Siste oppdatering :
27/04/2026
Fungicid   Amphotericin B  
Injeksjon
Aerosol Mikstur Munnvann Øyedråper
Oppløsningsstabilitet Stabilitet i blandinger Faktorer som påvirker stabiliteten Kompatibilitet Administrasjonsmåte Referanser pdf
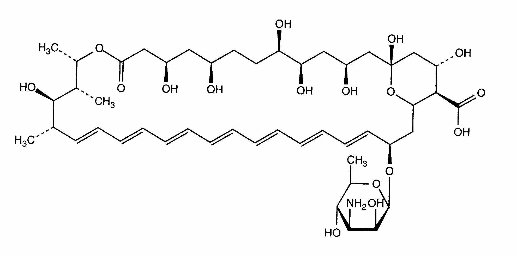
   Kjemisk struktur  

Handelsnavn   Handelsnavn     

Handelsnavn er veiledende og sammensetning av hjelpestoffer kan være forskjellig avhengig av land og produsent

Fungizone Canada, Colombia, Danmark, Finland, Frankrike, Hellas, India, Iran, Irland, Italia, Malaysia, Marokko, Nederland, New Zealand, Portugal, Storbritannia, Sveits, Sverige, Tunisia, Tyrkia, Tyskland, Ungarn, USA, Venezuela
Kompatibilitet   Injeksjon   Kompatibilitet : Amphotericin B              
Dette skjermbildet viser kompatibilitet eller inkompatibilitet med, i dette tilfellet, typen inkompatibilitet (nedbør, fargeendring, modifisering av en emulsjon, etc.). Kompatibilitetene som er vist her, er for det meste bare fysiske, og den kjemiske stabiliteten til hvert molekyl blir sjelden vurdert. Evalueringen av disse blandingene ble studert for å vurdere muligheten for Y-stedadministrasjon til pasienten. Disse dataene kan ikke brukes til å lage blandinger på forhånd i poser eller sprøyter. Denne typen informasjon er tilgjengelig på skjermen "Stabilitet i blanding".
Legemiddel Oppløsningsmiddel Referanser
Kompatibel
Injeksjon Amphotericin B 1.6 mg/ml
Injeksjon Aldesleukin 0.0338 MUI/ml
Glukose 5 % 36
Umiddelbar nedbør Uforenlig
Injeksjon Amphotericin B 0.6 mg/ml
Injeksjon Aztreonam 40 mg/ml
Glukose 5 % 99
Uspesifisert inkompatibilitet Uforenlig
Injeksjon Amphotericin B
Ringers laktatoppløsning 3968
Tap av turbiditet Uforenlig
Injeksjon Amphotericin B 0.6 mg/ml
Injeksjon Allopurinol sodium 3 mg/ml
Natriumklorid 0,9 % 307
Umiddelbar turbiditet Uforenlig
Injeksjon Amphotericin B 0.6 mg/ml
Injeksjon Amifostine 10 mg/ml
Glukose 5 % 3
Uspesifisert inkompatibilitet Uforenlig
Injeksjon Amphotericin B
Injeksjon Amikacin sulfate
3549
Kompatibel
Injeksjon Amphotericin B 0,5 mg/ml
Injeksjon Amiodarone hydrochloride 6 mg/ml
Glukose 5 % 1611
Umiddelbar turbiditet Uforenlig
Injeksjon Amphotericin B 0,6 mg/ml
Injeksjon Anidulafungin 0,5 mg/ml
Glukose 5 % 1982
Umiddelbar nedbør Uforenlig
Injeksjon Amphotericin B
Injeksjon Bivalirudin
3539
Umiddelbar nedbør Uforenlig
Injeksjon Amphotericin B 0.6 mg/ml
Injeksjon Bivalirudin 5 mg/ml
Glukose 5 % 1713
Kompatibel
