Viimeisin päivitys :
27/04/2026
Analgeetit   Hydromorphone hydrochloride  
Injektioneste
Stabilius liuoksessa Stabilius seoksissa Tekijät, jotka vaikuttavat stabiliuteen Yhteensopivuus Antotapa Viitteet pdf
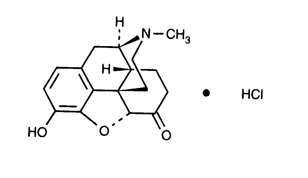
   Kemiallinen rakenne  

Kauppanimi   Kauppanimi     

Trade names are indicative and excipients composition can be different depending on the country and manufacturers

Dilaudid Kanada, Yhdysvallat
Hydal Itävalta
Palladon Sveitsi, Tanska
Palladone Iso-Britannia
Yhteensopivuus   Injektioneste   Yhteensopivuus : Hydromorphone hydrochloride              
Tämä näyttö osoittaa yhteensopivuuden tai yhteensopimattomuuden yhteensopimattomuuden tyypin kanssa (saostuminen, värinmuutos, emulsiomuutos jne.). Tässä esitetty yhteensopivuus on useimmissa tapauksissa vain fysikaalinen, ja kunkin molekyylin kemiallista stabiilisuutta arvioidaan harvoin. Näiden seosten arviointia tutkittiin mahdollisuuden antaa Y-kohta potilaalle. Näitä tietoja ei voida käyttää seosten valmistamiseen etukäteen pusseissa tai ruiskuissa. Tämäntyyppiset tiedot ovat saatavilla "Stabiilisuus seoksessa" -näytössä.
Yhdiste Liuotin Viitteet
Yhteensopiva
Injektioneste Hydromorphone hydrochloride 0.04 mg/ml
Injektioneste Aciclovir sodium 5 mg/ml
Glukoosi 5% 336
Yhteensopiva
Injektioneste Hydromorphone hydrochloride 0.5 mg/ml
Injektioneste Allopurinol sodium 3 mg/ml
Natriumkloridi 0,9% 307
Yhteensopiva
Injektioneste Hydromorphone hydrochloride 0.5 mg/ml
Injektioneste Amifostine 10 mg/ml
Glukoosi 5% 3
Yhteensopiva
Injektioneste Hydromorphone hydrochloride 0.2 mg/ml
Injektioneste Amikacin sulfate 5 mg/ml
Glukoosi 5% 405
Yhteensopiva
Injektioneste Hydromorphone hydrochloride 10 mg/ml
Injektioneste Amoxicillin sodium / clavulanic acid 100/10 mg/ml
3824
Yhteensopiva
Injektioneste Hydromorphone hydrochloride 2 >> 40 mg/ml
Injektioneste Ampicillin sodium 20 & 250 mg/ml
Glukoosi 5% 226
Yhteensopiva
Injektioneste Hydromorphone hydrochloride 0.5 mg/ml
Injektioneste Amsacrine 1 mg/ml
Glukoosi 5% 253
Yhteensopiva
Injektioneste Hydromorphone hydrochloride 0.5 mg/ml
Injektioneste Anidulafungin 0.5 mg/ml
Glukoosi 5% 1982
Yhteensopiva
Injektioneste Hydromorphone hydrochloride 0.5 mg/ml
Injektioneste Aztreonam 40 mg/ml
Glukoosi 5% 99
Yhteensopiva
Injektioneste Hydromorphone hydrochloride 0.5 mg/ml
Injektioneste Bivalirudin 5 mg/ml
Glukoosi 5% 1713
Emulsion välitön epävakaus yhteensopimaton
Injektioneste Hydromorphone hydrochloride 0.5 mg/ml
Parenteraalinen (lipidien) 1415
Yhteensopiva
Injektioneste Hydromorphone hydrochloride 10 mg/ml
Ringerlaktaattiliuos 4603
Sameuden menetys yhteensopimaton
Injektioneste Hydromorphone hydrochloride 0.5 mg/ml
Injektioneste Amphotericin B cholesteryl sulfate complex 0.83 mg/ml
Glukoosi 5% 921
Yhteensopiva
Injektioneste Hydromorphone hydrochloride 0.2 mg/ml
Injektioneste Ampicillin sodium 20 mg/ml
Glukoosi 5% 405
Yhteensopiva
Injektioneste Hydromorphone hydrochloride 0.5 mg/ml
Injektioneste Atropine sulfate 0.4 mg/ml
Glukoosi 5% 1974
Yhteensopiva
Injektioneste Hydromorphone hydrochloride 0,02 & 0,1 mg/ml
