zadnja posodobitev :
27/04/2026
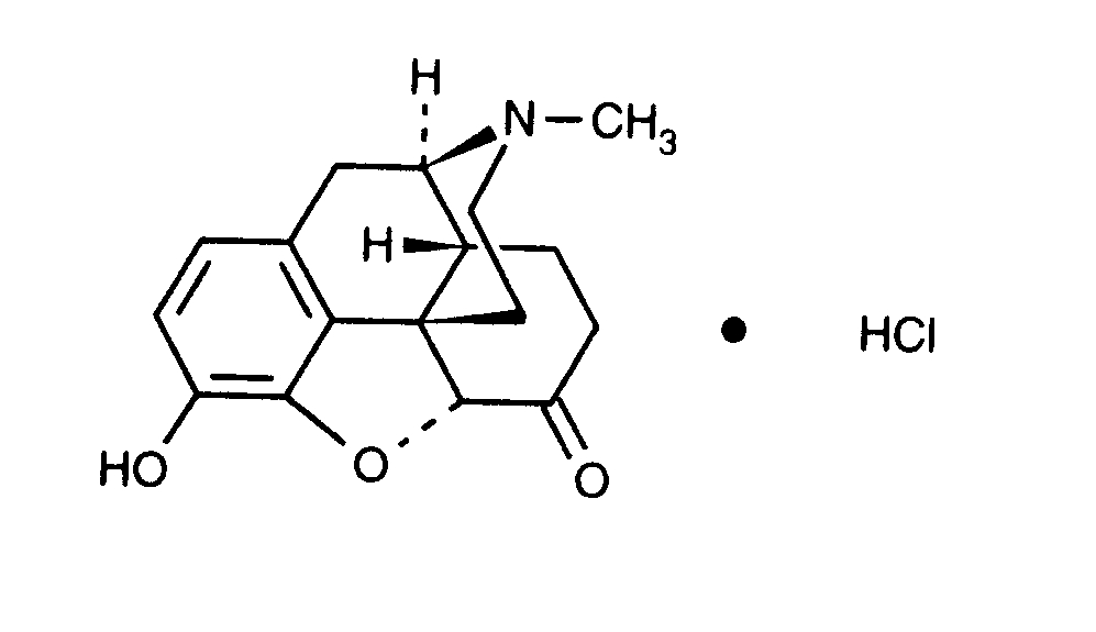
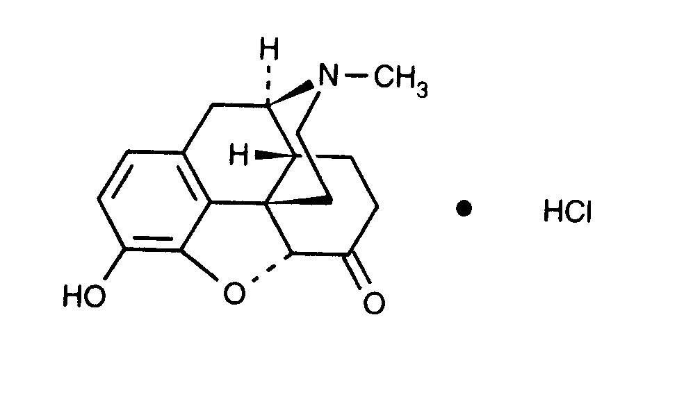
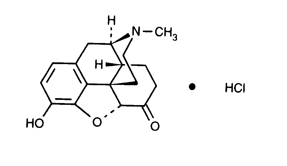
Analgetik   Hydromorphone hydrochloride  
Brizgalka
Stabilnost raztopine Stabilnost mešanice Faktorji, ki vplivajo na stabilnost Kompatibilnost način aplikacije Viri pdf
   Kemična formula  

Lastniško ime   Lastniško ime     

Sestava pomožnih snovi je med paralelami lahko različna

Dilaudid Kanada, Združene države Amerike
Hydal Avstrija
Palladon Danska, Švica
Palladone Velika Britanija
Kompatibilnost   Brizgalka   Kompatibilnost : Hydromorphone hydrochloride              
Ta zaslon prikazuje združljivost ali nezdružljivost s, v tem primeru, vrsto nezdružljivosti (padavine, sprememba barve, sprememba emulzije itd.). Tu prikazane združljivosti so večinoma samo fizične, pri čemer se kemijska stabilnost vsake molekule redko ocenjuje. Vrednotenje teh zmesi so preučevali, da bi preučili možnost pacientovega dajanja na mestu Y. Teh podatkov ni mogoče uporabiti za pripravo mešanic v vrečkah ali brizgah. Ta vrsta informacij je na voljo na zaslonu "Obstojnost v mešanici".
