Utolsó frissítés :
27/04/2026
Gombaellenes szer   Amphotericin B  
Injekció
aeroszol belsőleges oldat Szájvíz Szemcsepp
Az oldatok stabilitása A keverékek stabilitása Stabilitást befolyásoló tényezők Kompatibilitás Az alkalmazás módja Irodalom pdf
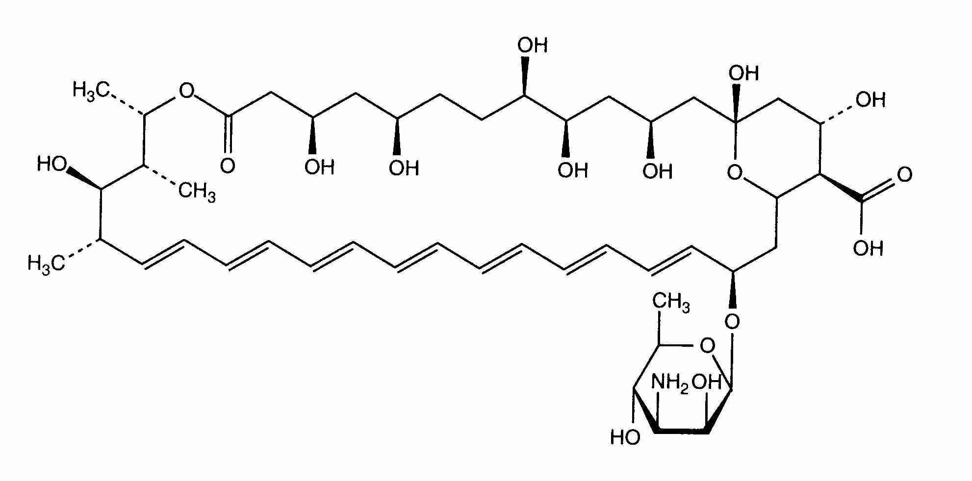
   Kémiai szerkezet   

Kereskedelmi név   Kereskedelmi név     

A kereskedelmi név meghatározó jelentőségű: a készítmények összetétele országonként, előállítóként eltérő lehet

Fungizone Amerikai Egyesült Államok, Colombia, Dánia, Finnország, Franciaország, Görögország, Hollandia, India, Irán, Írország, Kanada, Magyarország, Malaysia, Marokkó, Nagy-Britannia, Németország, Olaszország, Portugália, Svájc, Svédország, Törökország, Tunézia, új-Zéland, Venezuela
Kompatibilitás   Injekció   Kompatibilitás : Amphotericin B              
Ovdje su prikazane kompatibilnosti ili nekompatibilnosti s tipom nekompatibilnosti (taloženje, promjena boje, modifikacija emulzije itd.) u ovom slučaju. Kompatibilnosti prikazane ovdje najčešće su fizikalne dok se kemijska stabilnost molekule rijetko procjenjuje. Procjena ovih mikstura je proučavana kako bi se razmotrila mogućnost primjene lijeka putem Y-mjesta. Ovi se podaci ne smiju koristiti za pripremu mikstura unaprijed u vrećicama ili štrcaljkama. Ova vrsta informacije se može pronaći u odjeljku « stabilnost u miksturama ».