Injektioneste Bupivacaine hydrochloride 0,625 & 1,25 mg/ml
Natriumkloridi 0,9% 306
Yhteensopiva
Injektioneste Hydromorphone hydrochloride
Glukoosi 5% 5073
Yhteensopiva
Injektioneste Hydromorphone hydrochloride 0,02 & 0,04 mg/ml
Injektioneste Bupivacaine hydrochloride 2,5 mg/ml
Natriumkloridi 0,9% 1931
Yhteensopiva
Injektioneste Hydromorphone hydrochloride 15 mg/ml
Injektioneste Bupivacaine hydrochloride 10 mg/ml
Ei mikään 4200
Yhteensopiva
Injektioneste Hydromorphone hydrochloride 2,5 mg/ml
Parenteraalinen (lipidien) 4507
Yhteensopiva
Injektioneste Hydromorphone hydrochloride 25 mg/ml
Injektioneste Bupivacaine hydrochloride 20 mg/ml
Natriumkloridi 0,9% 3131
Yhteensopiva
Injektioneste Hydromorphone hydrochloride 65 mg/ml
Injektioneste Bupivacaine hydrochloride 7,5 mg/ml
Ei mikään 221
Yhteensopiva
Injektioneste Hydromorphone hydrochloride 50 mg/ml
Injektioneste Caffeine 10 mg/ml
Ei mikään 3964
Yhteensopiva
Injektioneste Hydromorphone hydrochloride 1 mg/ml
Injektioneste Caspofungin acetate 0,7 mg/ml
Natriumkloridi 0,9% 2247
Yhteensopiva
Injektioneste Hydromorphone hydrochloride 1 mg/ml
Injektioneste Caspofungin acetate 0.5 mg/ml
Natriumkloridi 0,9% 2233
Yhteensopiva
Injektioneste Hydromorphone hydrochloride 0.2 mg/ml
Injektioneste Cefalotin sodium 20 mg/ml
Glukoosi 5% 405
Yhteensopiva
Injektioneste Hydromorphone hydrochloride 0.2 mg/ml
Injektioneste Cefamandole nafate 20 mg/ml
Glukoosi 5% 405
Yhteensopiva
Injektioneste Hydromorphone hydrochloride 0.2 mg/ml
Injektioneste Cefazolin sodium 20 mg/ml
Glukoosi 5% 405
Yhteensopiva
Injektioneste Hydromorphone hydrochloride 2 >> 40 mg/ml
Injektioneste Cefazolin sodium 20 mg/ml
Glukoosi 5% 226
Välittömät sateet yhteensopimaton
Injektioneste Hydromorphone hydrochloride 2 >> 40 mg/ml
Injektioneste Cefazolin sodium >200 mg/ml
Glukoosi 5% 226
Yhteensopiva
Injektioneste Hydromorphone hydrochloride 1 mg/ml
Injektioneste Cefiderocol sulfate tosylate 20 mg/mL
Natriumkloridi 0,9% 4528
Yhteensopiva
Injektioneste Hydromorphone hydrochloride 1 mg/ml
Injektioneste Cefiderocol sulfate tosylate 20 mg/mL
Glukoosi 5% 4528
Yhteensopiva
Injektioneste Hydromorphone hydrochloride 0.2 mg/ml
Injektioneste Cefmetazole sodium 100 mg/ml
Injektionesteisiin käytettävä vesi 93
Yhteensopiva
Injektioneste Hydromorphone hydrochloride 0.2 mg/ml
Injektioneste Cefoperazone sodium 20 mg/ml
Glukoosi 5% 405
Yhteensopiva
Injektioneste Hydromorphone hydrochloride 0.2 mg/ml
Injektioneste Ceforanide 20 mg/ml
Glukoosi 5% 405
Yhteensopiva
Injektioneste Hydromorphone hydrochloride 0.2 mg/ml
Injektioneste Cefotaxime sodium 20 mg/ml
Glukoosi 5% 405
Yhteensopiva
Injektioneste Hydromorphone hydrochloride 0.2 mg/ml
Injektioneste Cefoxitin sodium 20 mg/ml
Glukoosi 5% 405
Yhteensopiva
Injektioneste Hydromorphone hydrochloride 0,5 mg/ml
Injektioneste Ceftaroline fosamil 2,22 mg/ml
Ringerlaktaattiliuos 3249
Yhteensopiva
Injektioneste Hydromorphone hydrochloride 0,5 mg/ml
Injektioneste Ceftaroline fosamil 2,22 mg/ml
Glukoosi 5% 3249
Yhteensopiva
Injektioneste Hydromorphone hydrochloride 0,5 mg/ml
Injektioneste Ceftaroline fosamil 2,22 mg/ml
Natriumkloridi 0,9% 3249
Yhteensopiva