Injeksjon Amphotericin B 0.1 mg/ml
Injeksjon Caffeine 10 mg/ml
Glukose 5 % 4837
Kompatibel
Injeksjon Amphotericin B 0,1 mg/ml
Injeksjon Caffeine citrate 20 mg/ml
Glukose 5 % 4837
Kompatibel
Injeksjon Amphotericin B
Glukose 5 % 3591
Tap av turbiditet Uforenlig
Injeksjon Amphotericin B 0.6 mg/ml
Injeksjon Allopurinol sodium 3 mg/ml
Glukose 5 % 307
Umiddelbar nedbør Uforenlig
Injeksjon Amphotericin B 0.6 mg/ml
Injeksjon Amsacrine 1 mg/ml
Glukose 5 % 253
Uforenlig
Injeksjon Amphotericin B 0.1 mg/ml
Ringers laktatoppløsning 1172
Uspesifisert inkompatibilitet Uforenlig
Injeksjon Amphotericin B
Injeksjon Calcium gluconate
3644
Nedbør etter 1 time Uforenlig
Injeksjon Amphotericin B
Injeksjon Cefotaxime sodium
Natriumklorid 0,9 % 3871
Umiddelbar turbiditet Uforenlig
Injeksjon Amphotericin B 0,6 mg/ml
Injeksjon Ceftaroline fosamil 2,22 mg/ml
Ringers laktatoppløsning 3249
Umiddelbar nedbør Uforenlig
Injeksjon Amphotericin B
NaCl 0,9% + antibakterielt middel 3591
Umiddelbar nedbør Uforenlig
Injeksjon Amphotericin B 0.6 mg/ml
Parenteral ernæring(lipid-free) 301
Umiddelbar nedbør Uforenlig
Injeksjon Amphotericin B 1 mg/ml
Injeksjon Cefiderocol sulfate tosylate 20 mg/mL
Natriumklorid 0,9 % 4528
Kjemisk ustabilitet Uforenlig
Injeksjon Amphotericin B 0.1 mg/ml
Injeksjon Cefpirome sulfate 50 mg/ml
Natriumklorid 0,9 % 280
Umiddelbar turbiditet Uforenlig
Injeksjon Amphotericin B 0,6 mg/ml
Injeksjon Ceftaroline fosamil 2,22 mg/ml
Natriumklorid 0,9 % 3249
Umiddelbar nedbør Uforenlig
Injeksjon Amphotericin B 0.6 mg/ml
Injeksjon Ceftobiprole medocaril sodium 2 mg/ml
Natriumklorid 0,9 % 2269
Umiddelbar nedbør Uforenlig
Injeksjon Amphotericin B 0.6 mg/ml
Parenteral ernæring (med lipider) 1415
Umiddelbar turbiditet Uforenlig
Injeksjon Amphotericin B 0.1 mg/ml
Injeksjon Cimetidine hydrochloride 0.6 mg/ml
Glukose 5 % 1201
Umiddelbar nedbør Uforenlig
Injeksjon Amphotericin B 0,6 & 1,2 mg/ml
Parenteral ernæring (med lipider) 2043
Umiddelbar ustabilitet av emulsjonen Uforenlig
Injeksjon Amphotericin B 0.01 >> 5 mg/ml
Parenteral ernæring (med lipider) 1498
Umiddelbar turbiditet Uforenlig
Injeksjon Amphotericin B 0.1 mg/ml
Injeksjon Ceftolozane / tazobactam 10/5 mg/ml
Glukose 5 % 3828
Umiddelbar nedbør Uforenlig
Injeksjon Amphotericin B 1.35 mg/ml
Parenteral ernæring (med lipider) 793
Umiddelbar nedbør Uforenlig
Injeksjon Amphotericin B 0.6 mg/ml
Injeksjon Ceftobiprole medocaril sodium 2 mg/ml
Ringers laktatoppløsning 2269
