Zadnji put ažurirano :
27/04/2026
antifungicid   Amphotericin B  
injekcija
aerosol kapi za oko oralna otopina  otopina za ispiranje usne šupljine
Stabilizacija rješenja Stabilnost mješavine Stabilizacijski faktor Kompatibilnosti način davanja lijeka Bibliografija pdf
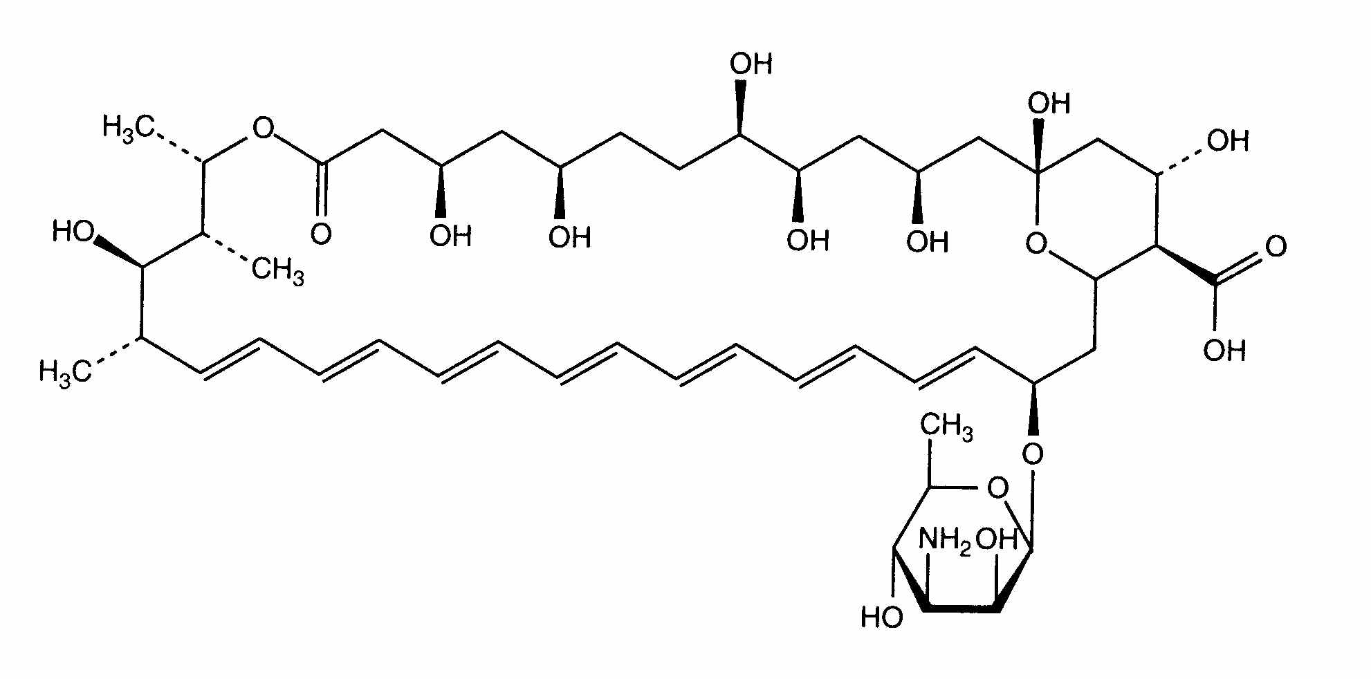
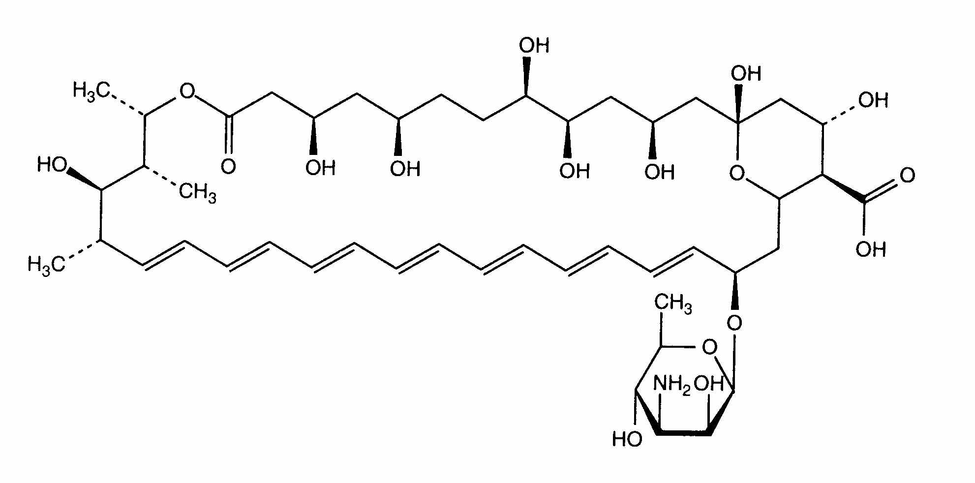
   Kemijska struktura  

Nekomercijalni   Nekomercijalni     

Zaštićeni nazivi su indikativni i sastav ekscipijensa može biti različit ovisno o državi i laboratorijima

Fungizone Indija, Danska, Finska, Francuska, Grčka, Iran, Irska, Italija, Kanada, Kolumbija, Madžarska, Malezija, Maroko, Nizozemska, Njemačka, novi Zeland, Portugal, S A D, Švedska, Švicarska, Tunis, Turska, Velika Britanija, Venecuela
Kompatibilnosti   injekcija   Kompatibilnosti : Amphotericin B              
Ovdje su prikazane kompatibilnosti ili nekompatibilnosti s tipom nekompatibilnosti (taloženje, promjena boje, modifikacija emulzije itd.) u ovom slučaju. Kompatibilnosti prikazane ovdje najčešće su fizikalne dok se kemijska stabilnost molekule rijetko procjenjuje. Procjena ovih mikstura je proučavana kako bi se razmotrila mogućnost primjene lijeka putem Y-mjesta. Ovi se podaci ne smiju koristiti za pripremu mikstura unaprijed u vrećicama ili štrcaljkama. Ova vrsta informacije se može pronaći u odjeljku « stabilnost u miksturama ».
molekula sredstvo za rastapanje Bibliografija
Kompatibilan
injekcija Amphotericin B 1.6 mg/ml
injekcija Aldesleukin 0.0338 MUI/ml
glukoza 5% 36
Neposredne oborine inkompatibilan
injekcija Amphotericin B 0.6 mg/ml
injekcija Aztreonam 40 mg/ml
glukoza 5% 99
Neodređena nespojivost inkompatibilan
injekcija Amphotericin B
Ringer laktat 3968
Gubitak zamućenosti inkompatibilan
injekcija Amphotericin B 0.6 mg/ml
injekcija Allopurinol sodium 3 mg/ml
natrijumkorid 0,9% 307
Neposredna zamućenost inkompatibilan
injekcija Amphotericin B 0.6 mg/ml
injekcija Amifostine 10 mg/ml
glukoza 5% 3
Neodređena nespojivost inkompatibilan
injekcija Amphotericin B
injekcija Amikacin sulfate
3549
Kompatibilan
injekcija Amphotericin B 0,5 mg/ml
injekcija Amiodarone hydrochloride 6 mg/ml
glukoza 5% 1611
Neposredna zamućenost inkompatibilan
injekcija Amphotericin B 0,6 mg/ml
injekcija Anidulafungin 0,5 mg/ml
glukoza 5% 1982
Neposredne oborine inkompatibilan
injekcija Amphotericin B
injekcija Bivalirudin
3539
Neposredne oborine inkompatibilan
injekcija Amphotericin B 0.6 mg/ml
injekcija Bivalirudin 5 mg/ml
glukoza 5% 1713
Kompatibilan