Injektioneste Hydromorphone hydrochloride 2 >> 40 mg/ml
Injektioneste Ceftazidime 40 & 180 mg/ml
Glukoosi 5% 226
Yhteensopiva
Injektioneste Hydromorphone hydrochloride 0.2 mg/ml
Injektioneste Ceftizoxime sodium 20 mg/ml
Glukoosi 5% 405
Välittömät sateet yhteensopimaton
Injektioneste Hydromorphone hydrochloride 1 mg/ml
Injektioneste Ceftobiprole medocaril sodium 2 mg/ml
Natriumkloridi 0,9% 2269
Välittömät sateet yhteensopimaton
Injektioneste Hydromorphone hydrochloride 1 mg/ml
Injektioneste Ceftobiprole medocaril sodium 2 mg/ml
Ringerlaktaattiliuos 2269
Määrittelemätön yhteensopimattomuus yhteensopimaton
Injektioneste Hydromorphone hydrochloride
Injektioneste Ceftobiprole medocaril sodium
4650
Välittömät sateet yhteensopimaton
Injektioneste Hydromorphone hydrochloride 1 mg/ml
Injektioneste Ceftobiprole medocaril sodium 2 mg/ml
Glukoosi 5% 2269
Yhteensopiva
Injektioneste Hydromorphone hydrochloride 1 mg/ml
Injektioneste Ceftolozane / tazobactam 10/5 mg/ml
Glukoosi 5% 3828
Yhteensopiva
Injektioneste Hydromorphone hydrochloride 1 mg/ml
Injektioneste Ceftolozane / tazobactam 10/5 mg/ml
Natriumkloridi 0,9% 3828
Yhteensopiva
Injektioneste Hydromorphone hydrochloride 0.2 mg/ml
Injektioneste Cefuroxime sodium 30 mg/ml
Glukoosi 5% 405
Yhteensopiva
Injektioneste Hydromorphone hydrochloride 0.2 mg/ml
Injektioneste Chloramphenicol sodium succinate 20 mg/ml
Glukoosi 5% 405
Yhteensopiva
Injektioneste Hydromorphone hydrochloride 0.5 mg/ml
Injektioneste Cisatracurium besylate 0.1 >> 5 mg/ml
Glukoosi 5% 299
Yhteensopiva
Injektioneste Hydromorphone hydrochloride 0.5 mg/ml
Injektioneste Cladribine 0.015 mg/ml
Natriumkloridi 0,9% 1496
Yhteensopiva
Injektioneste Hydromorphone hydrochloride 0.5 mg/ml
Injektioneste Cladribine 0.5 mg/ml
Natriumkloridi 0,9%, sisältää säilytysaineen 1496
Yhteensopiva
Injektioneste Hydromorphone hydrochloride 10 mg/ml
Injektioneste Cloxacillin sodium 100 mg/ml
Injektionesteisiin käytettävä vesi 3012
Yhteensopiva
Injektioneste Hydromorphone hydrochloride 0.2 mg/ml
Injektioneste Co-trimoxazole 4/0.8 mg/ml
Glukoosi 5% 405
Yhteensopiva
Injektioneste Hydromorphone hydrochloride < 10 mg/ml
Injektioneste Dexamethasone sodium phosphate 2 >> 10 mg/ml
389
Yhteensopiva
Injektioneste Hydromorphone hydrochloride 0.5 mg/ml
Injektioneste Dexamethasone sodium phosphate 1 mg/ml
Glukoosi 5% 1974
Yhteensopiva
Injektioneste Hydromorphone hydrochloride 1 >> 40 mg/ml
Injektioneste Dexamethasone sodium phosphate < 2 mg/ml
389
Yhteensopiva
Injektioneste Hydromorphone hydrochloride 0.5 mg/ml
Injektioneste Dexmedetomidine 4 µg/ml
Natriumkloridi 0,9% 1712
Sade 2 tunnin kuluttua yhteensopimaton
Injektioneste Hydromorphone hydrochloride
Injektioneste Dimenhydrinate
2087
Yhteensopiva
Injektioneste Hydromorphone hydrochloride 0.5 mg/ml
Parenteraalisesti (rasva-free) 301
Yhteensopiva
Injektioneste Hydromorphone hydrochloride 2 mg/ml
Injektioneste Cimetidine hydrochloride 150 mg/ml
1438
Yhteensopiva
Injektioneste Hydromorphone hydrochloride 0.2 mg/ml
Injektioneste Clindamycin phosphate 12 mg/ml
Glukoosi 5% 405
Välittömät sateet yhteensopimaton
Injektioneste Hydromorphone hydrochloride 2 >> 40 mg/ml
