Última actualización :
27/01/2026
Antálgico   Hydromorphone hydrochloride  
Inyectables
Estabilidad en solucion Estabilidad en mezcla Factores que influyen sobre la estabilidad Compatibilidades método de inyección Bibliografía pdf
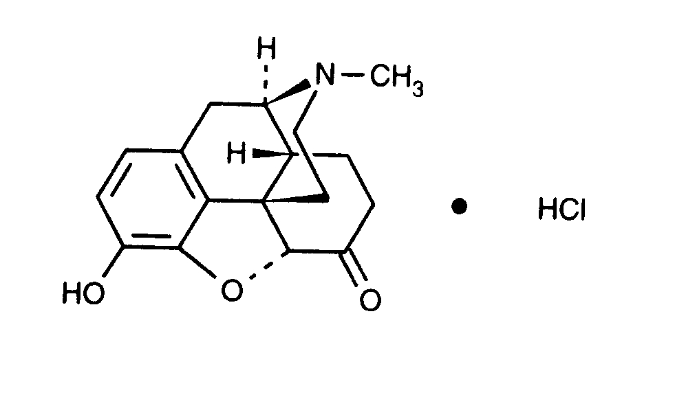
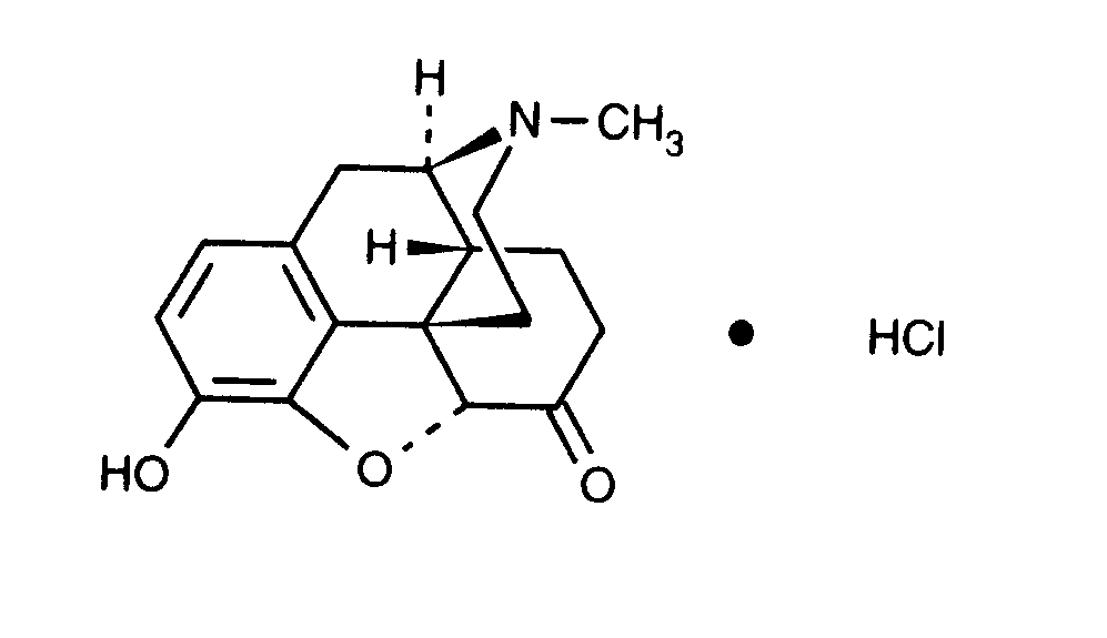
   Estructura química  

Nombre comercial   Nombre comercial     

Los nombres comerciales son orientativos y los excipientes de la formulación pueden ser distintos dependiendo del país y del laboratorio fabricante.

Dilaudid Canadá, Estados Unidos de América
Hydal Austria
Palladon Dinamarca, Suiza
Palladone Gran Bretaña
Compatibilidades   Inyectables   Compatibilidades : Hydromorphone hydrochloride              
Esta pantalla muestra las compatibilidades o incompatibilidades, así como el tipo de incompatibilidad (precipitación, cambio de color, modificación de una emulsión, etc). Las compatibilidades que se recogen aquí son fundamentalmente físicas, mostrando raramente la estabilidad química de la molécula. La evaluación de estas mezclas se estudió con el fin de de comprobar la posibilidad de administración en Y al paciente. Estos datos no pueden utilizarse en el caso de la preparación de mezclas dentro de bolsas o jeringas. Este tipo de información está disponible en la pantalla “Estabilidad en mezcla”.