Kjemisk ustabilitet Uforenlig
Injeksjon Amphotericin B 0.09 mg/ml
Parenteral ernæring (med lipider) 984
Uspesifisert inkompatibilitet Uforenlig
Injeksjon Amphotericin B
Injeksjon Calcium gluconate
4964
Umiddelbar nedbør Uforenlig
Injeksjon Amphotericin B 0,6 mg/ml
Injeksjon Caspofungin acetate 0,7 mg/ml
Natriumklorid 0,9 % 2247
Umiddelbar turbiditet Uforenlig
Injeksjon Amphotericin B 0,6 mg/ml
Injeksjon Ceftaroline fosamil 2,22 mg/ml
Glukose 5 % 3249
Kompatibel
Injeksjon Amphotericin B
Injeksjon Ceftazidime
3883
Uspesifisert inkompatibilitet Uforenlig
Injeksjon Amphotericin B
Injeksjon Ceftobiprole medocaril sodium
4650
Umiddelbar nedbør Uforenlig
Injeksjon Amphotericin B
Parenteral ernæring (med lipider) 270
Umiddelbar nedbør Uforenlig
Injeksjon Amphotericin B 0.6 mg/ml
Injeksjon Ceftobiprole medocaril sodium 2 mg/ml
Glukose 5 % 2269
Umiddelbar ustabilitet av emulsjonen Uforenlig
Injeksjon Amphotericin B 0.6 mg/ml
Parenteral ernæring (med lipider) 265
Umiddelbar nedbør Uforenlig
Injeksjon Amphotericin B 1 mg/ml
Injeksjon Cefiderocol sulfate tosylate 20 mg/mL
Glukose 5 % 4528
Kjemisk ustabilitet Uforenlig
Injeksjon Amphotericin B 0.1 mg/ml
Injeksjon Cefpirome sulfate 50 mg/ml
Natriumklorid 0,45 % 280
Kjemisk ustabilitet Uforenlig
Injeksjon Amphotericin B 0.1 mg/ml
Injeksjon Cefpirome sulfate 50 mg/ml
Ringers laktatoppløsning 280
Kjemisk ustabilitet Uforenlig
Injeksjon Amphotericin B 0.1 mg/ml
Injeksjon Cefpirome sulfate 50 mg/ml
Glukose 5 % 280
Umiddelbar nedbør Uforenlig
Injeksjon Amphotericin B 0.1 mg/ml
Injeksjon Ciprofloxacin lactate 2 mg/ml
Glukose 5 % 285
Umiddelbar nedbør Uforenlig
Injeksjon Amphotericin B
Natriumklorid 0,9 % 3591
Kompatibel
Injeksjon Amphotericin B 0.6 mg/ml
Injeksjon Cisatracurium besylate 0.1 mg/ml
Glukose 5 % 299
Umiddelbar nedbør Uforenlig
Injeksjon Amphotericin B 0.6 mg/ml
Injeksjon Cisatracurium besylate 2 & 5 mg/ml
Glukose 5 % 299
Umiddelbar nedbør Uforenlig
Injeksjon Amphotericin B 0.6 mg/ml
Injeksjon Dexmedetomidine 4 µg/ml
Glukose 5 % 1712
Kompatibel
Injeksjon Amphotericin B 0.1 mg/ml
Injeksjon Diltiazem hydrochloride 1 mg/ml
Natriumklorid 0,9 % 198
Umiddelbar turbiditet Uforenlig
Injeksjon Amphotericin B 0.6 mg/ml
Injeksjon Docetaxel 0.9 mg/ml
Glukose 5 % 1754
Umiddelbar nedbør Uforenlig
Injeksjon Amphotericin B
Injeksjon Dopamine hydrochloride
Glukose 5 % 3638
Kompatibel
Injeksjon Amphotericin B 0,6 mg/ml
Injeksjon Doripenem 5 mg/ml
Glukose 5 % 2262