Injektioneste Cloxacillin sodium 40 & 250 mg/ml
Glukoosi 5% 226
Välittömät sateet yhteensopimaton
Injektioneste Hydromorphone hydrochloride
Injektioneste Cyclizine lactate
5073
Yhteensopiva
Injektioneste Hydromorphone hydrochloride
Injektioneste Dexamethasone sodium phosphate
5073
Välittömät sateet yhteensopimaton
Injektioneste Hydromorphone hydrochloride > 15 mg/ml
Injektioneste Dexamethasone sodium phosphate > 3 mg/ml
389
Yhteensopiva
Injektioneste Hydromorphone hydrochloride 0.5 mg/ml
Injektioneste Diazepam 0.5 mg/ml
Glukoosi 5% 1974
Välittömät sateet yhteensopimaton
Injektioneste Hydromorphone hydrochloride 2 >> 40 mg/ml
Injektioneste Diazepam 5 mg/ml
Glukoosi 5% 226
Yhteensopiva
Injektioneste Hydromorphone hydrochloride 1 mg/ml
Injektioneste Diltiazem hydrochloride 1 mg/ml
314
Yhteensopiva
Injektioneste Hydromorphone hydrochloride 2 >> 40 mg/ml
Injektioneste Dimenhydrinate 50 mg/ml
Ei mikään 1497
Yhteensopiva
Injektioneste Hydromorphone hydrochloride 0.5 mg/ml
Injektioneste Diphenhydramine hydrochloride 2 mg/ml
Glukoosi 5% 1974
Yhteensopiva
Injektioneste Hydromorphone hydrochloride 1 mg/ml
Injektioneste Dobutamine hydrochloride 4 mg/ml
314
Yhteensopiva
Injektioneste Hydromorphone hydrochloride 0.5 mg/ml
Injektioneste Docetaxel 0.9 mg/ml
Glukoosi 5% 1754
Yhteensopiva
Injektioneste Hydromorphone hydrochloride 1 mg/ml
Injektioneste Dopamine hydrochloride 3.2 mg/ml
314
Yhteensopiva
Injektioneste Hydromorphone hydrochloride 1 mg/ml
Injektioneste Doripenem 5 mg/ml
Glukoosi 5% 2262
Yhteensopiva
Injektioneste Hydromorphone hydrochloride 1 mg/ml
Injektioneste Doripenem 5 mg/ml
Natriumkloridi 0,9% 2262
Yhteensopiva
Injektioneste Hydromorphone hydrochloride 0.5 mg/ml
Injektioneste Doxorubicin hydrochloride liposome peg 0.4 mg/ml
Glukoosi 5% 251
Yhteensopiva
Injektioneste Hydromorphone hydrochloride 0.2 mg/ml
Injektioneste Doxycycline hyclate 1 mg/ml
Glukoosi 5% 405
Yhteensopiva
Injektioneste Hydromorphone hydrochloride 1 mg/ml
Injektioneste Epinephrine hydrochloride 20 µg/ml
314
Yhteensopiva
Injektioneste Hydromorphone hydrochloride 1 mg/ml
Injektioneste Eravacycline 0,6 mg/ml
Natriumkloridi 0,9% 4434
Yhteensopiva
Injektioneste Hydromorphone hydrochloride 0.2 mg/ml
Injektioneste Erythromycin lactobionate 5 mg/ml
Glukoosi 5% 405
Yhteensopiva
Injektioneste Hydromorphone hydrochloride 0.5 mg/ml
Injektioneste Etoposide phosphate 5 mg/ml
Glukoosi 5% 1410
Yhteensopiva
Injektioneste Hydromorphone hydrochloride 0.5 mg/ml
Injektioneste Famotidine 2 mg/ml
Natriumkloridi 0,9% 215
Yhteensopiva
Injektioneste Hydromorphone hydrochloride 0.5 mg/ml
Injektioneste Fenoldopam mesylate 80 µg/ml
Natriumkloridi 0,9% 1803
Yhteensopiva
Injektioneste Hydromorphone hydrochloride 1 mg/ml
Injektioneste Fentanyl citrate 50 µg/ml
314
Yhteensopiva
Injektioneste Hydromorphone hydrochloride 0.5 mg/ml
Injektioneste Filgrastim 30 µg/ml
Glukoosi 5% 244
Yhteensopiva
Injektioneste Hydromorphone hydrochloride 0.5 mg/ml
Injektioneste Fludarabine phosphate 1 mg/ml
Glukoosi 5% 492
Yhteensopiva
Injektioneste Hydromorphone hydrochloride 0.5 mg/ml
Injektioneste Fluorouracil 1 & 16 mg/ml
