hägusus Sobimatu
Süsteravim Amphotericin B 0.1 mg/ml
Süsteravim Ceftolozane / tazobactam 10/5 mg/ml
glükoos 5% 3828
Kohene sade Sobimatu
Süsteravim Amphotericin B 1.35 mg/ml
Parenteraalse toitmise (lipiidide) 793
Kohene sade Sobimatu
Süsteravim Amphotericin B 0.6 mg/ml
Süsteravim Ceftobiprole medocaril sodium 2 mg/ml
Ringer laktaat 2269
Keemiline ebastabiilsus Sobimatu
Süsteravim Amphotericin B 0.09 mg/ml
Parenteraalse toitmise (lipiidide) 984
Täpsustamata sobimatus Sobimatu
Süsteravim Amphotericin B
Süsteravim Calcium gluconate
4964
Kohene sade Sobimatu
Süsteravim Amphotericin B 0,6 mg/ml
Süsteravim Caspofungin acetate 0,7 mg/ml
naatriumkloriid 0.9% 2247
Kohene hägusus Sobimatu
Süsteravim Amphotericin B 0,6 mg/ml
Süsteravim Ceftaroline fosamil 2,22 mg/ml
glükoos 5% 3249
Ühilduv
Süsteravim Amphotericin B
Süsteravim Ceftazidime
3883
Täpsustamata sobimatus Sobimatu
Süsteravim Amphotericin B
Süsteravim Ceftobiprole medocaril sodium
4650
Kohene sade Sobimatu
Süsteravim Amphotericin B
Parenteraalse toitmise (lipiidide) 270
Kohene sade Sobimatu
Süsteravim Amphotericin B 0.6 mg/ml
Süsteravim Ceftobiprole medocaril sodium 2 mg/ml
glükoos 5% 2269
Emulsiooni kohene ebastabiilsus Sobimatu
Süsteravim Amphotericin B 0.6 mg/ml
Parenteraalse toitmise (lipiidide) 265
Kohene sade Sobimatu
Süsteravim Amphotericin B 1 mg/ml
Süsteravim Cefiderocol sulfate tosylate 20 mg/mL
glükoos 5% 4528
Keemiline ebastabiilsus Sobimatu
Süsteravim Amphotericin B 0.1 mg/ml
Süsteravim Cefpirome sulfate 50 mg/ml
naatriumkloriid 0.45% 280
Keemiline ebastabiilsus Sobimatu
Süsteravim Amphotericin B 0.1 mg/ml
Süsteravim Cefpirome sulfate 50 mg/ml
Ringer laktaat 280
Keemiline ebastabiilsus Sobimatu
Süsteravim Amphotericin B 0.1 mg/ml
Süsteravim Cefpirome sulfate 50 mg/ml
glükoos 5% 280
Kohene sade Sobimatu
Süsteravim Amphotericin B 0.1 mg/ml
Süsteravim Ciprofloxacin lactate 2 mg/ml
glükoos 5% 285
Kohene sade Sobimatu
Süsteravim Amphotericin B
naatriumkloriid 0.9% 3591
Ühilduv
Süsteravim Amphotericin B 0.6 mg/ml
Süsteravim Cisatracurium besylate 0.1 mg/ml
glükoos 5% 299
Kohene sade Sobimatu
Süsteravim Amphotericin B 0.6 mg/ml
Süsteravim Cisatracurium besylate 2 & 5 mg/ml
glükoos 5% 299
Kohene sade Sobimatu
Süsteravim Amphotericin B 0.6 mg/ml
Süsteravim Dexmedetomidine 4 µg/ml
glükoos 5% 1712
Ühilduv
Süsteravim Amphotericin B 0.1 mg/ml
Süsteravim Diltiazem hydrochloride 1 mg/ml
naatriumkloriid 0.9% 198
Kohene hägusus Sobimatu
Süsteravim Amphotericin B 0.6 mg/ml