Molécula Solvente Bibliografía
Compatible
Inyectables Hydromorphone hydrochloride 0.04 mg/ml
Inyectables Aciclovir sodium 5 mg/ml
Glucosa 5% 336
Compatible
Inyectables Hydromorphone hydrochloride 0.5 mg/ml
Inyectables Allopurinol sodium 3 mg/ml
Cloruro de sodio 0,9% 307
Compatible
Inyectables Hydromorphone hydrochloride 0.5 mg/ml
Inyectables Amifostine 10 mg/ml
Glucosa 5% 3
Compatible
Inyectables Hydromorphone hydrochloride 0.2 mg/ml
Inyectables Amikacin sulfate 5 mg/ml
Glucosa 5% 405
Compatible
Inyectables Hydromorphone hydrochloride 10 mg/ml
Inyectables Amoxicillin sodium / clavulanic acid 100/10 mg/ml
3824
Compatible
Inyectables Hydromorphone hydrochloride 2 >> 40 mg/ml
Inyectables Ampicillin sodium 20 & 250 mg/ml
Glucosa 5% 226
Compatible
Inyectables Hydromorphone hydrochloride 0.5 mg/ml
Inyectables Amsacrine 1 mg/ml
Glucosa 5% 253
Compatible
Inyectables Hydromorphone hydrochloride 0.5 mg/ml
Inyectables Anidulafungin 0.5 mg/ml
Glucosa 5% 1982
Compatible
Inyectables Hydromorphone hydrochloride 0.5 mg/ml
Inyectables Aztreonam 40 mg/ml
Glucosa 5% 99
Compatible
Inyectables Hydromorphone hydrochloride 0.5 mg/ml
Inyectables Bivalirudin 5 mg/ml
Glucosa 5% 1713
Inestabilidad inmediata de la emulsión Incompatible
Inyectables Hydromorphone hydrochloride 0.5 mg/ml
Nutrición parenteral (con lípidos) 1415
Compatible
Inyectables Hydromorphone hydrochloride 10 mg/ml
Ringer lactato 4603
Pérdida de turbidez Incompatible
Inyectables Hydromorphone hydrochloride 0.5 mg/ml
Inyectables Amphotericin B cholesteryl sulfate complex 0.83 mg/ml
Glucosa 5% 921
Compatible
Inyectables Hydromorphone hydrochloride 0.2 mg/ml
Inyectables Ampicillin sodium 20 mg/ml
Glucosa 5% 405
Compatible
Inyectables Hydromorphone hydrochloride 0.5 mg/ml
Inyectables Atropine sulfate 0.4 mg/ml
Glucosa 5% 1974
Compatible
Inyectables Hydromorphone hydrochloride 0,02 & 0,1 mg/ml
Inyectables Bupivacaine hydrochloride 0,625 & 1,25 mg/ml
Cloruro de sodio 0,9% 306
Compatible
Inyectables Hydromorphone hydrochloride
Glucosa 5% 5073
Compatible
Inyectables Hydromorphone hydrochloride 0,02 & 0,04 mg/ml
Inyectables Bupivacaine hydrochloride 2,5 mg/ml
Cloruro de sodio 0,9% 1931
Compatible
Inyectables Hydromorphone hydrochloride 15 mg/ml
Inyectables Bupivacaine hydrochloride 10 mg/ml
Ninguno 4200
Compatible
Inyectables Hydromorphone hydrochloride 2,5 mg/ml
Nutrición parenteral (con lípidos) 4507
Compatible
Inyectables Hydromorphone hydrochloride 25 mg/ml
Inyectables Bupivacaine hydrochloride 20 mg/ml
Cloruro de sodio 0,9% 3131
Compatible
Inyectables Hydromorphone hydrochloride 65 mg/ml
Inyectables Bupivacaine hydrochloride 7,5 mg/ml
Ninguno 221
Compatible
Inyectables Hydromorphone hydrochloride 50 mg/ml
Inyectables Caffeine 10 mg/ml
Ninguno 3964
Compatible
Inyectables Hydromorphone hydrochloride 1 mg/ml
Inyectables Caspofungin acetate 0,7 mg/ml
Cloruro de sodio 0,9% 2247
Compatible
Inyectables Hydromorphone hydrochloride 1 mg/ml
Inyectables Caspofungin acetate 0.5 mg/ml
Cloruro de sodio 0,9% 2233
Compatible
Inyectables Hydromorphone hydrochloride 0.2 mg/ml
Inyectables Cefalotin sodium 20 mg/ml
Glucosa 5% 405
Compatible
Inyectables Hydromorphone hydrochloride 0.2 mg/ml
Inyectables Cefamandole nafate 20 mg/ml
Glucosa 5% 405
Compatible
Inyectables Hydromorphone hydrochloride 0.2 mg/ml
Inyectables Cefazolin sodium 20 mg/ml
Glucosa 5% 405
Compatible
Inyectables Hydromorphone hydrochloride 2 >> 40 mg/ml
Inyectables Cefazolin sodium 20 mg/ml
Glucosa 5% 226
Precipitación inmediata Incompatible
Inyectables Hydromorphone hydrochloride 2 >> 40 mg/ml
Inyectables Cefazolin sodium >200 mg/ml
Glucosa 5% 226
Compatible