Sestava Topilo Viri
Združljivo
Brizgalka Hydromorphone hydrochloride 0.04 mg/ml
Brizgalka Aciclovir sodium 5 mg/ml
Glukoza 5% 336
Združljivo
Brizgalka Hydromorphone hydrochloride 0.5 mg/ml
Brizgalka Allopurinol sodium 3 mg/ml
Natrijev klorid 0,9% 307
Združljivo
Brizgalka Hydromorphone hydrochloride 0.5 mg/ml
Brizgalka Amifostine 10 mg/ml
Glukoza 5% 3
Združljivo
Brizgalka Hydromorphone hydrochloride 0.2 mg/ml
Brizgalka Amikacin sulfate 5 mg/ml
Glukoza 5% 405
Združljivo
Brizgalka Hydromorphone hydrochloride 10 mg/ml
Brizgalka Amoxicillin sodium / clavulanic acid 100/10 mg/ml
3824
Združljivo
Brizgalka Hydromorphone hydrochloride 2 >> 40 mg/ml
Brizgalka Ampicillin sodium 20 & 250 mg/ml
Glukoza 5% 226
Združljivo
Brizgalka Hydromorphone hydrochloride 0.5 mg/ml
Brizgalka Amsacrine 1 mg/ml
Glukoza 5% 253
Združljivo
Brizgalka Hydromorphone hydrochloride 0.5 mg/ml
Brizgalka Anidulafungin 0.5 mg/ml
Glukoza 5% 1982
Združljivo
Brizgalka Hydromorphone hydrochloride 0.5 mg/ml
Brizgalka Aztreonam 40 mg/ml
Glukoza 5% 99
Združljivo
Brizgalka Hydromorphone hydrochloride 0.5 mg/ml
Brizgalka Bivalirudin 5 mg/ml
Glukoza 5% 1713
Takojšnja nestabilnost emulzije Nezdružljivo
Brizgalka Hydromorphone hydrochloride 0.5 mg/ml
Parenteralna prehrana (z lipidi) 1415
Združljivo
Brizgalka Hydromorphone hydrochloride 10 mg/ml
Ringerjev laktat 4603
Izguba motnosti Nezdružljivo
Brizgalka Hydromorphone hydrochloride 0.5 mg/ml
Brizgalka Amphotericin B cholesteryl sulfate complex 0.83 mg/ml
Glukoza 5% 921
Združljivo
Brizgalka Hydromorphone hydrochloride 0.2 mg/ml
Brizgalka Ampicillin sodium 20 mg/ml
Glukoza 5% 405
Združljivo
Brizgalka Hydromorphone hydrochloride 0.5 mg/ml
Brizgalka Atropine sulfate 0.4 mg/ml
Glukoza 5% 1974
Združljivo
Brizgalka Hydromorphone hydrochloride 0,02 & 0,1 mg/ml
Brizgalka Bupivacaine hydrochloride 0,625 & 1,25 mg/ml
Natrijev klorid 0,9% 306
Združljivo
Brizgalka Hydromorphone hydrochloride
Glukoza 5% 5073
Združljivo
Brizgalka Hydromorphone hydrochloride 0,02 & 0,04 mg/ml
Brizgalka Bupivacaine hydrochloride 2,5 mg/ml
Natrijev klorid 0,9% 1931
Združljivo
Brizgalka Hydromorphone hydrochloride 15 mg/ml
Brizgalka Bupivacaine hydrochloride 10 mg/ml
Nobeden 4200
Združljivo
Brizgalka Hydromorphone hydrochloride 2,5 mg/ml
Parenteralna prehrana (z lipidi) 4507
Združljivo
Brizgalka Hydromorphone hydrochloride 25 mg/ml
Brizgalka Bupivacaine hydrochloride 20 mg/ml
Natrijev klorid 0,9% 3131
Združljivo
Brizgalka Hydromorphone hydrochloride 65 mg/ml
Brizgalka Bupivacaine hydrochloride 7,5 mg/ml
Nobeden 221
Združljivo
Brizgalka Hydromorphone hydrochloride 50 mg/ml
Brizgalka Caffeine 10 mg/ml
Nobeden 3964
Združljivo
Brizgalka Hydromorphone hydrochloride 1 mg/ml
Brizgalka Caspofungin acetate 0,7 mg/ml
Natrijev klorid 0,9% 2247
Združljivo
Brizgalka Hydromorphone hydrochloride 1 mg/ml
Brizgalka Caspofungin acetate 0.5 mg/ml
Natrijev klorid 0,9% 2233
Združljivo
Brizgalka Hydromorphone hydrochloride 0.2 mg/ml
Brizgalka Cefalotin sodium 20 mg/ml
Glukoza 5% 405
Združljivo
Brizgalka Hydromorphone hydrochloride 0.2 mg/ml
Brizgalka Cefamandole nafate 20 mg/ml
Glukoza 5% 405
Združljivo
Brizgalka Hydromorphone hydrochloride 0.2 mg/ml
Brizgalka Cefazolin sodium 20 mg/ml
Glukoza 5% 405
Združljivo
Brizgalka Hydromorphone hydrochloride 2 >> 40 mg/ml
Brizgalka Cefazolin sodium 20 mg/ml
Glukoza 5% 226
Takoj padavine Nezdružljivo
Brizgalka Hydromorphone hydrochloride 2 >> 40 mg/ml
Brizgalka Cefazolin sodium >200 mg/ml