Vegyület Oldószer Irodalom
Összeegyeztethető
Injekció Amphotericin B 1.6 mg/ml
Injekció Aldesleukin 0.0338 MUI/ml
5% glükóz 36
Azonnali csapadék Összeegyeztethetetlen
Injekció Amphotericin B 0.6 mg/ml
Injekció Aztreonam 40 mg/ml
5% glükóz 99
Meghatározatlan összeférhetetlenség Összeegyeztethetetlen
Injekció Amphotericin B
Ringer-laktát oldat 3968
A zavarosság elvesztése Összeegyeztethetetlen
Injekció Amphotericin B 0.6 mg/ml
Injekció Allopurinol sodium 3 mg/ml
0,9% nátrium-klorid 307
Azonnali zavarosság Összeegyeztethetetlen
Injekció Amphotericin B 0.6 mg/ml
Injekció Amifostine 10 mg/ml
5% glükóz 3
Meghatározatlan összeférhetetlenség Összeegyeztethetetlen
Injekció Amphotericin B
Injekció Amikacin sulfate
3549
Összeegyeztethető
Injekció Amphotericin B 0,5 mg/ml
Injekció Amiodarone hydrochloride 6 mg/ml
5% glükóz 1611
Azonnali zavarosság Összeegyeztethetetlen
Injekció Amphotericin B 0,6 mg/ml
Injekció Anidulafungin 0,5 mg/ml
5% glükóz 1982
Azonnali csapadék Összeegyeztethetetlen
Injekció Amphotericin B
Injekció Bivalirudin
3539
Azonnali csapadék Összeegyeztethetetlen
Injekció Amphotericin B 0.6 mg/ml
Injekció Bivalirudin 5 mg/ml
5% glükóz 1713
Összeegyeztethető
Injekció Amphotericin B 0.1 mg/ml
Injekció Caffeine 10 mg/ml
5% glükóz 4837
Összeegyeztethető
Injekció Amphotericin B 0,1 mg/ml
Injekció Caffeine citrate 20 mg/ml
5% glükóz 4837
Összeegyeztethető
Injekció Amphotericin B
5% glükóz 3591
A zavarosság elvesztése Összeegyeztethetetlen
Injekció Amphotericin B 0.6 mg/ml
Injekció Allopurinol sodium 3 mg/ml
5% glükóz 307
Azonnali csapadék Összeegyeztethetetlen
Injekció Amphotericin B 0.6 mg/ml
Injekció Amsacrine 1 mg/ml
5% glükóz 253
Összeegyeztethetetlen
Injekció Amphotericin B 0.1 mg/ml
Ringer-laktát oldat 1172
Meghatározatlan összeférhetetlenség Összeegyeztethetetlen
Injekció Amphotericin B
Injekció Calcium gluconate
3644
Csapadék 1 óra után Összeegyeztethetetlen
Injekció Amphotericin B
Injekció Cefotaxime sodium
0,9% nátrium-klorid 3871
Azonnali zavarosság Összeegyeztethetetlen
Injekció Amphotericin B 0,6 mg/ml
Injekció Ceftaroline fosamil 2,22 mg/ml
Ringer-laktát oldat 3249
Azonnali csapadék Összeegyeztethetetlen
Injekció Amphotericin B
0,9% NaCl + antibakteriális szer 3591
Azonnali csapadék Összeegyeztethetetlen
Injekció Amphotericin B 0.6 mg/ml
Parenterális táplálás (lipid-mentes) 301
Azonnali csapadék Összeegyeztethetetlen
Injekció Amphotericin B 1 mg/ml
Injekció Cefiderocol sulfate tosylate 20 mg/mL
0,9% nátrium-klorid 4528
Kémiai instabilitás Összeegyeztethetetlen
Injekció Amphotericin B 0.1 mg/ml
Injekció Cefpirome sulfate 50 mg/ml
0,9% nátrium-klorid 280
Azonnali zavarosság Összeegyeztethetetlen
Injekció Amphotericin B 0,6 mg/ml
Injekció Ceftaroline fosamil 2,22 mg/ml
0,9% nátrium-klorid 3249
Azonnali csapadék Összeegyeztethetetlen
Injekció Amphotericin B 0.6 mg/ml
Injekció Ceftobiprole medocaril sodium 2 mg/ml