Inyectables Hydromorphone hydrochloride 1 mg/ml
Inyectables Cefiderocol sulfate tosylate 20 mg/mL
Cloruro de sodio 0,9% 4528
Compatible
Inyectables Hydromorphone hydrochloride 1 mg/ml
Inyectables Cefiderocol sulfate tosylate 20 mg/mL
Glucosa 5% 4528
Compatible
Inyectables Hydromorphone hydrochloride 0.2 mg/ml
Inyectables Cefmetazole sodium 100 mg/ml
Agua para preparación inyectable 93
Compatible
Inyectables Hydromorphone hydrochloride 0.2 mg/ml
Inyectables Cefoperazone sodium 20 mg/ml
Glucosa 5% 405
Compatible
Inyectables Hydromorphone hydrochloride 0.2 mg/ml
Inyectables Ceforanide 20 mg/ml
Glucosa 5% 405
Compatible
Inyectables Hydromorphone hydrochloride 0.2 mg/ml
Inyectables Cefotaxime sodium 20 mg/ml
Glucosa 5% 405
Compatible
Inyectables Hydromorphone hydrochloride 0.2 mg/ml
Inyectables Cefoxitin sodium 20 mg/ml
Glucosa 5% 405
Compatible
Inyectables Hydromorphone hydrochloride 0,5 mg/ml
Inyectables Ceftaroline fosamil 2,22 mg/ml
Ringer lactato 3249
Compatible
Inyectables Hydromorphone hydrochloride 0,5 mg/ml
Inyectables Ceftaroline fosamil 2,22 mg/ml
Glucosa 5% 3249
Compatible
Inyectables Hydromorphone hydrochloride 0,5 mg/ml
Inyectables Ceftaroline fosamil 2,22 mg/ml
Cloruro de sodio 0,9% 3249
Compatible
Inyectables Hydromorphone hydrochloride 2 >> 40 mg/ml
Inyectables Ceftazidime 40 & 180 mg/ml
Glucosa 5% 226
Compatible
Inyectables Hydromorphone hydrochloride 0.2 mg/ml
Inyectables Ceftizoxime sodium 20 mg/ml
Glucosa 5% 405
Precipitación inmediata Incompatible
Inyectables Hydromorphone hydrochloride 1 mg/ml
Inyectables Ceftobiprole medocaril sodium 2 mg/ml
Cloruro de sodio 0,9% 2269
Precipitación inmediata Incompatible
Inyectables Hydromorphone hydrochloride 1 mg/ml
Inyectables Ceftobiprole medocaril sodium 2 mg/ml
Ringer lactato 2269
Incompatibilidad no especificada Incompatible
Inyectables Hydromorphone hydrochloride
Inyectables Ceftobiprole medocaril sodium
4650
Precipitación inmediata Incompatible
Inyectables Hydromorphone hydrochloride 1 mg/ml
Inyectables Ceftobiprole medocaril sodium 2 mg/ml
Glucosa 5% 2269
Compatible
Inyectables Hydromorphone hydrochloride 1 mg/ml
Inyectables Ceftolozane / tazobactam 10/5 mg/ml
Glucosa 5% 3828
Compatible
Inyectables Hydromorphone hydrochloride 1 mg/ml
Inyectables Ceftolozane / tazobactam 10/5 mg/ml
Cloruro de sodio 0,9% 3828
Compatible
Inyectables Hydromorphone hydrochloride 0.2 mg/ml
Inyectables Cefuroxime sodium 30 mg/ml
Glucosa 5% 405
Compatible
Inyectables Hydromorphone hydrochloride 0.2 mg/ml
Inyectables Chloramphenicol sodium succinate 20 mg/ml
Glucosa 5% 405
Compatible
Inyectables Hydromorphone hydrochloride 0.5 mg/ml
Inyectables Cisatracurium besylate 0.1 >> 5 mg/ml
Glucosa 5% 299
Compatible
Inyectables Hydromorphone hydrochloride 0.5 mg/ml
Inyectables Cladribine 0.015 mg/ml
Cloruro de sodio 0,9% 1496
Compatible
Inyectables Hydromorphone hydrochloride 0.5 mg/ml
Inyectables Cladribine 0.5 mg/ml
NaCl 0,9% + bacteriostático 1496
Compatible
Inyectables Hydromorphone hydrochloride 10 mg/ml
Inyectables Cloxacillin sodium 100 mg/ml
Agua para preparación inyectable 3012
Compatible
Inyectables Hydromorphone hydrochloride 0.2 mg/ml
Inyectables Co-trimoxazole 4/0.8 mg/ml
Glucosa 5% 405
Compatible
Inyectables Hydromorphone hydrochloride < 10 mg/ml
Inyectables Dexamethasone sodium phosphate 2 >> 10 mg/ml
389
Compatible
Inyectables Hydromorphone hydrochloride 0.5 mg/ml
Inyectables Dexamethasone sodium phosphate 1 mg/ml
Glucosa 5% 1974
Compatible
Inyectables Hydromorphone hydrochloride 1 >> 40 mg/ml
Inyectables Dexamethasone sodium phosphate < 2 mg/ml
389
Compatible
Inyectables Hydromorphone hydrochloride 0.5 mg/ml