Glukoza 5% 226
Združljivo
Brizgalka Hydromorphone hydrochloride 1 mg/ml
Brizgalka Cefiderocol sulfate tosylate 20 mg/mL
Natrijev klorid 0,9% 4528
Združljivo
Brizgalka Hydromorphone hydrochloride 1 mg/ml
Brizgalka Cefiderocol sulfate tosylate 20 mg/mL
Glukoza 5% 4528
Združljivo
Brizgalka Hydromorphone hydrochloride 0.2 mg/ml
Brizgalka Cefmetazole sodium 100 mg/ml
Voda za injekcije 93
Združljivo
Brizgalka Hydromorphone hydrochloride 0.2 mg/ml
Brizgalka Cefoperazone sodium 20 mg/ml
Glukoza 5% 405
Združljivo
Brizgalka Hydromorphone hydrochloride 0.2 mg/ml
Brizgalka Ceforanide 20 mg/ml
Glukoza 5% 405
Združljivo
Brizgalka Hydromorphone hydrochloride 0.2 mg/ml
Brizgalka Cefotaxime sodium 20 mg/ml
Glukoza 5% 405
Združljivo
Brizgalka Hydromorphone hydrochloride 0.2 mg/ml
Brizgalka Cefoxitin sodium 20 mg/ml
Glukoza 5% 405
Združljivo
Brizgalka Hydromorphone hydrochloride 0,5 mg/ml
Brizgalka Ceftaroline fosamil 2,22 mg/ml
Ringerjev laktat 3249
Združljivo
Brizgalka Hydromorphone hydrochloride 0,5 mg/ml
Brizgalka Ceftaroline fosamil 2,22 mg/ml
Glukoza 5% 3249
Združljivo
Brizgalka Hydromorphone hydrochloride 0,5 mg/ml
Brizgalka Ceftaroline fosamil 2,22 mg/ml
Natrijev klorid 0,9% 3249
Združljivo
Brizgalka Hydromorphone hydrochloride 2 >> 40 mg/ml
Brizgalka Ceftazidime 40 & 180 mg/ml
Glukoza 5% 226
Združljivo
Brizgalka Hydromorphone hydrochloride 0.2 mg/ml
Brizgalka Ceftizoxime sodium 20 mg/ml
Glukoza 5% 405
Takoj padavine Nezdružljivo
Brizgalka Hydromorphone hydrochloride 1 mg/ml
Brizgalka Ceftobiprole medocaril sodium 2 mg/ml
Natrijev klorid 0,9% 2269
Takoj padavine Nezdružljivo
Brizgalka Hydromorphone hydrochloride 1 mg/ml
Brizgalka Ceftobiprole medocaril sodium 2 mg/ml
Ringerjev laktat 2269
Nedoločena nezdružljivost Nezdružljivo
Brizgalka Hydromorphone hydrochloride
Brizgalka Ceftobiprole medocaril sodium
4650
Takoj padavine Nezdružljivo
Brizgalka Hydromorphone hydrochloride 1 mg/ml
Brizgalka Ceftobiprole medocaril sodium 2 mg/ml
Glukoza 5% 2269
Združljivo
Brizgalka Hydromorphone hydrochloride 1 mg/ml
Brizgalka Ceftolozane / tazobactam 10/5 mg/ml
Glukoza 5% 3828
Združljivo
Brizgalka Hydromorphone hydrochloride 1 mg/ml
Brizgalka Ceftolozane / tazobactam 10/5 mg/ml
Natrijev klorid 0,9% 3828
Združljivo
Brizgalka Hydromorphone hydrochloride 0.2 mg/ml
Brizgalka Cefuroxime sodium 30 mg/ml
Glukoza 5% 405
Združljivo
Brizgalka Hydromorphone hydrochloride 0.2 mg/ml
Brizgalka Chloramphenicol sodium succinate 20 mg/ml
Glukoza 5% 405
Združljivo
Brizgalka Hydromorphone hydrochloride 0.5 mg/ml
Brizgalka Cisatracurium besylate 0.1 >> 5 mg/ml
Glukoza 5% 299
Združljivo
Brizgalka Hydromorphone hydrochloride 0.5 mg/ml
Brizgalka Cladribine 0.015 mg/ml
Natrijev klorid 0,9% 1496
Združljivo
Brizgalka Hydromorphone hydrochloride 0.5 mg/ml
Brizgalka Cladribine 0.5 mg/ml
NaCl 0,9%  + bakteriostatik 1496
Združljivo
Brizgalka Hydromorphone hydrochloride 10 mg/ml
Brizgalka Cloxacillin sodium 100 mg/ml
Voda za injekcije 3012
Združljivo
Brizgalka Hydromorphone hydrochloride 0.2 mg/ml
Brizgalka Co-trimoxazole 4/0.8 mg/ml
Glukoza 5% 405
Združljivo
Brizgalka Hydromorphone hydrochloride < 10 mg/ml
Brizgalka Dexamethasone sodium phosphate 2 >> 10 mg/ml
389
Združljivo
Brizgalka Hydromorphone hydrochloride 0.5 mg/ml
Brizgalka Dexamethasone sodium phosphate 1 mg/ml
Glukoza 5% 1974
Združljivo
Brizgalka Hydromorphone hydrochloride 1 >> 40 mg/ml
Brizgalka Dexamethasone sodium phosphate < 2 mg/ml
389
Združljivo