0,9% nátrium-klorid 2269
Azonnali csapadék Összeegyeztethetetlen
Injekció Amphotericin B 0.6 mg/ml
Parenterális táplálás (lipid) 1415
Azonnali zavarosság Összeegyeztethetetlen
Injekció Amphotericin B 0.1 mg/ml
Injekció Cimetidine hydrochloride 0.6 mg/ml
5% glükóz 1201
Azonnali csapadék Összeegyeztethetetlen
Injekció Amphotericin B 0,6 & 1,2 mg/ml
Parenterális táplálás (lipid) 2043
Az emulzió azonnali instabilitása Összeegyeztethetetlen
Injekció Amphotericin B 0.01 >> 5 mg/ml
Parenterális táplálás (lipid) 1498
Azonnali zavarosság Összeegyeztethetetlen
Injekció Amphotericin B 0.1 mg/ml
Injekció Ceftolozane / tazobactam 10/5 mg/ml
5% glükóz 3828
Azonnali csapadék Összeegyeztethetetlen
Injekció Amphotericin B 1.35 mg/ml
Parenterális táplálás (lipid) 793
Azonnali csapadék Összeegyeztethetetlen
Injekció Amphotericin B 0.6 mg/ml
Injekció Ceftobiprole medocaril sodium 2 mg/ml
Ringer-laktát oldat 2269
Kémiai instabilitás Összeegyeztethetetlen
Injekció Amphotericin B 0.09 mg/ml
Parenterális táplálás (lipid) 984
Meghatározatlan összeférhetetlenség Összeegyeztethetetlen
Injekció Amphotericin B
Injekció Calcium gluconate
4964
Azonnali csapadék Összeegyeztethetetlen
Injekció Amphotericin B 0,6 mg/ml
Injekció Caspofungin acetate 0,7 mg/ml
0,9% nátrium-klorid 2247
Azonnali zavarosság Összeegyeztethetetlen
Injekció Amphotericin B 0,6 mg/ml
Injekció Ceftaroline fosamil 2,22 mg/ml
5% glükóz 3249
Összeegyeztethető
Injekció Amphotericin B
Injekció Ceftazidime
3883
Meghatározatlan összeférhetetlenség Összeegyeztethetetlen
Injekció Amphotericin B
Injekció Ceftobiprole medocaril sodium
4650
Azonnali csapadék Összeegyeztethetetlen
Injekció Amphotericin B
Parenterális táplálás (lipid) 270
Azonnali csapadék Összeegyeztethetetlen
Injekció Amphotericin B 0.6 mg/ml
Injekció Ceftobiprole medocaril sodium 2 mg/ml
5% glükóz 2269
Az emulzió azonnali instabilitása Összeegyeztethetetlen
Injekció Amphotericin B 0.6 mg/ml
Parenterális táplálás (lipid) 265
Azonnali csapadék Összeegyeztethetetlen
Injekció Amphotericin B 1 mg/ml
Injekció Cefiderocol sulfate tosylate 20 mg/mL
5% glükóz 4528
Kémiai instabilitás Összeegyeztethetetlen
Injekció Amphotericin B 0.1 mg/ml
Injekció Cefpirome sulfate 50 mg/ml
0,45% nátrium-klorid 280
Kémiai instabilitás Összeegyeztethetetlen
Injekció Amphotericin B 0.1 mg/ml
Injekció Cefpirome sulfate 50 mg/ml
Ringer-laktát oldat 280
Kémiai instabilitás Összeegyeztethetetlen
Injekció Amphotericin B 0.1 mg/ml
Injekció Cefpirome sulfate 50 mg/ml
5% glükóz 280
Azonnali csapadék Összeegyeztethetetlen
Injekció Amphotericin B 0.1 mg/ml
Injekció Ciprofloxacin lactate 2 mg/ml
5% glükóz 285
Azonnali csapadék Összeegyeztethetetlen
Injekció Amphotericin B
0,9% nátrium-klorid 3591
Összeegyeztethető
Injekció Amphotericin B 0.6 mg/ml
Injekció Cisatracurium besylate 0.1 mg/ml
5% glükóz 299
Azonnali csapadék Összeegyeztethetetlen