Inyectables Dexmedetomidine 4 µg/ml
Cloruro de sodio 0,9% 1712
Precipitación después de 2 horas. Incompatible
Inyectables Hydromorphone hydrochloride
Inyectables Dimenhydrinate
2087
Compatible
Inyectables Hydromorphone hydrochloride 0.5 mg/ml
Nutrición parenteral (libre de lípidos) 301
Compatible
Inyectables Hydromorphone hydrochloride 2 mg/ml
Inyectables Cimetidine hydrochloride 150 mg/ml
1438
Compatible
Inyectables Hydromorphone hydrochloride 0.2 mg/ml
Inyectables Clindamycin phosphate 12 mg/ml
Glucosa 5% 405
Precipitación inmediata Incompatible
Inyectables Hydromorphone hydrochloride 2 >> 40 mg/ml
Inyectables Cloxacillin sodium 40 & 250 mg/ml
Glucosa 5% 226
Precipitación inmediata Incompatible
Inyectables Hydromorphone hydrochloride
Inyectables Cyclizine lactate
5073
Compatible
Inyectables Hydromorphone hydrochloride
Inyectables Dexamethasone sodium phosphate
5073
Precipitación inmediata Incompatible
Inyectables Hydromorphone hydrochloride > 15 mg/ml
Inyectables Dexamethasone sodium phosphate > 3 mg/ml
389
Compatible
Inyectables Hydromorphone hydrochloride 0.5 mg/ml
Inyectables Diazepam 0.5 mg/ml
Glucosa 5% 1974
Precipitación inmediata Incompatible
Inyectables Hydromorphone hydrochloride 2 >> 40 mg/ml
Inyectables Diazepam 5 mg/ml
Glucosa 5% 226
Compatible
Inyectables Hydromorphone hydrochloride 1 mg/ml
Inyectables Diltiazem hydrochloride 1 mg/ml
314
Compatible
Inyectables Hydromorphone hydrochloride 2 >> 40 mg/ml
Inyectables Dimenhydrinate 50 mg/ml
Ninguno 1497
Compatible
Inyectables Hydromorphone hydrochloride 0.5 mg/ml
Inyectables Diphenhydramine hydrochloride 2 mg/ml
Glucosa 5% 1974
Compatible
Inyectables Hydromorphone hydrochloride 1 mg/ml
Inyectables Dobutamine hydrochloride 4 mg/ml
314
Compatible
Inyectables Hydromorphone hydrochloride 0.5 mg/ml
Inyectables Docetaxel 0.9 mg/ml
Glucosa 5% 1754
Compatible
Inyectables Hydromorphone hydrochloride 1 mg/ml
Inyectables Dopamine hydrochloride 3.2 mg/ml
314
Compatible
Inyectables Hydromorphone hydrochloride 1 mg/ml
Inyectables Doripenem 5 mg/ml
Glucosa 5% 2262
Compatible
Inyectables Hydromorphone hydrochloride 1 mg/ml
Inyectables Doripenem 5 mg/ml
Cloruro de sodio 0,9% 2262
Compatible
Inyectables Hydromorphone hydrochloride 0.5 mg/ml
Inyectables Doxorubicin hydrochloride liposome peg 0.4 mg/ml
Glucosa 5% 251
Compatible
Inyectables Hydromorphone hydrochloride 0.2 mg/ml
Inyectables Doxycycline hyclate 1 mg/ml
Glucosa 5% 405
Compatible
Inyectables Hydromorphone hydrochloride 1 mg/ml
Inyectables Epinephrine hydrochloride 20 µg/ml
314
Compatible
Inyectables Hydromorphone hydrochloride 1 mg/ml
Inyectables Eravacycline 0,6 mg/ml
Cloruro de sodio 0,9% 4434
Compatible
Inyectables Hydromorphone hydrochloride 0.2 mg/ml
Inyectables Erythromycin lactobionate 5 mg/ml
Glucosa 5% 405
Compatible
Inyectables Hydromorphone hydrochloride 0.5 mg/ml
Inyectables Etoposide phosphate 5 mg/ml
Glucosa 5% 1410
Compatible
Inyectables Hydromorphone hydrochloride 0.5 mg/ml
Inyectables Famotidine 2 mg/ml
Cloruro de sodio 0,9% 215
Compatible
Inyectables Hydromorphone hydrochloride 0.5 mg/ml
Inyectables Fenoldopam mesylate 80 µg/ml
Cloruro de sodio 0,9% 1803
Compatible
Inyectables Hydromorphone hydrochloride 1 mg/ml
Inyectables Fentanyl citrate 50 µg/ml
314
Compatible
Inyectables Hydromorphone hydrochloride 0.5 mg/ml
Inyectables Filgrastim 30 µg/ml
Glucosa 5% 244
Compatible
Inyectables Hydromorphone hydrochloride 0.5 mg/ml
Inyectables Fludarabine phosphate 1 mg/ml
Glucosa 5% 492
Compatible
Inyectables Hydromorphone hydrochloride 0.5 mg/ml
Inyectables Fluorouracil 1 & 16 mg/ml
Glucosa 5% 513
Compatible