Brizgalka Hydromorphone hydrochloride 0.5 mg/ml
Brizgalka Dexmedetomidine 4 µg/ml
Natrijev klorid 0,9% 1712
Padavine po 2 urah Nezdružljivo
Brizgalka Hydromorphone hydrochloride
Brizgalka Dimenhydrinate
2087
Združljivo
Brizgalka Hydromorphone hydrochloride 0.5 mg/ml
Parenteralna prehrana (binarno zmes) 301
Združljivo
Brizgalka Hydromorphone hydrochloride 2 mg/ml
Brizgalka Cimetidine hydrochloride 150 mg/ml
1438
Združljivo
Brizgalka Hydromorphone hydrochloride 0.2 mg/ml
Brizgalka Clindamycin phosphate 12 mg/ml
Glukoza 5% 405
Takoj padavine Nezdružljivo
Brizgalka Hydromorphone hydrochloride 2 >> 40 mg/ml
Brizgalka Cloxacillin sodium 40 & 250 mg/ml
Glukoza 5% 226
Takoj padavine Nezdružljivo
Brizgalka Hydromorphone hydrochloride
Brizgalka Cyclizine lactate
5073
Združljivo
Brizgalka Hydromorphone hydrochloride
Brizgalka Dexamethasone sodium phosphate
5073
Takoj padavine Nezdružljivo
Brizgalka Hydromorphone hydrochloride > 15 mg/ml
Brizgalka Dexamethasone sodium phosphate > 3 mg/ml
389
Združljivo
Brizgalka Hydromorphone hydrochloride 0.5 mg/ml
Brizgalka Diazepam 0.5 mg/ml
Glukoza 5% 1974
Takoj padavine Nezdružljivo
Brizgalka Hydromorphone hydrochloride 2 >> 40 mg/ml
Brizgalka Diazepam 5 mg/ml
Glukoza 5% 226
Združljivo
Brizgalka Hydromorphone hydrochloride 1 mg/ml
Brizgalka Diltiazem hydrochloride 1 mg/ml
314
Združljivo
Brizgalka Hydromorphone hydrochloride 2 >> 40 mg/ml
Brizgalka Dimenhydrinate 50 mg/ml
Nobeden 1497
Združljivo
Brizgalka Hydromorphone hydrochloride 0.5 mg/ml
Brizgalka Diphenhydramine hydrochloride 2 mg/ml
Glukoza 5% 1974
Združljivo
Brizgalka Hydromorphone hydrochloride 1 mg/ml
Brizgalka Dobutamine hydrochloride 4 mg/ml
314
Združljivo
Brizgalka Hydromorphone hydrochloride 0.5 mg/ml
Brizgalka Docetaxel 0.9 mg/ml
Glukoza 5% 1754
Združljivo
Brizgalka Hydromorphone hydrochloride 1 mg/ml
Brizgalka Dopamine hydrochloride 3.2 mg/ml
314
Združljivo
Brizgalka Hydromorphone hydrochloride 1 mg/ml
Brizgalka Doripenem 5 mg/ml
Glukoza 5% 2262
Združljivo
Brizgalka Hydromorphone hydrochloride 1 mg/ml
Brizgalka Doripenem 5 mg/ml
Natrijev klorid 0,9% 2262
Združljivo
Brizgalka Hydromorphone hydrochloride 0.5 mg/ml
Brizgalka Doxorubicin hydrochloride liposome peg 0.4 mg/ml
Glukoza 5% 251
Združljivo
Brizgalka Hydromorphone hydrochloride 0.2 mg/ml
Brizgalka Doxycycline hyclate 1 mg/ml
Glukoza 5% 405
Združljivo
Brizgalka Hydromorphone hydrochloride 1 mg/ml
Brizgalka Epinephrine hydrochloride 20 µg/ml
314
Združljivo
Brizgalka Hydromorphone hydrochloride 1 mg/ml
Brizgalka Eravacycline 0,6 mg/ml
Natrijev klorid 0,9% 4434
Združljivo
Brizgalka Hydromorphone hydrochloride 0.2 mg/ml
Brizgalka Erythromycin lactobionate 5 mg/ml
Glukoza 5% 405
Združljivo
Brizgalka Hydromorphone hydrochloride 0.5 mg/ml
Brizgalka Etoposide phosphate 5 mg/ml
Glukoza 5% 1410
Združljivo
Brizgalka Hydromorphone hydrochloride 0.5 mg/ml
Brizgalka Famotidine 2 mg/ml
Natrijev klorid 0,9% 215
Združljivo
Brizgalka Hydromorphone hydrochloride 0.5 mg/ml
Brizgalka Fenoldopam mesylate 80 µg/ml
Natrijev klorid 0,9% 1803
Združljivo
Brizgalka Hydromorphone hydrochloride 1 mg/ml
Brizgalka Fentanyl citrate 50 µg/ml
314
Združljivo
Brizgalka Hydromorphone hydrochloride 0.5 mg/ml
Brizgalka Filgrastim 30 µg/ml
Glukoza 5% 244
Združljivo
Brizgalka Hydromorphone hydrochloride 0.5 mg/ml
Brizgalka Fludarabine phosphate 1 mg/ml
Glukoza 5% 492
Združljivo
Brizgalka Hydromorphone hydrochloride 0.5 mg/ml
Brizgalka Fluorouracil 1 & 16 mg/ml