Injekció Amphotericin B 0.6 mg/ml
Injekció Cisatracurium besylate 2 & 5 mg/ml
5% glükóz 299
Azonnali csapadék Összeegyeztethetetlen
Injekció Amphotericin B 0.6 mg/ml
Injekció Dexmedetomidine 4 µg/ml
5% glükóz 1712
Összeegyeztethető
Injekció Amphotericin B 0.1 mg/ml
Injekció Diltiazem hydrochloride 1 mg/ml
0,9% nátrium-klorid 198
Azonnali zavarosság Összeegyeztethetetlen
Injekció Amphotericin B 0.6 mg/ml
Injekció Docetaxel 0.9 mg/ml
5% glükóz 1754
Azonnali csapadék Összeegyeztethetetlen
Injekció Amphotericin B
Injekció Dopamine hydrochloride
5% glükóz 3638
Összeegyeztethető
Injekció Amphotericin B 0,6 mg/ml
Injekció Doripenem 5 mg/ml
5% glükóz 2262
Azonnali csapadék Összeegyeztethetetlen
Injekció Amphotericin B 0.6 mg/ml
Injekció Doxorubicin hydrochloride liposome peg 0.4 mg/ml
5% glükóz 251
Azonnali csapadék Összeegyeztethetetlen
Injekció Amphotericin B 0.6 mg/ml
Injekció Etoposide phosphate 5 mg/ml
5% glükóz 1410
Összeegyeztethetetlen
Injekció Amphotericin B 0.1 mg/ml
0,9% nátrium-klorid 1172
Azonnali csapadék Összeegyeztethetetlen
Injekció Amphotericin B 0.6 mg/ml
Injekció Doripenem 5 mg/ml
0,9% nátrium-klorid 2262
Zavarosság 4 óra alatt Összeegyeztethetetlen
Injekció Amphotericin B 0.1 mg/ml
Injekció Enalaprilate 1.25 mg/ml
5% glükóz 201
2 órán belüli zavarosság Összeegyeztethetetlen
Injekció Amphotericin B 0.1 mg/ml
Injekció Enalaprilate 0.0125 mg/ml
5% glükóz 1703
Összeegyeztethető
Injekció Amphotericin B 0.6 mg/ml
Injekció Famotidine 2 mg/ml
0,9% nátrium-klorid 215
Azonnali csapadék Összeegyeztethetetlen
Injekció Amphotericin B 0.6 mg/ml
Injekció Fenoldopam mesylate 80 µg/ml
0,9% nátrium-klorid 1803
Azonnali csapadék Összeegyeztethetetlen
Injekció Amphotericin B 0.6 mg/ml
Injekció Filgrastim 30 µg/ml
5% glükóz 244
Zavarosság egy órán belül Összeegyeztethetetlen
Injekció Amphotericin B 5 mg/ml
Injekció Fluconazole 2 mg/ml
0,9% nátrium-klorid 496
Összeegyeztethető
Injekció Amphotericin B 0.1 mg/ml
Injekció Fluconazole 2 mg/ml
Egy sem 256
Csapadék 4 óra után Összeegyeztethetetlen
Injekció Amphotericin B 0.6 mg/ml
Injekció Fludarabine phosphate 1 mg/ml
5% glükóz 492
Meghatározatlan összeférhetetlenség Összeegyeztethetetlen
Injekció Amphotericin B
Injekció Foscarnet sodium
3662
Azonnali zavarosság Összeegyeztethetetlen
Injekció Amphotericin B 0.6 mg/ml
Injekció Foscarnet sodium 24 mg/ml
5% glükóz 1135
Azonnali csapadék Összeegyeztethetetlen
Injekció Amphotericin B 5 mg/ml
Injekció Foscarnet sodium 24 mg/ml
Egy sem 73
Azonnali zavarosság Összeegyeztethetetlen
Injekció Amphotericin B 0.1 mg/ml
Injekció Fosfomycin 30 mg/ml
5% glükóz 4055
Azonnali csapadék Összeegyeztethetetlen
Injekció Amphotericin B 0.6 mg/ml
Injekció Gemcitabine hydrochloride 10 mg/ml
0,9% nátrium-klorid 1423
Azonnali zavarosság Összeegyeztethetetlen
Injekció Amphotericin B 0.6 mg/ml
Injekció Granisetron hydrochloride 0.05 mg/ml