injekcija Amphotericin B 0.1 mg/ml
injekcija Caffeine 10 mg/ml
glukoza 5% 4837
Kompatibilan
injekcija Amphotericin B 0,1 mg/ml
injekcija Caffeine citrate 20 mg/ml
glukoza 5% 4837
Kompatibilan
injekcija Amphotericin B
glukoza 5% 3591
Gubitak zamućenosti inkompatibilan
injekcija Amphotericin B 0.6 mg/ml
injekcija Allopurinol sodium 3 mg/ml
glukoza 5% 307
Neposredne oborine inkompatibilan
injekcija Amphotericin B 0.6 mg/ml
injekcija Amsacrine 1 mg/ml
glukoza 5% 253
inkompatibilan
injekcija Amphotericin B 0.1 mg/ml
Ringer laktat 1172
Neodređena nespojivost inkompatibilan
injekcija Amphotericin B
injekcija Calcium gluconate
3644
Padavine nakon 1 sata inkompatibilan
injekcija Amphotericin B
injekcija Cefotaxime sodium
natrijumkorid 0,9% 3871
Neposredna zamućenost inkompatibilan
injekcija Amphotericin B 0,6 mg/ml
injekcija Ceftaroline fosamil 2,22 mg/ml
Ringer laktat 3249
Neposredne oborine inkompatibilan
injekcija Amphotericin B
NaCL 0,9% + bakteriostatična 3591
Neposredne oborine inkompatibilan
injekcija Amphotericin B 0.6 mg/ml
Parenteralna prehrana (bezlipidna) 301
Neposredne oborine inkompatibilan
injekcija Amphotericin B 1 mg/ml
injekcija Cefiderocol sulfate tosylate 20 mg/mL
natrijumkorid 0,9% 4528
Kemijska nestabilnost inkompatibilan
injekcija Amphotericin B 0.1 mg/ml
injekcija Cefpirome sulfate 50 mg/ml
natrijumkorid 0,9% 280
Neposredna zamućenost inkompatibilan
injekcija Amphotericin B 0,6 mg/ml
injekcija Ceftaroline fosamil 2,22 mg/ml
natrijumkorid 0,9% 3249
Neposredne oborine inkompatibilan
injekcija Amphotericin B 0.6 mg/ml
injekcija Ceftobiprole medocaril sodium 2 mg/ml
natrijumkorid 0,9% 2269
Neposredne oborine inkompatibilan
injekcija Amphotericin B 0.6 mg/ml
Parenteralna prehrana (lipidima) 1415
Neposredna zamućenost inkompatibilan
injekcija Amphotericin B 0.1 mg/ml
injekcija Cimetidine hydrochloride 0.6 mg/ml
glukoza 5% 1201
Neposredne oborine inkompatibilan
injekcija Amphotericin B 0,6 & 1,2 mg/ml
Parenteralna prehrana (lipidima) 2043
Neposredna nestabilnost emulzije inkompatibilan
injekcija Amphotericin B 0.01 >> 5 mg/ml
Parenteralna prehrana (lipidima) 1498
Neposredna zamućenost inkompatibilan
injekcija Amphotericin B 0.1 mg/ml
injekcija Ceftolozane / tazobactam 10/5 mg/ml
glukoza 5% 3828
Neposredne oborine inkompatibilan
injekcija Amphotericin B 1.35 mg/ml
Parenteralna prehrana (lipidima) 793
Neposredne oborine inkompatibilan
injekcija Amphotericin B 0.6 mg/ml
injekcija Ceftobiprole medocaril sodium 2 mg/ml
Ringer laktat 2269
Kemijska nestabilnost inkompatibilan