Inyectables Hydromorphone hydrochloride 0.5 mg/ml
Inyectables Fluorouracil 1 & 16 mg/ml
Cloruro de sodio 0,9% 513
Compatible
Inyectables Hydromorphone hydrochloride 10 mg/ml
Inyectables Foscarnet sodium 24 mg/ml
Ninguno 73
Compatible
Inyectables Hydromorphone hydrochloride 1 mg/ml
Inyectables Fosfomycin 30 mg/ml
Glucosa 5% 4055
Compatible
Inyectables Hydromorphone hydrochloride 1 mg/ml
Inyectables Fosfomycin 30 mg/ml
Cloruro de sodio 0,9% 4055
Compatible
Inyectables Hydromorphone hydrochloride 1 mg/ml
Inyectables Furosemide 10 mg/ml
314
Turbidez en 24 horas Incompatible
Inyectables Hydromorphone hydrochloride 4 mg/ml
Inyectables Gallium nitrate 1 mg/ml
Cloruro de sodio 0,9% 91
Compatible
Inyectables Hydromorphone hydrochloride 0.5 mg/ml
Inyectables Gemcitabine hydrochloride 10 mg/ml
Cloruro de sodio 0,9% 1423
Compatible
Inyectables Hydromorphone hydrochloride 0.2 mg/ml
Inyectables Gentamicin sulfate 0.8 mg/ml
Glucosa 5% 405
Compatible
Inyectables Hydromorphone hydrochloride
Inyectables Glycopyrronium bromide
5073
Compatible
Inyectables Hydromorphone hydrochloride 0.5 mg/ml
Inyectables Granisetron hydrochloride 0.056 mg/ml
Cloruro de sodio 0,9% 6
Compatible
Inyectables Hydromorphone hydrochloride 0.5 mg/ml
Inyectables Granisetron hydrochloride 1 mg/ml
Cloruro de sodio 0,9% 57
Compatible
Inyectables Hydromorphone hydrochloride 0.5 mg/ml
Inyectables Granisetron hydrochloride 0.05 mg/ml
Glucosa 5% 182
Compatible
Inyectables Hydromorphone hydrochloride 10 mg/ml
Inyectables Haloperidol lactate 1 mg/ml
Ninguno 216
Compatible
Inyectables Hydromorphone hydrochloride 10 mg/ml
Inyectables Haloperidol lactate 5 mg/ml
Ninguno 216
Compatible
Inyectables Hydromorphone hydrochloride 1 mg/ml
Inyectables Haloperidol lactate 5 mg/ml
Ninguno 216
Compatible
Inyectables Hydromorphone hydrochloride 1 mg/ml
Inyectables Haloperidol lactate 2 mg/ml
Ninguno 216
Compatible
Inyectables Hydromorphone hydrochloride 1 mg/ml
Inyectables Haloperidol lactate 1 mg/ml
Ninguno 216
Compatible
Inyectables Hydromorphone hydrochloride 0.5 mg/ml
Inyectables Haloperidol lactate 0.2 mg/ml
Glucosa 5% 1974
Compatible
Inyectables Hydromorphone hydrochloride
Inyectables Haloperidol lactate
5073
Compatible
Inyectables Hydromorphone hydrochloride 10 mg/ml
Inyectables Haloperidol lactate 2 mg/ml
Ninguno 216
Compatible
Inyectables Hydromorphone hydrochloride <12.5 mg/ml
Inyectables Heparin sodium
Agua para preparación inyectable 66
Compatible
Inyectables Hydromorphone hydrochloride <12.5 mg/ml
Inyectables Heparin sodium
Cloruro de sodio 0,9% 66
Compatible
Inyectables Hydromorphone hydrochloride 1 mg/ml
Inyectables Heparin sodium 100 UI/ml
314
Precipitación inmediata Incompatible
Inyectables Hydromorphone hydrochloride >25 mg/ml
Inyectables Heparin sodium <12,5 UI/ml
Agua para preparación inyectable 66
Precipitación inmediata Incompatible
Inyectables Hydromorphone hydrochloride >10 mg/ml
Inyectables Heparin sodium <1 UI/ml
Agua para preparación inyectable 66
Precipitación inmediata Incompatible
Inyectables Hydromorphone hydrochloride >25 mg/ml
Inyectables Heparin sodium <12,5 UI/ml
Cloruro de sodio 0,9% 66
Compatible
Inyectables Hydromorphone hydrochloride 0.5 mg/ml
Inyectables Hetastarch 60 mg/ml
específico disolvente 1721
Inestabilidad química Incompatible
Inyectables Hydromorphone hydrochloride 2 >> 40 mg/ml
Inyectables Hyaluronidase 150 UI/ml
Glucosa 5% 9
Compatible
Inyectables Hydromorphone hydrochloride
Inyectables Hyaluronidase
3184
Inestabilidad química Incompatible
Inyectables Hydromorphone hydrochloride 2 >> 40 mg/ml
Inyectables Hyaluronidase 150 UI/ml
Cloruro de sodio 0,9% 9
Compatible