5% glükóz 182
Azonnali csapadék Összeegyeztethetetlen
Injekció Amphotericin B 0.6 mg/ml
Injekció Hetastarch 60 mg/ml
egyedi oldószer 1721
Azonnali zavarosság Összeegyeztethetetlen
Injekció Amphotericin B 0.1 mg/ml
Injekció Isavuconazonium sulfate 1.5 mg/ml
5% glükóz 3829
Azonnali csapadék Összeegyeztethetetlen
Injekció Amphotericin B 0.6 mg/ml
Injekció Lansoprazole 0.55 mg/ml
0,9% nátrium-klorid 1625
Meghatározatlan összeférhetetlenség Összeegyeztethetetlen
Injekció Amphotericin B
Injekció Lidocaine hydrochloride
5060
Azonnali csapadék Összeegyeztethetetlen
Injekció Amphotericin B 0.6 mg/ml
Injekció Linezolid 2 mg/ml
Egy sem 1925
Meghatározatlan összeférhetetlenség Összeegyeztethetetlen
Injekció Amphotericin B
Injekció Linezolid
3560
Csapadék 2 óra után Összeegyeztethetetlen
Injekció Amphotericin B 0,04 & 0,08 mg/ml
Injekció Magnesium sulfate 2 & 4 mg/ml
5% glükóz 682
Azonnali zavarosság Összeegyeztethetetlen
Injekció Amphotericin B 0.6 mg/ml
Injekció Melphalan 0.1 mg/ml
0,9% nátrium-klorid 169
Kémiai instabilitás Összeegyeztethetetlen
Injekció Amphotericin B 0.6 mg/ml
Injekció Melphalan 0.1 mg/ml
5% glükóz 169
Összeegyeztethető
Injekció Amphotericin B 5 mg/ml
Injekció Meropenem 1 & 50 mg/ml
0,9% nátrium-klorid 266
Összeegyeztethető
Injekció Amphotericin B 0.2 mg/ml
Injekció Meropenem 1 & 20 mg/ml
0,9% nátrium-klorid 266
Meghatározatlan összeférhetetlenség Összeegyeztethetetlen
Injekció Amphotericin B
Injekció Metaraminol
5046
Meghatározatlan összeférhetetlenség Összeegyeztethetetlen
Injekció Amphotericin B
Injekció N-acetylcysteine 200 mg/ml
Egy sem 3766
Azonnali csapadék Összeegyeztethetetlen
Injekció Amphotericin B 0,5 mg/ml
Injekció Nalbuphine hydrochloride 0,05 >>0,33 mg/ml
0,9% nátrium-klorid 5097
Azonnali csapadék Összeegyeztethetetlen
Injekció Amphotericin B 0,5 mg/ml
Injekció Nalbuphine hydrochloride 0,05 >> 0,33 mg/ml
5% glükóz 4867
Meghatározatlan összeférhetetlenség Összeegyeztethetetlen
Injekció Amphotericin B 4 mg/ml
Injekció Naloxone hydrochloride 0.4 mg/ml
Egy sem 3408
Azonnali zavarosság Összeegyeztethetetlen
Injekció Amphotericin B 0.6 mg/ml
Injekció Ondansetron hydrochloride 1 mg/ml
5% glükóz 334
Azonnali zavarosság Összeegyeztethetetlen
Injekció Amphotericin B 0.1 mg/ml
Injekció Oritavancin 0.8>>2 mg/ml
5% glükóz 3152
Azonnali zavarosság Összeegyeztethetetlen
Injekció Amphotericin B 0.6 mg/ml
Injekció Paclitaxel 1.2 mg/ml
5% glükóz 248
Zavarosság egy órán belül Összeegyeztethetetlen
Injekció Amphotericin B
Injekció Pantoprazole sodium
2090
Azonnali csapadék Összeegyeztethetetlen
Injekció Amphotericin B 0.6 mg/ml
Injekció Pemetrexed disodium 20 mg/ml
0,9% nátrium-klorid 1953
Meghatározatlan összeférhetetlenség Összeegyeztethetetlen
Injekció Amphotericin B
Injekció Penicillin G sodium
3585
Összeegyeztethető
Injekció Amphotericin B 0,1 mg/ml
Injekció Pentoxifyllin 5 mg/ml
5% glükóz 4543