Glukoosi 5% 513
Yhteensopiva
Injektioneste Hydromorphone hydrochloride 0.5 mg/ml
Injektioneste Fluorouracil 1 & 16 mg/ml
Natriumkloridi 0,9% 513
Yhteensopiva
Injektioneste Hydromorphone hydrochloride 10 mg/ml
Injektioneste Foscarnet sodium 24 mg/ml
Ei mikään 73
Yhteensopiva
Injektioneste Hydromorphone hydrochloride 1 mg/ml
Injektioneste Fosfomycin 30 mg/ml
Glukoosi 5% 4055
Yhteensopiva
Injektioneste Hydromorphone hydrochloride 1 mg/ml
Injektioneste Fosfomycin 30 mg/ml
Natriumkloridi 0,9% 4055
Yhteensopiva
Injektioneste Hydromorphone hydrochloride 1 mg/ml
Injektioneste Furosemide 10 mg/ml
314
Sameus 24 tunnissa yhteensopimaton
Injektioneste Hydromorphone hydrochloride 4 mg/ml
Injektioneste Gallium nitrate 1 mg/ml
Natriumkloridi 0,9% 91
Yhteensopiva
Injektioneste Hydromorphone hydrochloride 0.5 mg/ml
Injektioneste Gemcitabine hydrochloride 10 mg/ml
Natriumkloridi 0,9% 1423
Yhteensopiva
Injektioneste Hydromorphone hydrochloride 0.2 mg/ml
Injektioneste Gentamicin sulfate 0.8 mg/ml
Glukoosi 5% 405
Yhteensopiva
Injektioneste Hydromorphone hydrochloride
Injektioneste Glycopyrronium bromide
5073
Yhteensopiva
Injektioneste Hydromorphone hydrochloride 0.5 mg/ml
Injektioneste Granisetron hydrochloride 0.056 mg/ml
Natriumkloridi 0,9% 6
Yhteensopiva
Injektioneste Hydromorphone hydrochloride 0.5 mg/ml
Injektioneste Granisetron hydrochloride 1 mg/ml
Natriumkloridi 0,9% 57
Yhteensopiva
Injektioneste Hydromorphone hydrochloride 0.5 mg/ml
Injektioneste Granisetron hydrochloride 0.05 mg/ml
Glukoosi 5% 182
Yhteensopiva
Injektioneste Hydromorphone hydrochloride 10 mg/ml
Injektioneste Haloperidol lactate 1 mg/ml
Ei mikään 216
Yhteensopiva
Injektioneste Hydromorphone hydrochloride 10 mg/ml
Injektioneste Haloperidol lactate 5 mg/ml
Ei mikään 216
Yhteensopiva
Injektioneste Hydromorphone hydrochloride 1 mg/ml
Injektioneste Haloperidol lactate 5 mg/ml
Ei mikään 216
Yhteensopiva
Injektioneste Hydromorphone hydrochloride 1 mg/ml
Injektioneste Haloperidol lactate 2 mg/ml
Ei mikään 216
Yhteensopiva
Injektioneste Hydromorphone hydrochloride 1 mg/ml
Injektioneste Haloperidol lactate 1 mg/ml
Ei mikään 216
Yhteensopiva
Injektioneste Hydromorphone hydrochloride 0.5 mg/ml
Injektioneste Haloperidol lactate 0.2 mg/ml
Glukoosi 5% 1974
Yhteensopiva
Injektioneste Hydromorphone hydrochloride
Injektioneste Haloperidol lactate
5073
Yhteensopiva
Injektioneste Hydromorphone hydrochloride 10 mg/ml
Injektioneste Haloperidol lactate 2 mg/ml
Ei mikään 216
Yhteensopiva
Injektioneste Hydromorphone hydrochloride <12.5 mg/ml
Injektioneste Heparin sodium
Injektionesteisiin käytettävä vesi 66
Yhteensopiva
Injektioneste Hydromorphone hydrochloride <12.5 mg/ml
Injektioneste Heparin sodium
Natriumkloridi 0,9% 66
Yhteensopiva
Injektioneste Hydromorphone hydrochloride 1 mg/ml
Injektioneste Heparin sodium 100 UI/ml
314
Välittömät sateet yhteensopimaton
Injektioneste Hydromorphone hydrochloride >25 mg/ml
Injektioneste Heparin sodium <12,5 UI/ml
Injektionesteisiin käytettävä vesi 66
Välittömät sateet yhteensopimaton
Injektioneste Hydromorphone hydrochloride >10 mg/ml
Injektioneste Heparin sodium <1 UI/ml