injekcija Amphotericin B 0.09 mg/ml
Parenteralna prehrana (lipidima) 984
Neodređena nespojivost inkompatibilan
injekcija Amphotericin B
injekcija Calcium gluconate
4964
Neposredne oborine inkompatibilan
injekcija Amphotericin B 0,6 mg/ml
injekcija Caspofungin acetate 0,7 mg/ml
natrijumkorid 0,9% 2247
Neposredna zamućenost inkompatibilan
injekcija Amphotericin B 0,6 mg/ml
injekcija Ceftaroline fosamil 2,22 mg/ml
glukoza 5% 3249
Kompatibilan
injekcija Amphotericin B
injekcija Ceftazidime
3883
Neodređena nespojivost inkompatibilan
injekcija Amphotericin B
injekcija Ceftobiprole medocaril sodium
4650
Neposredne oborine inkompatibilan
injekcija Amphotericin B
Parenteralna prehrana (lipidima) 270
Neposredne oborine inkompatibilan
injekcija Amphotericin B 0.6 mg/ml
injekcija Ceftobiprole medocaril sodium 2 mg/ml
glukoza 5% 2269
Neposredna nestabilnost emulzije inkompatibilan
injekcija Amphotericin B 0.6 mg/ml
Parenteralna prehrana (lipidima) 265
Neposredne oborine inkompatibilan
injekcija Amphotericin B 1 mg/ml
injekcija Cefiderocol sulfate tosylate 20 mg/mL
glukoza 5% 4528
Kemijska nestabilnost inkompatibilan
injekcija Amphotericin B 0.1 mg/ml
injekcija Cefpirome sulfate 50 mg/ml
natrijumklorid 0,45% 280
Kemijska nestabilnost inkompatibilan
injekcija Amphotericin B 0.1 mg/ml
injekcija Cefpirome sulfate 50 mg/ml
Ringer laktat 280
Kemijska nestabilnost inkompatibilan
injekcija Amphotericin B 0.1 mg/ml
injekcija Cefpirome sulfate 50 mg/ml
glukoza 5% 280
Neposredne oborine inkompatibilan
injekcija Amphotericin B 0.1 mg/ml
injekcija Ciprofloxacin lactate 2 mg/ml
glukoza 5% 285
Neposredne oborine inkompatibilan
injekcija Amphotericin B
natrijumkorid 0,9% 3591
Kompatibilan
injekcija Amphotericin B 0.6 mg/ml
injekcija Cisatracurium besylate 0.1 mg/ml
glukoza 5% 299
Neposredne oborine inkompatibilan
injekcija Amphotericin B 0.6 mg/ml
injekcija Cisatracurium besylate 2 & 5 mg/ml
glukoza 5% 299
Neposredne oborine inkompatibilan
injekcija Amphotericin B 0.6 mg/ml
injekcija Dexmedetomidine 4 µg/ml
glukoza 5% 1712
Kompatibilan
injekcija Amphotericin B 0.1 mg/ml
injekcija Diltiazem hydrochloride 1 mg/ml
natrijumkorid 0,9% 198
Neposredna zamućenost inkompatibilan
injekcija Amphotericin B 0.6 mg/ml
injekcija Docetaxel 0.9 mg/ml
glukoza 5% 1754
Neposredne oborine inkompatibilan
injekcija Amphotericin B
injekcija Dopamine hydrochloride
glukoza 5% 3638
Kompatibilan
injekcija Amphotericin B 0,6 mg/ml
injekcija Doripenem 5 mg/ml
glukoza 5% 2262
Neposredne oborine inkompatibilan