Süsteravim Docetaxel 0.9 mg/ml
glükoos 5% 1754
Kohene sade Sobimatu
Süsteravim Amphotericin B
Süsteravim Dopamine hydrochloride
glükoos 5% 3638
Ühilduv
Süsteravim Amphotericin B 0,6 mg/ml
Süsteravim Doripenem 5 mg/ml
glükoos 5% 2262
Kohene sade Sobimatu
Süsteravim Amphotericin B 0.6 mg/ml
Süsteravim Doxorubicin hydrochloride liposome peg 0.4 mg/ml
glükoos 5% 251
Kohene sade Sobimatu
Süsteravim Amphotericin B 0.6 mg/ml
Süsteravim Etoposide phosphate 5 mg/ml
glükoos 5% 1410
Sobimatu
Süsteravim Amphotericin B 0.1 mg/ml
naatriumkloriid 0.9% 1172
Kohene sade Sobimatu
Süsteravim Amphotericin B 0.6 mg/ml
Süsteravim Doripenem 5 mg/ml
naatriumkloriid 0.9% 2262
Hägusus 4 tunniga Sobimatu
Süsteravim Amphotericin B 0.1 mg/ml
Süsteravim Enalaprilate 1.25 mg/ml
glükoos 5% 201
2 tunni jooksul hägusus Sobimatu
Süsteravim Amphotericin B 0.1 mg/ml
Süsteravim Enalaprilate 0.0125 mg/ml
glükoos 5% 1703
Ühilduv
Süsteravim Amphotericin B 0.6 mg/ml
Süsteravim Famotidine 2 mg/ml
naatriumkloriid 0.9% 215
Kohene sade Sobimatu
Süsteravim Amphotericin B 0.6 mg/ml
Süsteravim Fenoldopam mesylate 80 µg/ml
naatriumkloriid 0.9% 1803
Kohene sade Sobimatu
Süsteravim Amphotericin B 0.6 mg/ml
Süsteravim Filgrastim 30 µg/ml
glükoos 5% 244
Hägusus ühe tunni jooksul Sobimatu
Süsteravim Amphotericin B 5 mg/ml
Süsteravim Fluconazole 2 mg/ml
naatriumkloriid 0.9% 496
Ühilduv
Süsteravim Amphotericin B 0.1 mg/ml
Süsteravim Fluconazole 2 mg/ml
mitte ükski 256
Sade 4 tunni pärast Sobimatu
Süsteravim Amphotericin B 0.6 mg/ml
Süsteravim Fludarabine phosphate 1 mg/ml
glükoos 5% 492
Täpsustamata sobimatus Sobimatu
Süsteravim Amphotericin B
Süsteravim Foscarnet sodium
3662
Kohene hägusus Sobimatu
Süsteravim Amphotericin B 0.6 mg/ml
Süsteravim Foscarnet sodium 24 mg/ml
glükoos 5% 1135
Kohene sade Sobimatu
Süsteravim Amphotericin B 5 mg/ml
Süsteravim Foscarnet sodium 24 mg/ml
mitte ükski 73
Kohene hägusus Sobimatu
Süsteravim Amphotericin B 0.1 mg/ml
Süsteravim Fosfomycin 30 mg/ml
glükoos 5% 4055
Kohene sade Sobimatu
Süsteravim Amphotericin B 0.6 mg/ml
Süsteravim Gemcitabine hydrochloride 10 mg/ml
naatriumkloriid 0.9% 1423
Kohene hägusus Sobimatu
Süsteravim Amphotericin B 0.6 mg/ml
Süsteravim Granisetron hydrochloride 0.05 mg/ml
glükoos 5% 182
Kohene sade Sobimatu
Süsteravim Amphotericin B 0.6 mg/ml
Süsteravim Hetastarch 60 mg/ml
konkreetsed lahusti 1721
Kohene hägusus Sobimatu
Süsteravim Amphotericin B 0.1 mg/ml
Süsteravim Isavuconazonium sulfate 1.5 mg/ml