Injektionesteisiin käytettävä vesi 66
Välittömät sateet yhteensopimaton
Injektioneste Hydromorphone hydrochloride >25 mg/ml
Injektioneste Heparin sodium <12,5 UI/ml
Natriumkloridi 0,9% 66
Yhteensopiva
Injektioneste Hydromorphone hydrochloride 0.5 mg/ml
Injektioneste Hetastarch 60 mg/ml
spesifiseen liuottimeen 1721
Kemiallinen epävakaus yhteensopimaton
Injektioneste Hydromorphone hydrochloride 2 >> 40 mg/ml
Injektioneste Hyaluronidase 150 UI/ml
Glukoosi 5% 9
Yhteensopiva
Injektioneste Hydromorphone hydrochloride
Injektioneste Hyaluronidase
3184
Kemiallinen epävakaus yhteensopimaton
Injektioneste Hydromorphone hydrochloride 2 >> 40 mg/ml
Injektioneste Hyaluronidase 150 UI/ml
Natriumkloridi 0,9% 9
Yhteensopiva
Injektioneste Hydromorphone hydrochloride 0.5 mg/ml
Injektioneste Hydroxyzine dihydrochloride 4 mg/ml
Glukoosi 5% 1974
Yhteensopiva
Injektioneste Hydromorphone hydrochloride 1 mg/ml
Injektioneste Isavuconazonium sulfate 1.5 mg/ml
Natriumkloridi 0,9% 3829
Yhteensopiva
Injektioneste Hydromorphone hydrochloride 1 mg/ml
Injektioneste Isavuconazonium sulfate 1.5 mg/ml
Glukoosi 5% 3829
Yhteensopiva
Injektioneste Hydromorphone hydrochloride 0.2 mg/ml
Injektioneste Kanamycin sulfate 2.5 mg/ml
Glukoosi 5% 405
Yhteensopiva
Injektioneste Hydromorphone hydrochloride
Injektioneste Ketamine hydrochloride
5073
Yhteensopiva
Injektioneste Hydromorphone hydrochloride 0.2 mg/ml
Injektioneste Ketamine hydrochloride 0.2 >> 1 mg/ml
Natriumkloridi 0,9% 2336
Yhteensopiva
Injektioneste Hydromorphone hydrochloride 0.5 mg/ml
Injektioneste Ketorolac tromethamine 1 mg/ml
Glukoosi 5% 1974
Yhteensopiva
Injektioneste Hydromorphone hydrochloride 10 mg/ml
Injektioneste Ketorolac tromethamine 15 mg/ml
Ei mikään 216
Yhteensopiva
Injektioneste Hydromorphone hydrochloride 1 mg/ml
Injektioneste Ketorolac tromethamine 30 mg/ml
Ei mikään 216
Yhteensopiva
Injektioneste Hydromorphone hydrochloride 1 mg/ml
Injektioneste Ketorolac tromethamine 15 mg/ml
Ei mikään 216
Välittömät sateet yhteensopimaton
Injektioneste Hydromorphone hydrochloride 10 mg/ml
Injektioneste Ketorolac tromethamine 30 mg/ml
Ei mikään 216
Yhteensopiva
Injektioneste Hydromorphone hydrochloride 1 mg/ml
Injektioneste Labetalol hydrochloride 2 mg/ml
314
Sade 1 tunnin kuluttua yhteensopimaton
Injektioneste Hydromorphone hydrochloride 0.5 mg/ml
Injektioneste Lansoprazole 0.55 mg/ml
Natriumkloridi 0,9% 1625
Yhteensopiva
Injektioneste Hydromorphone hydrochloride 2 mg/ml
Injektioneste Levofloxacine 5 mg/ml
Ei mikään 2335
Yhteensopiva
Injektioneste Hydromorphone hydrochloride
Injektioneste Levomepromazine
5073
Yhteensopiva
Injektioneste Hydromorphone hydrochloride 10 mg/ml
Injektioneste Levosimendan 2,5 mg/ml
4389
Yhteensopiva
Injektioneste Hydromorphone hydrochloride 0.5 mg/ml
Injektioneste Linezolid 2 mg/ml
Ei mikään 1925
Yhteensopiva
Injektioneste Hydromorphone hydrochloride 0.5 mg/ml
Injektioneste Lorazepam 0.1 mg/ml
Glukoosi 5% 1974
Yhteensopiva
Injektioneste Hydromorphone hydrochloride 2 >> 40 mg/ml
Injektioneste Lorazepam 4 mg/ml
Ei mikään 1497
Yhteensopiva
Injektioneste Hydromorphone hydrochloride 1 mg/ml