Inyectables Hydromorphone hydrochloride 0.5 mg/ml
Inyectables Hydroxyzine dihydrochloride 4 mg/ml
Glucosa 5% 1974
Compatible
Inyectables Hydromorphone hydrochloride 1 mg/ml
Inyectables Isavuconazonium sulfate 1.5 mg/ml
Cloruro de sodio 0,9% 3829
Compatible
Inyectables Hydromorphone hydrochloride 1 mg/ml
Inyectables Isavuconazonium sulfate 1.5 mg/ml
Glucosa 5% 3829
Compatible
Inyectables Hydromorphone hydrochloride 0.2 mg/ml
Inyectables Kanamycin sulfate 2.5 mg/ml
Glucosa 5% 405
Compatible
Inyectables Hydromorphone hydrochloride
Inyectables Ketamine hydrochloride
5073
Compatible
Inyectables Hydromorphone hydrochloride 0.2 mg/ml
Inyectables Ketamine hydrochloride 0.2 >> 1 mg/ml
Cloruro de sodio 0,9% 2336
Compatible
Inyectables Hydromorphone hydrochloride 0.5 mg/ml
Inyectables Ketorolac tromethamine 1 mg/ml
Glucosa 5% 1974
Compatible
Inyectables Hydromorphone hydrochloride 10 mg/ml
Inyectables Ketorolac tromethamine 15 mg/ml
Ninguno 216
Compatible
Inyectables Hydromorphone hydrochloride 1 mg/ml
Inyectables Ketorolac tromethamine 30 mg/ml
Ninguno 216
Compatible
Inyectables Hydromorphone hydrochloride 1 mg/ml
Inyectables Ketorolac tromethamine 15 mg/ml
Ninguno 216
Precipitación inmediata Incompatible
Inyectables Hydromorphone hydrochloride 10 mg/ml
Inyectables Ketorolac tromethamine 30 mg/ml
Ninguno 216
Compatible
Inyectables Hydromorphone hydrochloride 1 mg/ml
Inyectables Labetalol hydrochloride 2 mg/ml
314
Precipitación después de 1 hora Incompatible
Inyectables Hydromorphone hydrochloride 0.5 mg/ml
Inyectables Lansoprazole 0.55 mg/ml
Cloruro de sodio 0,9% 1625
Compatible
Inyectables Hydromorphone hydrochloride 2 mg/ml
Inyectables Levofloxacine 5 mg/ml
Ninguno 2335
Compatible
Inyectables Hydromorphone hydrochloride
Inyectables Levomepromazine
5073
Compatible
Inyectables Hydromorphone hydrochloride 10 mg/ml
Inyectables Levosimendan 2,5 mg/ml
4389
Compatible
Inyectables Hydromorphone hydrochloride 0.5 mg/ml
Inyectables Linezolid 2 mg/ml
Ninguno 1925
Compatible
Inyectables Hydromorphone hydrochloride 0.5 mg/ml
Inyectables Lorazepam 0.1 mg/ml
Glucosa 5% 1974
Compatible
Inyectables Hydromorphone hydrochloride 2 >> 40 mg/ml
Inyectables Lorazepam 4 mg/ml
Ninguno 1497
Compatible
Inyectables Hydromorphone hydrochloride 1 mg/ml
Inyectables Lorazepam 0.5 mg/ml
314
Compatible
Inyectables Hydromorphone hydrochloride 2 mg/ml
Inyectables Magnesium sulfate 16,67 >> 100 mg/ml
Glucosa 5% 517
Compatible
Inyectables Hydromorphone hydrochloride 0.5 mg/ml
Inyectables Melphalan 0.1 mg/ml
Cloruro de sodio 0,9% 169
Compatible
Inyectables Hydromorphone hydrochloride 10 mg/ml
Inyectables Meropenem 50 mg/ml
Agua para preparación inyectable 4319
Inestabilidad química Incompatible
Inyectables Hydromorphone hydrochloride
Inyectables Metamizol sodium
2364
Compatible
Inyectables Hydromorphone hydrochloride
Inyectables Metoclopramide hydrochloride
5073
Compatible
Inyectables Hydromorphone hydrochloride 0.5 mg/ml
Inyectables Metoclopramide hydrochloride 5 mg/ml
Glucosa 5% 1974
Compatible
Inyectables Hydromorphone hydrochloride 0.2 mg/ml
Inyectables Metronidazole 5 mg/ml
Glucosa 5% 405
Compatible
Inyectables Hydromorphone hydrochloride 0.5 mg/ml
Inyectables Micafungin 1.5 mg/ml
Cloruro de sodio 0,9% 2108
Compatible
Inyectables Hydromorphone hydrochloride
Inyectables Midazolam hydrochloride
5073
Compatible
Inyectables Hydromorphone hydrochloride 0.5 mg/ml
Inyectables Midazolam hydrochloride 0.2 mg/ml
Glucosa 5% 1974
Compatible
Inyectables Hydromorphone hydrochloride 0.5 >> 45 mg/ml
Inyectables Midazolam hydrochloride 0.1 >> 4.5 mg/ml
Glucosa 5% 345
Compatible