glükoos 5% 3829
Kohene sade Sobimatu
Süsteravim Amphotericin B 0.6 mg/ml
Süsteravim Lansoprazole 0.55 mg/ml
naatriumkloriid 0.9% 1625
Täpsustamata sobimatus Sobimatu
Süsteravim Amphotericin B
Süsteravim Lidocaine hydrochloride
5060
Kohene sade Sobimatu
Süsteravim Amphotericin B 0.6 mg/ml
Süsteravim Linezolid 2 mg/ml
mitte ükski 1925
Täpsustamata sobimatus Sobimatu
Süsteravim Amphotericin B
Süsteravim Linezolid
3560
Sade 2 tunni pärast Sobimatu
Süsteravim Amphotericin B 0,04 & 0,08 mg/ml
Süsteravim Magnesium sulfate 2 & 4 mg/ml
glükoos 5% 682
Kohene hägusus Sobimatu
Süsteravim Amphotericin B 0.6 mg/ml
Süsteravim Melphalan 0.1 mg/ml
naatriumkloriid 0.9% 169
Keemiline ebastabiilsus Sobimatu
Süsteravim Amphotericin B 0.6 mg/ml
Süsteravim Melphalan 0.1 mg/ml
glükoos 5% 169
Ühilduv
Süsteravim Amphotericin B 5 mg/ml
Süsteravim Meropenem 1 & 50 mg/ml
naatriumkloriid 0.9% 266
Ühilduv
Süsteravim Amphotericin B 0.2 mg/ml
Süsteravim Meropenem 1 & 20 mg/ml
naatriumkloriid 0.9% 266
Täpsustamata sobimatus Sobimatu
Süsteravim Amphotericin B
Süsteravim Metaraminol
5046
Täpsustamata sobimatus Sobimatu
Süsteravim Amphotericin B
Süsteravim N-acetylcysteine 200 mg/ml
mitte ükski 3766
Kohene sade Sobimatu
Süsteravim Amphotericin B 0,5 mg/ml
Süsteravim Nalbuphine hydrochloride 0,05 >>0,33 mg/ml
naatriumkloriid 0.9% 5097
Kohene sade Sobimatu
Süsteravim Amphotericin B 0,5 mg/ml
Süsteravim Nalbuphine hydrochloride 0,05 >> 0,33 mg/ml
glükoos 5% 4867
Täpsustamata sobimatus Sobimatu
Süsteravim Amphotericin B 4 mg/ml
Süsteravim Naloxone hydrochloride 0.4 mg/ml
mitte ükski 3408
Kohene hägusus Sobimatu
Süsteravim Amphotericin B 0.6 mg/ml
Süsteravim Ondansetron hydrochloride 1 mg/ml
glükoos 5% 334
Kohene hägusus Sobimatu
Süsteravim Amphotericin B 0.1 mg/ml
Süsteravim Oritavancin 0.8>>2 mg/ml
glükoos 5% 3152
Kohene hägusus Sobimatu
Süsteravim Amphotericin B 0.6 mg/ml
Süsteravim Paclitaxel 1.2 mg/ml
glükoos 5% 248
Hägusus ühe tunni jooksul Sobimatu
Süsteravim Amphotericin B
Süsteravim Pantoprazole sodium
2090
Kohene sade Sobimatu
Süsteravim Amphotericin B 0.6 mg/ml
Süsteravim Pemetrexed disodium 20 mg/ml
naatriumkloriid 0.9% 1953
Täpsustamata sobimatus Sobimatu
Süsteravim Amphotericin B
Süsteravim Penicillin G sodium
3585
Ühilduv
Süsteravim Amphotericin B 0,1 mg/ml
Süsteravim Pentoxifyllin 5 mg/ml
glükoos 5% 4543
Ühilduv
Süsteravim Amphotericin B 1 mg/ml
Süsteravim Phloroglucinol 2,5 mg/ml
3791
Kohene sade Sobimatu
Süsteravim Amphotericin B 0.6 mg/ml