injekcija Amphotericin B 0.6 mg/ml
injekcija Doxorubicin hydrochloride liposome peg 0.4 mg/ml
glukoza 5% 251
Neposredne oborine inkompatibilan
injekcija Amphotericin B 0.6 mg/ml
injekcija Etoposide phosphate 5 mg/ml
glukoza 5% 1410
inkompatibilan
injekcija Amphotericin B 0.1 mg/ml
natrijumkorid 0,9% 1172
Neposredne oborine inkompatibilan
injekcija Amphotericin B 0.6 mg/ml
injekcija Doripenem 5 mg/ml
natrijumkorid 0,9% 2262
Zamućenost u 4 sata inkompatibilan
injekcija Amphotericin B 0.1 mg/ml
injekcija Enalaprilate 1.25 mg/ml
glukoza 5% 201
Zamućenost za 2 sata inkompatibilan
injekcija Amphotericin B 0.1 mg/ml
injekcija Enalaprilate 0.0125 mg/ml
glukoza 5% 1703
Kompatibilan
injekcija Amphotericin B 0.6 mg/ml
injekcija Famotidine 2 mg/ml
natrijumkorid 0,9% 215
Neposredne oborine inkompatibilan
injekcija Amphotericin B 0.6 mg/ml
injekcija Fenoldopam mesylate 80 µg/ml
natrijumkorid 0,9% 1803
Neposredne oborine inkompatibilan
injekcija Amphotericin B 0.6 mg/ml
injekcija Filgrastim 30 µg/ml
glukoza 5% 244
Zamućenost u jednom satu inkompatibilan
injekcija Amphotericin B 5 mg/ml
injekcija Fluconazole 2 mg/ml
natrijumkorid 0,9% 496
Kompatibilan
injekcija Amphotericin B 0.1 mg/ml
injekcija Fluconazole 2 mg/ml
nijedan 256
Padavine nakon 4 sata inkompatibilan
injekcija Amphotericin B 0.6 mg/ml
injekcija Fludarabine phosphate 1 mg/ml
glukoza 5% 492
Neodređena nespojivost inkompatibilan
injekcija Amphotericin B
injekcija Foscarnet sodium
3662
Neposredna zamućenost inkompatibilan
injekcija Amphotericin B 0.6 mg/ml
injekcija Foscarnet sodium 24 mg/ml
glukoza 5% 1135
Neposredne oborine inkompatibilan
injekcija Amphotericin B 5 mg/ml
injekcija Foscarnet sodium 24 mg/ml
nijedan 73
Neposredna zamućenost inkompatibilan
injekcija Amphotericin B 0.1 mg/ml
injekcija Fosfomycin 30 mg/ml
glukoza 5% 4055
Neposredne oborine inkompatibilan
injekcija Amphotericin B 0.6 mg/ml
injekcija Gemcitabine hydrochloride 10 mg/ml
natrijumkorid 0,9% 1423
Neposredna zamućenost inkompatibilan
injekcija Amphotericin B 0.6 mg/ml
injekcija Granisetron hydrochloride 0.05 mg/ml
glukoza 5% 182
Neposredne oborine inkompatibilan
injekcija Amphotericin B 0.6 mg/ml
injekcija Hetastarch 60 mg/ml
Specifična otapala 1721
Neposredna zamućenost inkompatibilan
injekcija Amphotericin B 0.1 mg/ml
injekcija Isavuconazonium sulfate 1.5 mg/ml
glukoza 5% 3829
Neposredne oborine inkompatibilan
injekcija Amphotericin B 0.6 mg/ml
injekcija Lansoprazole 0.55 mg/ml
natrijumkorid 0,9% 1625
Neodređena nespojivost inkompatibilan