Inyectables Hydromorphone hydrochloride 1 mg/ml
Inyectables Midazolam hydrochloride 2 mg/ml
314
Compatible
Inyectables Hydromorphone hydrochloride 0.5 >> 45 mg/ml
Inyectables Midazolam hydrochloride 0.1 >> 4.5 mg/ml
Cloruro de sodio 0,9% 345
Compatible
Inyectables Hydromorphone hydrochloride 1 mg/ml
Inyectables Milrinone lactate 0.2 mg/ml
314
Cambio de color después de 1 hora. Incompatible
Inyectables Hydromorphone hydrochloride 0.2 mg/ml
Inyectables Minocycline hydrochloride 0.2 mg/ml
Glucosa 5% 405
Compatible
Inyectables Hydromorphone hydrochloride 1 mg/ml
Inyectables Morphine sulfate 2 mg/ml
314
Compatible
Inyectables Hydromorphone hydrochloride 0.2 mg/ml
Inyectables Moxalactam 20 mg/ml
Glucosa 5% 405
Compatible
Inyectables Hydromorphone hydrochloride 0.2 mg/ml
Inyectables Nafcillin sodium 20 mg/ml
Glucosa 5% 405
Compatible
Inyectables Hydromorphone hydrochloride 10 mg/ml
Inyectables Naloxone hydrochloride 0.4 mg/ml
Ninguno 3408
Compatible
Inyectables Hydromorphone hydrochloride 1 mg/ml
Inyectables Nicardipine hydrochloride 1 mg/ml
314
Compatible
Inyectables Hydromorphone hydrochloride 1 mg/ml
Inyectables Nitroglycerin 0.4 mg/ml
314
Compatible
Inyectables Hydromorphone hydrochloride 1 mg/ml
Inyectables Norepinephrine bitartrate 0.128 mg/ml
314
Compatible
Inyectables Hydromorphone hydrochloride 0,5 mg/ml
Inyectables Ondansetron hydrochloride 0,1 & 1 mg/ml
Cloruro de sodio 0,9% 6
Compatible
Inyectables Hydromorphone hydrochloride 0.5 mg/ml
Inyectables Ondansetron hydrochloride 1 mg/ml
Cloruro de sodio 0,9% 334
Compatible
Inyectables Hydromorphone hydrochloride 0.2 mg/ml
Inyectables Oxacillin sodium 20 mg/ml
Glucosa 5% 405
Compatible
Inyectables Hydromorphone hydrochloride 0,5 mg/ml
Inyectables Oxaliplatin 0,5 mg/ml
Glucosa 5% 1662
Compatible
Inyectables Hydromorphone hydrochloride 0.5 mg/ml
Inyectables Paclitaxel 1.2 mg/ml
Glucosa 5% 248
Compatible
Inyectables Hydromorphone hydrochloride 0.5 mg/ml
Inyectables Palonosetron hydrochloride 50 µg/ml
Glucosa 5% 2196
Precipitación después de 4 horas. Incompatible
Inyectables Hydromorphone hydrochloride
Inyectables Pantoprazole sodium
2090
Compatible
Inyectables Hydromorphone hydrochloride 10 mg/ml
Inyectables Paracetamol 10 mg/ml
4742
Compatible
Inyectables Hydromorphone hydrochloride 2 mg/ml
Inyectables Paracetamol 10 mg/ml
Ninguno 3571
Incompatibilidad no especificada Incompatible
Inyectables Hydromorphone hydrochloride
Inyectables Parecoxib sodium
3504
Compatible
Inyectables Hydromorphone hydrochloride 0.5 mg/ml
Inyectables Pemetrexed disodium 20 mg/ml
Cloruro de sodio 0,9% 1953
Compatible
Inyectables Hydromorphone hydrochloride 0.2 mg/ml
Inyectables Penicillin G potassium 0.1 MUI/ml
Glucosa 5% 405
Precipitación inmediata Incompatible
Inyectables Hydromorphone hydrochloride 2 >> 40 mg/ml
Inyectables Phenobarbital sodium 120 mg/ml
Glucosa 5% 226
Compatible
Inyectables Hydromorphone hydrochloride 0.5 mg/ml
Inyectables Phenobarbital sodium 2 mg/ml
Glucosa 5% 1974
Precipitación inmediata Incompatible
Inyectables Hydromorphone hydrochloride 2 >> 40 mg/ml
Inyectables Phenytoin sodium 50 mg/ml
Glucosa 5% 226
Precipitación después de 1 hora Incompatible
Inyectables Hydromorphone hydrochloride 0.5 mg/ml
Inyectables Phenytoin sodium 2 mg/ml
Glucosa 5% 1974
Compatible
Inyectables Hydromorphone hydrochloride 0.2 mg/ml
Inyectables Piperacillin sodium 60 mg/ml
Glucosa 5% 405
Compatible
Inyectables Hydromorphone hydrochloride 0.5 mg/ml
Inyectables Piperacillin sodium / tazobactam 40/5 mg/ml
Glucosa 5% 81
Compatible
Inyectables Hydromorphone hydrochloride 1 mg/ml
Inyectables Plazomicin sulfate 24 mg/ml
Cloruro de sodio 0,9% 4145