Umiddelbar nedbør Uforenlig
Injeksjon Amphotericin B 0.6 mg/ml
Injeksjon Doxorubicin hydrochloride liposome peg 0.4 mg/ml
Glukose 5 % 251
Umiddelbar nedbør Uforenlig
Injeksjon Amphotericin B 0.6 mg/ml
Injeksjon Etoposide phosphate 5 mg/ml
Glukose 5 % 1410
Uforenlig
Injeksjon Amphotericin B 0.1 mg/ml
Natriumklorid 0,9 % 1172
Umiddelbar nedbør Uforenlig
Injeksjon Amphotericin B 0.6 mg/ml
Injeksjon Doripenem 5 mg/ml
Natriumklorid 0,9 % 2262
Turbiditet på 4 timer Uforenlig
Injeksjon Amphotericin B 0.1 mg/ml
Injeksjon Enalaprilate 1.25 mg/ml
Glukose 5 % 201
Grumhet på 2 timer Uforenlig
Injeksjon Amphotericin B 0.1 mg/ml
Injeksjon Enalaprilate 0.0125 mg/ml
Glukose 5 % 1703
Kompatibel
Injeksjon Amphotericin B 0.6 mg/ml
Injeksjon Famotidine 2 mg/ml
Natriumklorid 0,9 % 215
Umiddelbar nedbør Uforenlig
Injeksjon Amphotericin B 0.6 mg/ml
Injeksjon Fenoldopam mesylate 80 µg/ml
Natriumklorid 0,9 % 1803
Umiddelbar nedbør Uforenlig
Injeksjon Amphotericin B 0.6 mg/ml
Injeksjon Filgrastim 30 µg/ml
Glukose 5 % 244
Turbiditet på en time Uforenlig
Injeksjon Amphotericin B 5 mg/ml
Injeksjon Fluconazole 2 mg/ml
Natriumklorid 0,9 % 496
Kompatibel
Injeksjon Amphotericin B 0.1 mg/ml
Injeksjon Fluconazole 2 mg/ml
Ingen 256
Nedbør etter 4 timer Uforenlig
Injeksjon Amphotericin B 0.6 mg/ml
Injeksjon Fludarabine phosphate 1 mg/ml
Glukose 5 % 492
Uspesifisert inkompatibilitet Uforenlig
Injeksjon Amphotericin B
Injeksjon Foscarnet sodium
3662
Umiddelbar turbiditet Uforenlig
Injeksjon Amphotericin B 0.6 mg/ml
Injeksjon Foscarnet sodium 24 mg/ml
Glukose 5 % 1135
Umiddelbar nedbør Uforenlig
Injeksjon Amphotericin B 5 mg/ml
Injeksjon Foscarnet sodium 24 mg/ml
Ingen 73
Umiddelbar turbiditet Uforenlig
Injeksjon Amphotericin B 0.1 mg/ml
Injeksjon Fosfomycin 30 mg/ml
Glukose 5 % 4055
Umiddelbar nedbør Uforenlig
Injeksjon Amphotericin B 0.6 mg/ml
Injeksjon Gemcitabine hydrochloride 10 mg/ml
Natriumklorid 0,9 % 1423
Umiddelbar turbiditet Uforenlig
Injeksjon Amphotericin B 0.6 mg/ml
Injeksjon Granisetron hydrochloride 0.05 mg/ml
Glukose 5 % 182
Umiddelbar nedbør Uforenlig
Injeksjon Amphotericin B 0.6 mg/ml
Injeksjon Hetastarch 60 mg/ml
spesifikk løsemiddel 1721
Umiddelbar turbiditet Uforenlig
Injeksjon Amphotericin B 0.1 mg/ml
Injeksjon Isavuconazonium sulfate 1.5 mg/ml
Glukose 5 % 3829
Umiddelbar nedbør Uforenlig
Injeksjon Amphotericin B 0.6 mg/ml
Injeksjon Lansoprazole 0.55 mg/ml
Natriumklorid 0,9 % 1625
Uspesifisert inkompatibilitet Uforenlig