Glukoza 5% 513
Združljivo
Brizgalka Hydromorphone hydrochloride 0.5 mg/ml
Brizgalka Fluorouracil 1 & 16 mg/ml
Natrijev klorid 0,9% 513
Združljivo
Brizgalka Hydromorphone hydrochloride 10 mg/ml
Brizgalka Foscarnet sodium 24 mg/ml
Nobeden 73
Združljivo
Brizgalka Hydromorphone hydrochloride 1 mg/ml
Brizgalka Fosfomycin 30 mg/ml
Glukoza 5% 4055
Združljivo
Brizgalka Hydromorphone hydrochloride 1 mg/ml
Brizgalka Fosfomycin 30 mg/ml
Natrijev klorid 0,9% 4055
Združljivo
Brizgalka Hydromorphone hydrochloride 1 mg/ml
Brizgalka Furosemide 10 mg/ml
314
Motnost v 24 urah Nezdružljivo
Brizgalka Hydromorphone hydrochloride 4 mg/ml
Brizgalka Gallium nitrate 1 mg/ml
Natrijev klorid 0,9% 91
Združljivo
Brizgalka Hydromorphone hydrochloride 0.5 mg/ml
Brizgalka Gemcitabine hydrochloride 10 mg/ml
Natrijev klorid 0,9% 1423
Združljivo
Brizgalka Hydromorphone hydrochloride 0.2 mg/ml
Brizgalka Gentamicin sulfate 0.8 mg/ml
Glukoza 5% 405
Združljivo
Brizgalka Hydromorphone hydrochloride
Brizgalka Glycopyrronium bromide
5073
Združljivo
Brizgalka Hydromorphone hydrochloride 0.5 mg/ml
Brizgalka Granisetron hydrochloride 0.056 mg/ml
Natrijev klorid 0,9% 6
Združljivo
Brizgalka Hydromorphone hydrochloride 0.5 mg/ml
Brizgalka Granisetron hydrochloride 1 mg/ml
Natrijev klorid 0,9% 57
Združljivo
Brizgalka Hydromorphone hydrochloride 0.5 mg/ml
Brizgalka Granisetron hydrochloride 0.05 mg/ml
Glukoza 5% 182
Združljivo
Brizgalka Hydromorphone hydrochloride 10 mg/ml
Brizgalka Haloperidol lactate 1 mg/ml
Nobeden 216
Združljivo
Brizgalka Hydromorphone hydrochloride 10 mg/ml
Brizgalka Haloperidol lactate 5 mg/ml
Nobeden 216
Združljivo
Brizgalka Hydromorphone hydrochloride 1 mg/ml
Brizgalka Haloperidol lactate 5 mg/ml
Nobeden 216
Združljivo
Brizgalka Hydromorphone hydrochloride 1 mg/ml
Brizgalka Haloperidol lactate 2 mg/ml
Nobeden 216
Združljivo
Brizgalka Hydromorphone hydrochloride 1 mg/ml
Brizgalka Haloperidol lactate 1 mg/ml
Nobeden 216
Združljivo
Brizgalka Hydromorphone hydrochloride 0.5 mg/ml
Brizgalka Haloperidol lactate 0.2 mg/ml
Glukoza 5% 1974
Združljivo
Brizgalka Hydromorphone hydrochloride
Brizgalka Haloperidol lactate
5073
Združljivo
Brizgalka Hydromorphone hydrochloride 10 mg/ml
Brizgalka Haloperidol lactate 2 mg/ml
Nobeden 216
Združljivo
Brizgalka Hydromorphone hydrochloride <12.5 mg/ml
Brizgalka Heparin sodium
Voda za injekcije 66
Združljivo
Brizgalka Hydromorphone hydrochloride <12.5 mg/ml
Brizgalka Heparin sodium
Natrijev klorid 0,9% 66
Združljivo
Brizgalka Hydromorphone hydrochloride 1 mg/ml
Brizgalka Heparin sodium 100 UI/ml
314
Takoj padavine Nezdružljivo
Brizgalka Hydromorphone hydrochloride >25 mg/ml
Brizgalka Heparin sodium <12,5 UI/ml
Voda za injekcije 66
Takoj padavine Nezdružljivo
Brizgalka Hydromorphone hydrochloride >10 mg/ml
Brizgalka Heparin sodium <1 UI/ml
Voda za injekcije 66
Takoj padavine Nezdružljivo
Brizgalka Hydromorphone hydrochloride >25 mg/ml
Brizgalka Heparin sodium <12,5 UI/ml
Natrijev klorid 0,9% 66
Združljivo
Brizgalka Hydromorphone hydrochloride 0.5 mg/ml
Brizgalka Hetastarch 60 mg/ml
Posebni topila 1721
Kemijska nestabilnost Nezdružljivo
Brizgalka Hydromorphone hydrochloride 2 >> 40 mg/ml
Brizgalka Hyaluronidase 150 UI/ml
Glukoza 5% 9
Združljivo
Brizgalka Hydromorphone hydrochloride
Brizgalka Hyaluronidase
3184
Kemijska nestabilnost Nezdružljivo
Brizgalka Hydromorphone hydrochloride 2 >> 40 mg/ml
Brizgalka Hyaluronidase 150 UI/ml
Natrijev klorid 0,9% 9
Združljivo