Compatible
Inyectables Hydromorphone hydrochloride
Inyectables Posaconazole
4380
Compatible
Inyectables Hydromorphone hydrochloride 25 mg/ml
Inyectables Potassium chloride 1000 mEq/l
Agua para preparación inyectable 66
Compatible
Inyectables Hydromorphone hydrochloride 5 >> 20 mg/ml
Inyectables Potassium chloride 500 & 1000 mEq/l
Glucosa 5% 66
Compatible
Inyectables Hydromorphone hydrochloride 2 >> 40 mg/ml
Inyectables Prochlorperazine edysilate 5 mg/ml
Ninguno 1497
Compatible
Inyectables Hydromorphone hydrochloride 0,5 mg/ml
Inyectables Prochlorperazine edysilate 1,5 mg/ml
Cloruro de sodio 0,9% 767
Compatible
Inyectables Hydromorphone hydrochloride 1 mg/ml
Inyectables Promethazine hydrochloride 0.3 mg/ml
Cloruro de sodio 0,9% 795
Compatible
Inyectables Hydromorphone hydrochloride 0.5 mg/ml
Inyectables Propofol 10 mg/ml
Ninguno 300
Compatible
Inyectables Hydromorphone hydrochloride 1 mg/ml
Inyectables Ranitidine hydrochloride 1 mg/ml
314
Compatible
Inyectables Hydromorphone hydrochloride 2 mg/ml
Inyectables Ranitidine hydrochloride 25 mg/ml
Ninguno 58
Compatible
Inyectables Hydromorphone hydrochloride 1 mg/ml
Inyectables Remdesivir 1 mg/ml
Cloruro de sodio 0,9% 4768
Compatible
Inyectables Hydromorphone hydrochloride 10 mg/ml
Inyectables Salbutamol sulfate 1 mg/ml
Ninguno 3216
Precipitación después de 30 minutos Incompatible
Inyectables Hydromorphone hydrochloride 0.5 mg/ml
Inyectables Sargramostim 10 µg/ml
Cloruro de sodio 0,9% 335
Compatible
Inyectables Hydromorphone hydrochloride 0.5 mg/ml
Inyectables Scopolamine hydrobromide 0.05 mg/ml
Glucosa 5% 1974
Compatible
Inyectables Hydromorphone hydrochloride
Inyectables Scopolamine hydrobromide
5073
Compatible
Inyectables Hydromorphone hydrochloride 0,1 & 1 mg/ml
Inyectables Tacrolimus 5 & 20 µg/ml
Glucosa 5% 814
Compatible
Inyectables Hydromorphone hydrochloride 1 mg/ml
Inyectables Tedizolid phosphate 0.8 mg/ml
Cloruro de sodio 0,9% 3827
Compatible
Inyectables Hydromorphone hydrochloride 0.5 mg/ml
Inyectables Teniposide 0.1 mg/ml
Glucosa 5% 905
Precipitación inmediata Incompatible
Inyectables Hydromorphone hydrochloride 10 mg/ml
Inyectables Thiopental sodium 25 mg/ml
Cloruro de sodio 0,9% 3767
Precipitación después de 4 horas. Incompatible
Inyectables Hydromorphone hydrochloride 1 mg/ml
Inyectables Thiopental sodium 25 mg/ml
314
Compatible
Inyectables Hydromorphone hydrochloride 0.5 mg/ml
Inyectables Thiotepa 1 mg/ml
Glucosa 5% 249
Compatible
Inyectables Hydromorphone hydrochloride
Cloruro de sodio 0,9% 5073
Compatible
Inyectables Hydromorphone hydrochloride
Inyectables Scopolamine N-butyl bromide
5073
Compatible
Inyectables Hydromorphone hydrochloride 1 mg/ml
Inyectables Sulbactam/durlobactam 15/15 mg/ml
Cloruro de sodio 0,9% 4801
Compatible
Inyectables Hydromorphone hydrochloride 0.2 mg/ml
Inyectables Tobramycin sulfate 0.8 mg/ml
Glucosa 5% 405
Compatible
Inyectables Hydromorphone hydrochloride 0.2 mg/ml
Inyectables Vancomycin hydrochloride 5 mg/ml
Glucosa 5% 405
Compatible
Inyectables Hydromorphone hydrochloride 2 mg/ml
Inyectables Vancomycin hydrochloride 4 mg/ml
Cloruro de sodio 0,9% 2335
Compatible
Inyectables Hydromorphone hydrochloride 1 mg/ml
Inyectables Vecuronium bromide 1 mg/ml
314
Compatible
Inyectables Hydromorphone hydrochloride 0.016 mg/ml
Inyectables Verapamil hydrochloride 0.08 mg/ml
Cloruro de sodio 0,9% 1057
Compatible
Inyectables Hydromorphone hydrochloride 0.016 mg/ml
Inyectables Verapamil hydrochloride 0.08 mg/ml
Glucosa 5% 1057
Compatible
Inyectables Hydromorphone hydrochloride 0.5 mg/ml
Inyectables Vinorelbine tartrate 1 mg/ml
Cloruro de sodio 0,9% 84

  Mentions Légales