Injeksjon Amphotericin B
Injeksjon Lidocaine hydrochloride
5060
Umiddelbar nedbør Uforenlig
Injeksjon Amphotericin B 0.6 mg/ml
Injeksjon Linezolid 2 mg/ml
Ingen 1925
Uspesifisert inkompatibilitet Uforenlig
Injeksjon Amphotericin B
Injeksjon Linezolid
3560
Nedbør etter 2 timer Uforenlig
Injeksjon Amphotericin B 0,04 & 0,08 mg/ml
Injeksjon Magnesium sulfate 2 & 4 mg/ml
Glukose 5 % 682
Umiddelbar turbiditet Uforenlig
Injeksjon Amphotericin B 0.6 mg/ml
Injeksjon Melphalan 0.1 mg/ml
Natriumklorid 0,9 % 169
Kjemisk ustabilitet Uforenlig
Injeksjon Amphotericin B 0.6 mg/ml
Injeksjon Melphalan 0.1 mg/ml
Glukose 5 % 169
Kompatibel
Injeksjon Amphotericin B 5 mg/ml
Injeksjon Meropenem 1 & 50 mg/ml
Natriumklorid 0,9 % 266
Kompatibel
Injeksjon Amphotericin B 0.2 mg/ml
Injeksjon Meropenem 1 & 20 mg/ml
Natriumklorid 0,9 % 266
Uspesifisert inkompatibilitet Uforenlig
Injeksjon Amphotericin B
Injeksjon Metaraminol
5046
Uspesifisert inkompatibilitet Uforenlig
Injeksjon Amphotericin B
Injeksjon N-acetylcysteine 200 mg/ml
Ingen 3766
Umiddelbar nedbør Uforenlig
Injeksjon Amphotericin B 0,5 mg/ml
Injeksjon Nalbuphine hydrochloride 0,05 >>0,33 mg/ml
Natriumklorid 0,9 % 5097
Umiddelbar nedbør Uforenlig
Injeksjon Amphotericin B 0,5 mg/ml
Injeksjon Nalbuphine hydrochloride 0,05 >> 0,33 mg/ml
Glukose 5 % 4867
Uspesifisert inkompatibilitet Uforenlig
Injeksjon Amphotericin B 4 mg/ml
Injeksjon Naloxone hydrochloride 0.4 mg/ml
Ingen 3408
Umiddelbar turbiditet Uforenlig
Injeksjon Amphotericin B 0.6 mg/ml
Injeksjon Ondansetron hydrochloride 1 mg/ml
Glukose 5 % 334
Umiddelbar turbiditet Uforenlig
Injeksjon Amphotericin B 0.1 mg/ml
Injeksjon Oritavancin 0.8>>2 mg/ml
Glukose 5 % 3152
Umiddelbar turbiditet Uforenlig
Injeksjon Amphotericin B 0.6 mg/ml
Injeksjon Paclitaxel 1.2 mg/ml
Glukose 5 % 248
Turbiditet på en time Uforenlig
Injeksjon Amphotericin B
Injeksjon Pantoprazole sodium
2090
Umiddelbar nedbør Uforenlig
Injeksjon Amphotericin B 0.6 mg/ml
Injeksjon Pemetrexed disodium 20 mg/ml
Natriumklorid 0,9 % 1953
Uspesifisert inkompatibilitet Uforenlig
Injeksjon Amphotericin B
Injeksjon Penicillin G sodium
3585
Kompatibel
Injeksjon Amphotericin B 0,1 mg/ml
Injeksjon Pentoxifyllin 5 mg/ml
Glukose 5 % 4543
Kompatibel
Injeksjon Amphotericin B 1 mg/ml
Injeksjon Phloroglucinol 2,5 mg/ml
3791
Umiddelbar nedbør Uforenlig
Injeksjon Amphotericin B 0.6 mg/ml
Injeksjon Piperacillin sodium / tazobactam 40/5 mg/ml
Glukose 5 % 81