injekcija Amphotericin B
injekcija Lidocaine hydrochloride
5060
Neposredne oborine inkompatibilan
injekcija Amphotericin B 0.6 mg/ml
injekcija Linezolid 2 mg/ml
nijedan 1925
Neodređena nespojivost inkompatibilan
injekcija Amphotericin B
injekcija Linezolid
3560
Padavine nakon 2 sata inkompatibilan
injekcija Amphotericin B 0,04 & 0,08 mg/ml
injekcija Magnesium sulfate 2 & 4 mg/ml
glukoza 5% 682
Neposredna zamućenost inkompatibilan
injekcija Amphotericin B 0.6 mg/ml
injekcija Melphalan 0.1 mg/ml
natrijumkorid 0,9% 169
Kemijska nestabilnost inkompatibilan
injekcija Amphotericin B 0.6 mg/ml
injekcija Melphalan 0.1 mg/ml
glukoza 5% 169
Kompatibilan
injekcija Amphotericin B 5 mg/ml
injekcija Meropenem 1 & 50 mg/ml
natrijumkorid 0,9% 266
Kompatibilan
injekcija Amphotericin B 0.2 mg/ml
injekcija Meropenem 1 & 20 mg/ml
natrijumkorid 0,9% 266
Neodređena nespojivost inkompatibilan
injekcija Amphotericin B
injekcija Metaraminol
5046
Neodređena nespojivost inkompatibilan
injekcija Amphotericin B
injekcija N-acetylcysteine 200 mg/ml
nijedan 3766
Neposredne oborine inkompatibilan
injekcija Amphotericin B 0,5 mg/ml
injekcija Nalbuphine hydrochloride 0,05 >>0,33 mg/ml
natrijumkorid 0,9% 5097
Neposredne oborine inkompatibilan
injekcija Amphotericin B 0,5 mg/ml
injekcija Nalbuphine hydrochloride 0,05 >> 0,33 mg/ml
glukoza 5% 4867
Neodređena nespojivost inkompatibilan
injekcija Amphotericin B 4 mg/ml
injekcija Naloxone hydrochloride 0.4 mg/ml
nijedan 3408
Neposredna zamućenost inkompatibilan
injekcija Amphotericin B 0.6 mg/ml
injekcija Ondansetron hydrochloride 1 mg/ml
glukoza 5% 334
Neposredna zamućenost inkompatibilan
injekcija Amphotericin B 0.1 mg/ml
injekcija Oritavancin 0.8>>2 mg/ml
glukoza 5% 3152
Neposredna zamućenost inkompatibilan
injekcija Amphotericin B 0.6 mg/ml
injekcija Paclitaxel 1.2 mg/ml
glukoza 5% 248
Zamućenost u jednom satu inkompatibilan
injekcija Amphotericin B
injekcija Pantoprazole sodium
2090
Neposredne oborine inkompatibilan
injekcija Amphotericin B 0.6 mg/ml
injekcija Pemetrexed disodium 20 mg/ml
natrijumkorid 0,9% 1953
Neodređena nespojivost inkompatibilan
injekcija Amphotericin B
injekcija Penicillin G sodium
3585
Kompatibilan
injekcija Amphotericin B 0,1 mg/ml
injekcija Pentoxifyllin 5 mg/ml
glukoza 5% 4543
Kompatibilan
injekcija Amphotericin B 1 mg/ml
injekcija Phloroglucinol 2,5 mg/ml
3791
Neposredne oborine inkompatibilan
injekcija Amphotericin B 0.6 mg/ml
injekcija Piperacillin sodium / tazobactam 40/5 mg/ml
glukoza 5% 81
Neposredna zamućenost inkompatibilan