Brizgalka Hydromorphone hydrochloride 0.5 mg/ml
Brizgalka Hydroxyzine dihydrochloride 4 mg/ml
Glukoza 5% 1974
Združljivo
Brizgalka Hydromorphone hydrochloride 1 mg/ml
Brizgalka Isavuconazonium sulfate 1.5 mg/ml
Natrijev klorid 0,9% 3829
Združljivo
Brizgalka Hydromorphone hydrochloride 1 mg/ml
Brizgalka Isavuconazonium sulfate 1.5 mg/ml
Glukoza 5% 3829
Združljivo
Brizgalka Hydromorphone hydrochloride 0.2 mg/ml
Brizgalka Kanamycin sulfate 2.5 mg/ml
Glukoza 5% 405
Združljivo
Brizgalka Hydromorphone hydrochloride
Brizgalka Ketamine hydrochloride
5073
Združljivo
Brizgalka Hydromorphone hydrochloride 0.2 mg/ml
Brizgalka Ketamine hydrochloride 0.2 >> 1 mg/ml
Natrijev klorid 0,9% 2336
Združljivo
Brizgalka Hydromorphone hydrochloride 0.5 mg/ml
Brizgalka Ketorolac tromethamine 1 mg/ml
Glukoza 5% 1974
Združljivo
Brizgalka Hydromorphone hydrochloride 10 mg/ml
Brizgalka Ketorolac tromethamine 15 mg/ml
Nobeden 216
Združljivo
Brizgalka Hydromorphone hydrochloride 1 mg/ml
Brizgalka Ketorolac tromethamine 30 mg/ml
Nobeden 216
Združljivo
Brizgalka Hydromorphone hydrochloride 1 mg/ml
Brizgalka Ketorolac tromethamine 15 mg/ml
Nobeden 216
Takoj padavine Nezdružljivo
Brizgalka Hydromorphone hydrochloride 10 mg/ml
Brizgalka Ketorolac tromethamine 30 mg/ml
Nobeden 216
Združljivo
Brizgalka Hydromorphone hydrochloride 1 mg/ml
Brizgalka Labetalol hydrochloride 2 mg/ml
314
Padavine po 1 uri Nezdružljivo
Brizgalka Hydromorphone hydrochloride 0.5 mg/ml
Brizgalka Lansoprazole 0.55 mg/ml
Natrijev klorid 0,9% 1625
Združljivo
Brizgalka Hydromorphone hydrochloride 2 mg/ml
Brizgalka Levofloxacine 5 mg/ml
Nobeden 2335
Združljivo
Brizgalka Hydromorphone hydrochloride
Brizgalka Levomepromazine
5073
Združljivo
Brizgalka Hydromorphone hydrochloride 10 mg/ml
Brizgalka Levosimendan 2,5 mg/ml
4389
Združljivo
Brizgalka Hydromorphone hydrochloride 0.5 mg/ml
Brizgalka Linezolid 2 mg/ml
Nobeden 1925
Združljivo
Brizgalka Hydromorphone hydrochloride 0.5 mg/ml
Brizgalka Lorazepam 0.1 mg/ml
Glukoza 5% 1974
Združljivo
Brizgalka Hydromorphone hydrochloride 2 >> 40 mg/ml
Brizgalka Lorazepam 4 mg/ml
Nobeden 1497
Združljivo
Brizgalka Hydromorphone hydrochloride 1 mg/ml
Brizgalka Lorazepam 0.5 mg/ml
314
Združljivo
Brizgalka Hydromorphone hydrochloride 2 mg/ml
Brizgalka Magnesium sulfate 16,67 >> 100 mg/ml
Glukoza 5% 517
Združljivo
Brizgalka Hydromorphone hydrochloride 0.5 mg/ml
Brizgalka Melphalan 0.1 mg/ml
Natrijev klorid 0,9% 169
Združljivo
Brizgalka Hydromorphone hydrochloride 10 mg/ml
Brizgalka Meropenem 50 mg/ml
Voda za injekcije 4319
Kemijska nestabilnost Nezdružljivo
Brizgalka Hydromorphone hydrochloride
Brizgalka Metamizol sodium
2364
Združljivo
Brizgalka Hydromorphone hydrochloride
Brizgalka Metoclopramide hydrochloride
5073
Združljivo
Brizgalka Hydromorphone hydrochloride 0.5 mg/ml
Brizgalka Metoclopramide hydrochloride 5 mg/ml
Glukoza 5% 1974
Združljivo
Brizgalka Hydromorphone hydrochloride 0.2 mg/ml
Brizgalka Metronidazole 5 mg/ml
Glukoza 5% 405
Združljivo
Brizgalka Hydromorphone hydrochloride 0.5 mg/ml
Brizgalka Micafungin 1.5 mg/ml
Natrijev klorid 0,9% 2108
Združljivo
Brizgalka Hydromorphone hydrochloride
Brizgalka Midazolam hydrochloride
5073
Združljivo
Brizgalka Hydromorphone hydrochloride 0.5 mg/ml
Brizgalka Midazolam hydrochloride 0.2 mg/ml
Glukoza 5% 1974
Združljivo
Brizgalka Hydromorphone hydrochloride 0.5 >> 45 mg/ml
Brizgalka Midazolam hydrochloride 0.1 >> 4.5 mg/ml
Glukoza 5% 345
Združljivo