Injektioneste Lorazepam 0.5 mg/ml
314
Yhteensopiva
Injektioneste Hydromorphone hydrochloride 2 mg/ml
Injektioneste Magnesium sulfate 16,67 >> 100 mg/ml
Glukoosi 5% 517
Yhteensopiva
Injektioneste Hydromorphone hydrochloride 0.5 mg/ml
Injektioneste Melphalan 0.1 mg/ml
Natriumkloridi 0,9% 169
Yhteensopiva
Injektioneste Hydromorphone hydrochloride 10 mg/ml
Injektioneste Meropenem 50 mg/ml
Injektionesteisiin käytettävä vesi 4319
Kemiallinen epävakaus yhteensopimaton
Injektioneste Hydromorphone hydrochloride
Injektioneste Metamizol sodium
2364
Yhteensopiva
Injektioneste Hydromorphone hydrochloride
Injektioneste Metoclopramide hydrochloride
5073
Yhteensopiva
Injektioneste Hydromorphone hydrochloride 0.5 mg/ml
Injektioneste Metoclopramide hydrochloride 5 mg/ml
Glukoosi 5% 1974
Yhteensopiva
Injektioneste Hydromorphone hydrochloride 0.2 mg/ml
Injektioneste Metronidazole 5 mg/ml
Glukoosi 5% 405
Yhteensopiva
Injektioneste Hydromorphone hydrochloride 0.5 mg/ml
Injektioneste Micafungin 1.5 mg/ml
Natriumkloridi 0,9% 2108
Yhteensopiva
Injektioneste Hydromorphone hydrochloride
Injektioneste Midazolam hydrochloride
5073
Yhteensopiva
Injektioneste Hydromorphone hydrochloride 0.5 mg/ml
Injektioneste Midazolam hydrochloride 0.2 mg/ml
Glukoosi 5% 1974
Yhteensopiva
Injektioneste Hydromorphone hydrochloride 0.5 >> 45 mg/ml
Injektioneste Midazolam hydrochloride 0.1 >> 4.5 mg/ml
Glukoosi 5% 345
Yhteensopiva
Injektioneste Hydromorphone hydrochloride 1 mg/ml
Injektioneste Midazolam hydrochloride 2 mg/ml
314
Yhteensopiva
Injektioneste Hydromorphone hydrochloride 0.5 >> 45 mg/ml
Injektioneste Midazolam hydrochloride 0.1 >> 4.5 mg/ml
Natriumkloridi 0,9% 345
Yhteensopiva
Injektioneste Hydromorphone hydrochloride 1 mg/ml
Injektioneste Milrinone lactate 0.2 mg/ml
314
Värinvaihto 1 tunnin kuluttua yhteensopimaton
Injektioneste Hydromorphone hydrochloride 0.2 mg/ml
Injektioneste Minocycline hydrochloride 0.2 mg/ml
Glukoosi 5% 405
Yhteensopiva
Injektioneste Hydromorphone hydrochloride 1 mg/ml
Injektioneste Morphine sulfate 2 mg/ml
314
Yhteensopiva
Injektioneste Hydromorphone hydrochloride 0.2 mg/ml
Injektioneste Moxalactam 20 mg/ml
Glukoosi 5% 405
Yhteensopiva
Injektioneste Hydromorphone hydrochloride 0.2 mg/ml
Injektioneste Nafcillin sodium 20 mg/ml
Glukoosi 5% 405
Yhteensopiva
Injektioneste Hydromorphone hydrochloride 10 mg/ml
Injektioneste Naloxone hydrochloride 0.4 mg/ml
Ei mikään 3408
Yhteensopiva
Injektioneste Hydromorphone hydrochloride 1 mg/ml
Injektioneste Nicardipine hydrochloride 1 mg/ml
314
Yhteensopiva
Injektioneste Hydromorphone hydrochloride 1 mg/ml
Injektioneste Nitroglycerin 0.4 mg/ml
314
Yhteensopiva
Injektioneste Hydromorphone hydrochloride 1 mg/ml
Injektioneste Norepinephrine bitartrate 0.128 mg/ml
314
Yhteensopiva
Injektioneste Hydromorphone hydrochloride 0,5 mg/ml
Injektioneste Ondansetron hydrochloride 0,1 & 1 mg/ml
Natriumkloridi 0,9% 6
Yhteensopiva
Injektioneste Hydromorphone hydrochloride 0.5 mg/ml
Injektioneste Ondansetron hydrochloride 1 mg/ml
Natriumkloridi 0,9% 334
Yhteensopiva
Injektioneste Hydromorphone hydrochloride 0.2 mg/ml
Injektioneste Oxacillin sodium 20 mg/ml