injekcija Amphotericin B 0,1 mg/ml
injekcija Plazomicin sulfate 24 mg/ml
natrijumkorid 0,9% 4145
Neposredne oborine inkompatibilan
injekcija Amphotericin B 0.6 mg/ml
injekcija Propofol 10 mg/ml
nijedan 300
Kompatibilan
injekcija Amphotericin B 0.6 mg/ml
injekcija Remifentanil hydrochloride 25 µg/ml
glukoza 5% 59
Neposredne oborine inkompatibilan
injekcija Amphotericin B 0.6 mg/ml
injekcija Remifentanil hydrochloride 250 µg/ml
glukoza 5% 59
Neodređena nespojivost inkompatibilan
injekcija Amphotericin B
injekcija Rocuronium bromide
3564
Neposredna zamućenost inkompatibilan
injekcija Amphotericin B 50 mg/ml
injekcija Salbutamol sulfate 1 mg/ml
nijedan 3216
Kompatibilan
injekcija Amphotericin B 0.6 mg/ml
injekcija Sargramostim 10 µg/ml
glukoza 5% 335
Neposredne oborine inkompatibilan
injekcija Amphotericin B 0.6 mg/ml
injekcija Sargramostim 10 µg/ml
natrijumkorid 0,9% 335
Neposredne oborine inkompatibilan
injekcija Amphotericin B 0,1 mg/ml
injekcija Sildenafil citrate 0,6 mg/ml
glukoza 5% 4845
Kemijska nestabilnost inkompatibilan
injekcija Amphotericin B 0.1 mg/ml
injekcija Sildenafil citrate 0,6 mg/ml
glukoza 5% 4845
Kompatibilan
injekcija Amphotericin B 5 mg/ml
injekcija Tacrolimus 1000 µg/ml
čista voda za injektiranje 479
Neposredna zamućenost inkompatibilan
injekcija Amphotericin B 0,1 mg/ml
injekcija Telavancin hydrochloride 7,5 mg/ml
glukoza 5% 3254
Kompatibilan
injekcija Amphotericin B 0.6 mg/ml
injekcija Teniposide 0.1 mg/ml
glukoza 5% 905
Neposredne oborine inkompatibilan
injekcija Amphotericin B
injekcija Thiopental sodium 25 mg/ml
natrijumkorid 0,9% 3767
Kompatibilan
injekcija Amphotericin B 0.6 mg/ml
injekcija Thiotepa 1 mg/ml
glukoza 5% 249
Neodređena nespojivost inkompatibilan
injekcija Amphotericin B
injekcija Tigecycline
3332
Padavine nakon 8 sata inkompatibilan
injekcija Amphotericin B 0.1 mg/ml
injekcija Verapamil hydrochloride 0.08 mg/ml
glukoza 5% 1057
Neposredne oborine inkompatibilan
injekcija Amphotericin B 0.1 mg/ml
injekcija Verapamil hydrochloride 0.08 mg/ml
natrijumkorid 0,9% 1057
Neposredne oborine inkompatibilan
injekcija Amphotericin B 0.6 mg/ml
injekcija Vinorelbine tartrate 1 mg/ml
glukoza 5% 84
Kompatibilan
injekcija Amphotericin B 0.6 mg/ml
injekcija Zidovudine 4 mg/ml
glukoza 5% 337
Neposredne oborine inkompatibilan
injekcija Amphotericin B ? mg/ml
natrijumkorid 0,9% 892
Neposredne oborine inkompatibilan
injekcija Amphotericin B 0.6 mg/ml
injekcija Vinorelbine tartrate 1 mg/ml
natrijumkorid 0,9% 84

  Mentions Légales