Brizgalka Hydromorphone hydrochloride 1 mg/ml
Brizgalka Midazolam hydrochloride 2 mg/ml
314
Združljivo
Brizgalka Hydromorphone hydrochloride 0.5 >> 45 mg/ml
Brizgalka Midazolam hydrochloride 0.1 >> 4.5 mg/ml
Natrijev klorid 0,9% 345
Združljivo
Brizgalka Hydromorphone hydrochloride 1 mg/ml
Brizgalka Milrinone lactate 0.2 mg/ml
314
Sprememba barve po 1 uri Nezdružljivo
Brizgalka Hydromorphone hydrochloride 0.2 mg/ml
Brizgalka Minocycline hydrochloride 0.2 mg/ml
Glukoza 5% 405
Združljivo
Brizgalka Hydromorphone hydrochloride 1 mg/ml
Brizgalka Morphine sulfate 2 mg/ml
314
Združljivo
Brizgalka Hydromorphone hydrochloride 0.2 mg/ml
Brizgalka Moxalactam 20 mg/ml
Glukoza 5% 405
Združljivo
Brizgalka Hydromorphone hydrochloride 0.2 mg/ml
Brizgalka Nafcillin sodium 20 mg/ml
Glukoza 5% 405
Združljivo
Brizgalka Hydromorphone hydrochloride 10 mg/ml
Brizgalka Naloxone hydrochloride 0.4 mg/ml
Nobeden 3408
Združljivo
Brizgalka Hydromorphone hydrochloride 1 mg/ml
Brizgalka Nicardipine hydrochloride 1 mg/ml
314
Združljivo
Brizgalka Hydromorphone hydrochloride 1 mg/ml
Brizgalka Nitroglycerin 0.4 mg/ml
314
Združljivo
Brizgalka Hydromorphone hydrochloride 1 mg/ml
Brizgalka Norepinephrine bitartrate 0.128 mg/ml
314
Združljivo
Brizgalka Hydromorphone hydrochloride 0,5 mg/ml
Brizgalka Ondansetron hydrochloride 0,1 & 1 mg/ml
Natrijev klorid 0,9% 6
Združljivo
Brizgalka Hydromorphone hydrochloride 0.5 mg/ml
Brizgalka Ondansetron hydrochloride 1 mg/ml
Natrijev klorid 0,9% 334
Združljivo
Brizgalka Hydromorphone hydrochloride 0.2 mg/ml
Brizgalka Oxacillin sodium 20 mg/ml
Glukoza 5% 405
Združljivo
Brizgalka Hydromorphone hydrochloride 0,5 mg/ml
Brizgalka Oxaliplatin 0,5 mg/ml
Glukoza 5% 1662
Združljivo
Brizgalka Hydromorphone hydrochloride 0.5 mg/ml
Brizgalka Paclitaxel 1.2 mg/ml
Glukoza 5% 248
Združljivo
Brizgalka Hydromorphone hydrochloride 0.5 mg/ml
Brizgalka Palonosetron hydrochloride 50 µg/ml
Glukoza 5% 2196
Padavine po 4 urah Nezdružljivo
Brizgalka Hydromorphone hydrochloride
Brizgalka Pantoprazole sodium
2090
Združljivo
Brizgalka Hydromorphone hydrochloride 10 mg/ml
Brizgalka Paracetamol 10 mg/ml
4742
Združljivo
Brizgalka Hydromorphone hydrochloride 2 mg/ml
Brizgalka Paracetamol 10 mg/ml
Nobeden 3571
Nedoločena nezdružljivost Nezdružljivo
Brizgalka Hydromorphone hydrochloride
Brizgalka Parecoxib sodium
3504
Združljivo
Brizgalka Hydromorphone hydrochloride 0.5 mg/ml
Brizgalka Pemetrexed disodium 20 mg/ml
Natrijev klorid 0,9% 1953
Združljivo
Brizgalka Hydromorphone hydrochloride 0.2 mg/ml
Brizgalka Penicillin G potassium 0.1 MUI/ml
Glukoza 5% 405
Takoj padavine Nezdružljivo
Brizgalka Hydromorphone hydrochloride 2 >> 40 mg/ml
Brizgalka Phenobarbital sodium 120 mg/ml
Glukoza 5% 226
Združljivo
Brizgalka Hydromorphone hydrochloride 0.5 mg/ml
Brizgalka Phenobarbital sodium 2 mg/ml
Glukoza 5% 1974
Takoj padavine Nezdružljivo
Brizgalka Hydromorphone hydrochloride 2 >> 40 mg/ml
Brizgalka Phenytoin sodium 50 mg/ml
Glukoza 5% 226
Padavine po 1 uri Nezdružljivo
Brizgalka Hydromorphone hydrochloride 0.5 mg/ml
Brizgalka Phenytoin sodium 2 mg/ml
Glukoza 5% 1974
Združljivo
Brizgalka Hydromorphone hydrochloride 0.2 mg/ml
Brizgalka Piperacillin sodium 60 mg/ml
Glukoza 5% 405
Združljivo
Brizgalka Hydromorphone hydrochloride 0.5 mg/ml
Brizgalka Piperacillin sodium / tazobactam 40/5 mg/ml
Glukoza 5% 81
Združljivo
Brizgalka Hydromorphone hydrochloride 1 mg/ml
Brizgalka Plazomicin sulfate 24 mg/ml
Natrijev klorid 0,9% 4145