Umiddelbar turbiditet Uforenlig
Injeksjon Amphotericin B 0,1 mg/ml
Injeksjon Plazomicin sulfate 24 mg/ml
Natriumklorid 0,9 % 4145
Umiddelbar nedbør Uforenlig
Injeksjon Amphotericin B 0.6 mg/ml
Injeksjon Propofol 10 mg/ml
Ingen 300
Kompatibel
Injeksjon Amphotericin B 0.6 mg/ml
Injeksjon Remifentanil hydrochloride 25 µg/ml
Glukose 5 % 59
Umiddelbar nedbør Uforenlig
Injeksjon Amphotericin B 0.6 mg/ml
Injeksjon Remifentanil hydrochloride 250 µg/ml
Glukose 5 % 59
Uspesifisert inkompatibilitet Uforenlig
Injeksjon Amphotericin B
Injeksjon Rocuronium bromide
3564
Umiddelbar turbiditet Uforenlig
Injeksjon Amphotericin B 50 mg/ml
Injeksjon Salbutamol sulfate 1 mg/ml
Ingen 3216
Kompatibel
Injeksjon Amphotericin B 0.6 mg/ml
Injeksjon Sargramostim 10 µg/ml
Glukose 5 % 335
Umiddelbar nedbør Uforenlig
Injeksjon Amphotericin B 0.6 mg/ml
Injeksjon Sargramostim 10 µg/ml
Natriumklorid 0,9 % 335
Umiddelbar nedbør Uforenlig
Injeksjon Amphotericin B 0,1 mg/ml
Injeksjon Sildenafil citrate 0,6 mg/ml
Glukose 5 % 4845
Kjemisk ustabilitet Uforenlig
Injeksjon Amphotericin B 0.1 mg/ml
Injeksjon Sildenafil citrate 0,6 mg/ml
Glukose 5 % 4845
Kompatibel
Injeksjon Amphotericin B 5 mg/ml
Injeksjon Tacrolimus 1000 µg/ml
Vann til injeksjon 479
Umiddelbar turbiditet Uforenlig
Injeksjon Amphotericin B 0,1 mg/ml
Injeksjon Telavancin hydrochloride 7,5 mg/ml
Glukose 5 % 3254
Kompatibel
Injeksjon Amphotericin B 0.6 mg/ml
Injeksjon Teniposide 0.1 mg/ml
Glukose 5 % 905
Umiddelbar nedbør Uforenlig
Injeksjon Amphotericin B
Injeksjon Thiopental sodium 25 mg/ml
Natriumklorid 0,9 % 3767
Kompatibel
Injeksjon Amphotericin B 0.6 mg/ml
Injeksjon Thiotepa 1 mg/ml
Glukose 5 % 249
Uspesifisert inkompatibilitet Uforenlig
Injeksjon Amphotericin B
Injeksjon Tigecycline
3332
Nedbør etter 8 timer Uforenlig
Injeksjon Amphotericin B 0.1 mg/ml
Injeksjon Verapamil hydrochloride 0.08 mg/ml
Glukose 5 % 1057
Umiddelbar nedbør Uforenlig
Injeksjon Amphotericin B 0.1 mg/ml
Injeksjon Verapamil hydrochloride 0.08 mg/ml
Natriumklorid 0,9 % 1057
Umiddelbar nedbør Uforenlig
Injeksjon Amphotericin B 0.6 mg/ml
Injeksjon Vinorelbine tartrate 1 mg/ml
Glukose 5 % 84
Kompatibel
Injeksjon Amphotericin B 0.6 mg/ml
Injeksjon Zidovudine 4 mg/ml
Glukose 5 % 337
Umiddelbar nedbør Uforenlig
Injeksjon Amphotericin B ? mg/ml
Natriumklorid 0,9 % 892
Umiddelbar nedbør Uforenlig
Injeksjon Amphotericin B 0.6 mg/ml
Injeksjon Vinorelbine tartrate 1 mg/ml
Natriumklorid 0,9 % 84

  Mentions Légales