Süsteravim Piperacillin sodium / tazobactam 40/5 mg/ml
glükoos 5% 81
Kohene hägusus Sobimatu
Süsteravim Amphotericin B 0,1 mg/ml
Süsteravim Plazomicin sulfate 24 mg/ml
naatriumkloriid 0.9% 4145
Kohene sade Sobimatu
Süsteravim Amphotericin B 0.6 mg/ml
Süsteravim Propofol 10 mg/ml
mitte ükski 300
Ühilduv
Süsteravim Amphotericin B 0.6 mg/ml
Süsteravim Remifentanil hydrochloride 25 µg/ml
glükoos 5% 59
Kohene sade Sobimatu
Süsteravim Amphotericin B 0.6 mg/ml
Süsteravim Remifentanil hydrochloride 250 µg/ml
glükoos 5% 59
Täpsustamata sobimatus Sobimatu
Süsteravim Amphotericin B
Süsteravim Rocuronium bromide
3564
Kohene hägusus Sobimatu
Süsteravim Amphotericin B 50 mg/ml
Süsteravim Salbutamol sulfate 1 mg/ml
mitte ükski 3216
Ühilduv
Süsteravim Amphotericin B 0.6 mg/ml
Süsteravim Sargramostim 10 µg/ml
glükoos 5% 335
Kohene sade Sobimatu
Süsteravim Amphotericin B 0.6 mg/ml
Süsteravim Sargramostim 10 µg/ml
naatriumkloriid 0.9% 335
Kohene sade Sobimatu
Süsteravim Amphotericin B 0,1 mg/ml
Süsteravim Sildenafil citrate 0,6 mg/ml
glükoos 5% 4845
Keemiline ebastabiilsus Sobimatu
Süsteravim Amphotericin B 0.1 mg/ml
Süsteravim Sildenafil citrate 0,6 mg/ml
glükoos 5% 4845
Ühilduv
Süsteravim Amphotericin B 5 mg/ml
Süsteravim Tacrolimus 1000 µg/ml
süstevesi 479
Kohene hägusus Sobimatu
Süsteravim Amphotericin B 0,1 mg/ml
Süsteravim Telavancin hydrochloride 7,5 mg/ml
glükoos 5% 3254
Ühilduv
Süsteravim Amphotericin B 0.6 mg/ml
Süsteravim Teniposide 0.1 mg/ml
glükoos 5% 905
Kohene sade Sobimatu
Süsteravim Amphotericin B
Süsteravim Thiopental sodium 25 mg/ml
naatriumkloriid 0.9% 3767
Ühilduv
Süsteravim Amphotericin B 0.6 mg/ml
Süsteravim Thiotepa 1 mg/ml
glükoos 5% 249
Täpsustamata sobimatus Sobimatu
Süsteravim Amphotericin B
Süsteravim Tigecycline
3332
Sade 8 tunni pärast Sobimatu
Süsteravim Amphotericin B 0.1 mg/ml
Süsteravim Verapamil hydrochloride 0.08 mg/ml
glükoos 5% 1057
Kohene sade Sobimatu
Süsteravim Amphotericin B 0.1 mg/ml
Süsteravim Verapamil hydrochloride 0.08 mg/ml
naatriumkloriid 0.9% 1057
Kohene sade Sobimatu
Süsteravim Amphotericin B 0.6 mg/ml
Süsteravim Vinorelbine tartrate 1 mg/ml
glükoos 5% 84
Ühilduv
Süsteravim Amphotericin B 0.6 mg/ml
Süsteravim Zidovudine 4 mg/ml
glükoos 5% 337
Kohene sade Sobimatu
Süsteravim Amphotericin B ? mg/ml
naatriumkloriid 0.9% 892
Kohene sade Sobimatu
Süsteravim Amphotericin B 0.6 mg/ml
Süsteravim Vinorelbine tartrate 1 mg/ml
naatriumkloriid 0.9% 84

  Mentions Légales