Združljivo
Brizgalka Hydromorphone hydrochloride
Brizgalka Posaconazole
4380
Združljivo
Brizgalka Hydromorphone hydrochloride 25 mg/ml
Brizgalka Potassium chloride 1000 mEq/l
Voda za injekcije 66
Združljivo
Brizgalka Hydromorphone hydrochloride 5 >> 20 mg/ml
Brizgalka Potassium chloride 500 & 1000 mEq/l
Glukoza 5% 66
Združljivo
Brizgalka Hydromorphone hydrochloride 2 >> 40 mg/ml
Brizgalka Prochlorperazine edysilate 5 mg/ml
Nobeden 1497
Združljivo
Brizgalka Hydromorphone hydrochloride 0,5 mg/ml
Brizgalka Prochlorperazine edysilate 1,5 mg/ml
Natrijev klorid 0,9% 767
Združljivo
Brizgalka Hydromorphone hydrochloride 1 mg/ml
Brizgalka Promethazine hydrochloride 0.3 mg/ml
Natrijev klorid 0,9% 795
Združljivo
Brizgalka Hydromorphone hydrochloride 0.5 mg/ml
Brizgalka Propofol 10 mg/ml
Nobeden 300
Združljivo
Brizgalka Hydromorphone hydrochloride 1 mg/ml
Brizgalka Ranitidine hydrochloride 1 mg/ml
314
Združljivo
Brizgalka Hydromorphone hydrochloride 2 mg/ml
Brizgalka Ranitidine hydrochloride 25 mg/ml
Nobeden 58
Združljivo
Brizgalka Hydromorphone hydrochloride 1 mg/ml
Brizgalka Remdesivir 1 mg/ml
Natrijev klorid 0,9% 4768
Združljivo
Brizgalka Hydromorphone hydrochloride 10 mg/ml
Brizgalka Salbutamol sulfate 1 mg/ml
Nobeden 3216
Padavine po 30 urah Nezdružljivo
Brizgalka Hydromorphone hydrochloride 0.5 mg/ml
Brizgalka Sargramostim 10 µg/ml
Natrijev klorid 0,9% 335
Združljivo
Brizgalka Hydromorphone hydrochloride 0.5 mg/ml
Brizgalka Scopolamine hydrobromide 0.05 mg/ml
Glukoza 5% 1974
Združljivo
Brizgalka Hydromorphone hydrochloride
Brizgalka Scopolamine hydrobromide
5073
Združljivo
Brizgalka Hydromorphone hydrochloride 0,1 & 1 mg/ml
Brizgalka Tacrolimus 5 & 20 µg/ml
Glukoza 5% 814
Združljivo
Brizgalka Hydromorphone hydrochloride 1 mg/ml
Brizgalka Tedizolid phosphate 0.8 mg/ml
Natrijev klorid 0,9% 3827
Združljivo
Brizgalka Hydromorphone hydrochloride 0.5 mg/ml
Brizgalka Teniposide 0.1 mg/ml
Glukoza 5% 905
Takoj padavine Nezdružljivo
Brizgalka Hydromorphone hydrochloride 10 mg/ml
Brizgalka Thiopental sodium 25 mg/ml
Natrijev klorid 0,9% 3767
Padavine po 4 urah Nezdružljivo
Brizgalka Hydromorphone hydrochloride 1 mg/ml
Brizgalka Thiopental sodium 25 mg/ml
314
Združljivo
Brizgalka Hydromorphone hydrochloride 0.5 mg/ml
Brizgalka Thiotepa 1 mg/ml
Glukoza 5% 249
Združljivo
Brizgalka Hydromorphone hydrochloride
Natrijev klorid 0,9% 5073
Združljivo
Brizgalka Hydromorphone hydrochloride
Brizgalka Scopolamine N-butyl bromide
5073
Združljivo
Brizgalka Hydromorphone hydrochloride 1 mg/ml
Brizgalka Sulbactam/durlobactam 15/15 mg/ml
Natrijev klorid 0,9% 4801
Združljivo
Brizgalka Hydromorphone hydrochloride 0.2 mg/ml
Brizgalka Tobramycin sulfate 0.8 mg/ml
Glukoza 5% 405
Združljivo
Brizgalka Hydromorphone hydrochloride 0.2 mg/ml
Brizgalka Vancomycin hydrochloride 5 mg/ml
Glukoza 5% 405
Združljivo
Brizgalka Hydromorphone hydrochloride 2 mg/ml
Brizgalka Vancomycin hydrochloride 4 mg/ml
Natrijev klorid 0,9% 2335
Združljivo
Brizgalka Hydromorphone hydrochloride 1 mg/ml
Brizgalka Vecuronium bromide 1 mg/ml
314
Združljivo
Brizgalka Hydromorphone hydrochloride 0.016 mg/ml
Brizgalka Verapamil hydrochloride 0.08 mg/ml
Natrijev klorid 0,9% 1057
Združljivo
Brizgalka Hydromorphone hydrochloride 0.016 mg/ml
Brizgalka Verapamil hydrochloride 0.08 mg/ml
Glukoza 5% 1057
Združljivo
Brizgalka Hydromorphone hydrochloride 0.5 mg/ml
Brizgalka Vinorelbine tartrate 1 mg/ml
Natrijev klorid 0,9% 84

  Mentions Légales