Összeegyeztethető
Injekció Amphotericin B 1 mg/ml
Injekció Phloroglucinol 2,5 mg/ml
3791
Azonnali csapadék Összeegyeztethetetlen
Injekció Amphotericin B 0.6 mg/ml
Injekció Piperacillin sodium / tazobactam 40/5 mg/ml
5% glükóz 81
Azonnali zavarosság Összeegyeztethetetlen
Injekció Amphotericin B 0,1 mg/ml
Injekció Plazomicin sulfate 24 mg/ml
0,9% nátrium-klorid 4145
Azonnali csapadék Összeegyeztethetetlen
Injekció Amphotericin B 0.6 mg/ml
Injekció Propofol 10 mg/ml
Egy sem 300
Összeegyeztethető
Injekció Amphotericin B 0.6 mg/ml
Injekció Remifentanil hydrochloride 25 µg/ml
5% glükóz 59
Azonnali csapadék Összeegyeztethetetlen
Injekció Amphotericin B 0.6 mg/ml
Injekció Remifentanil hydrochloride 250 µg/ml
5% glükóz 59
Meghatározatlan összeférhetetlenség Összeegyeztethetetlen
Injekció Amphotericin B
Injekció Rocuronium bromide
3564
Azonnali zavarosság Összeegyeztethetetlen
Injekció Amphotericin B 50 mg/ml
Injekció Salbutamol sulfate 1 mg/ml
Egy sem 3216
Összeegyeztethető
Injekció Amphotericin B 0.6 mg/ml
Injekció Sargramostim 10 µg/ml
5% glükóz 335
Azonnali csapadék Összeegyeztethetetlen
Injekció Amphotericin B 0.6 mg/ml
Injekció Sargramostim 10 µg/ml
0,9% nátrium-klorid 335
Azonnali csapadék Összeegyeztethetetlen
Injekció Amphotericin B 0,1 mg/ml
Injekció Sildenafil citrate 0,6 mg/ml
5% glükóz 4845
Kémiai instabilitás Összeegyeztethetetlen
Injekció Amphotericin B 0.1 mg/ml
Injekció Sildenafil citrate 0,6 mg/ml
5% glükóz 4845
Összeegyeztethető
Injekció Amphotericin B 5 mg/ml
Injekció Tacrolimus 1000 µg/ml
Injekcióhoz való víz 479
Azonnali zavarosság Összeegyeztethetetlen
Injekció Amphotericin B 0,1 mg/ml
Injekció Telavancin hydrochloride 7,5 mg/ml
5% glükóz 3254
Összeegyeztethető
Injekció Amphotericin B 0.6 mg/ml
Injekció Teniposide 0.1 mg/ml
5% glükóz 905
Azonnali csapadék Összeegyeztethetetlen
Injekció Amphotericin B
Injekció Thiopental sodium 25 mg/ml
0,9% nátrium-klorid 3767
Összeegyeztethető
Injekció Amphotericin B 0.6 mg/ml
Injekció Thiotepa 1 mg/ml
5% glükóz 249
Meghatározatlan összeférhetetlenség Összeegyeztethetetlen
Injekció Amphotericin B
Injekció Tigecycline
3332
Csapadék 8 óra után Összeegyeztethetetlen
Injekció Amphotericin B 0.1 mg/ml
Injekció Verapamil hydrochloride 0.08 mg/ml
5% glükóz 1057
Azonnali csapadék Összeegyeztethetetlen
Injekció Amphotericin B 0.1 mg/ml
Injekció Verapamil hydrochloride 0.08 mg/ml
0,9% nátrium-klorid 1057
Azonnali csapadék Összeegyeztethetetlen
Injekció Amphotericin B 0.6 mg/ml
Injekció Vinorelbine tartrate 1 mg/ml
5% glükóz 84
Összeegyeztethető
Injekció Amphotericin B 0.6 mg/ml
Injekció Zidovudine 4 mg/ml
5% glükóz 337
Azonnali csapadék Összeegyeztethetetlen
Injekció Amphotericin B ? mg/ml
0,9% nátrium-klorid 892
Azonnali csapadék Összeegyeztethetetlen
Injekció Amphotericin B 0.6 mg/ml
Injekció Vinorelbine tartrate 1 mg/ml
0,9% nátrium-klorid 84

  Mentions Légales