Glukoosi 5% 405
Yhteensopiva
Injektioneste Hydromorphone hydrochloride 0,5 mg/ml
Injektioneste Oxaliplatin 0,5 mg/ml
Glukoosi 5% 1662
Yhteensopiva
Injektioneste Hydromorphone hydrochloride 0.5 mg/ml
Injektioneste Paclitaxel 1.2 mg/ml
Glukoosi 5% 248
Yhteensopiva
Injektioneste Hydromorphone hydrochloride 0.5 mg/ml
Injektioneste Palonosetron hydrochloride 50 µg/ml
Glukoosi 5% 2196
Sade 4 tunnin kuluttua yhteensopimaton
Injektioneste Hydromorphone hydrochloride
Injektioneste Pantoprazole sodium
2090
Yhteensopiva
Injektioneste Hydromorphone hydrochloride 10 mg/ml
Injektioneste Paracetamol 10 mg/ml
4742
Yhteensopiva
Injektioneste Hydromorphone hydrochloride 2 mg/ml
Injektioneste Paracetamol 10 mg/ml
Ei mikään 3571
Määrittelemätön yhteensopimattomuus yhteensopimaton
Injektioneste Hydromorphone hydrochloride
Injektioneste Parecoxib sodium
3504
Yhteensopiva
Injektioneste Hydromorphone hydrochloride 0.5 mg/ml
Injektioneste Pemetrexed disodium 20 mg/ml
Natriumkloridi 0,9% 1953
Yhteensopiva
Injektioneste Hydromorphone hydrochloride 0.2 mg/ml
Injektioneste Penicillin G potassium 0.1 MUI/ml
Glukoosi 5% 405
Välittömät sateet yhteensopimaton
Injektioneste Hydromorphone hydrochloride 2 >> 40 mg/ml
Injektioneste Phenobarbital sodium 120 mg/ml
Glukoosi 5% 226
Yhteensopiva
Injektioneste Hydromorphone hydrochloride 0.5 mg/ml
Injektioneste Phenobarbital sodium 2 mg/ml
Glukoosi 5% 1974
Välittömät sateet yhteensopimaton
Injektioneste Hydromorphone hydrochloride 2 >> 40 mg/ml
Injektioneste Phenytoin sodium 50 mg/ml
Glukoosi 5% 226
Sade 1 tunnin kuluttua yhteensopimaton
Injektioneste Hydromorphone hydrochloride 0.5 mg/ml
Injektioneste Phenytoin sodium 2 mg/ml
Glukoosi 5% 1974
Yhteensopiva
Injektioneste Hydromorphone hydrochloride 0.2 mg/ml
Injektioneste Piperacillin sodium 60 mg/ml
Glukoosi 5% 405
Yhteensopiva
Injektioneste Hydromorphone hydrochloride 0.5 mg/ml
Injektioneste Piperacillin sodium / tazobactam 40/5 mg/ml
Glukoosi 5% 81
Yhteensopiva
Injektioneste Hydromorphone hydrochloride 1 mg/ml
Injektioneste Plazomicin sulfate 24 mg/ml
Natriumkloridi 0,9% 4145
Yhteensopiva
Injektioneste Hydromorphone hydrochloride
Injektioneste Posaconazole
4380
Yhteensopiva
Injektioneste Hydromorphone hydrochloride 25 mg/ml
Injektioneste Potassium chloride 1000 mEq/l
Injektionesteisiin käytettävä vesi 66
Yhteensopiva
Injektioneste Hydromorphone hydrochloride 5 >> 20 mg/ml
Injektioneste Potassium chloride 500 & 1000 mEq/l
Glukoosi 5% 66
Yhteensopiva
Injektioneste Hydromorphone hydrochloride 2 >> 40 mg/ml
Injektioneste Prochlorperazine edysilate 5 mg/ml
Ei mikään 1497
Yhteensopiva
Injektioneste Hydromorphone hydrochloride 0,5 mg/ml
Injektioneste Prochlorperazine edysilate 1,5 mg/ml
Natriumkloridi 0,9% 767
Yhteensopiva
Injektioneste Hydromorphone hydrochloride 1 mg/ml
Injektioneste Promethazine hydrochloride 0.3 mg/ml
Natriumkloridi 0,9% 795
Yhteensopiva
Injektioneste Hydromorphone hydrochloride 0.5 mg/ml
Injektioneste Propofol 10 mg/ml
Ei mikään 300
Yhteensopiva
Injektioneste Hydromorphone hydrochloride 1 mg/ml
Injektioneste Ranitidine hydrochloride 1 mg/ml
314
Yhteensopiva
Injektioneste Hydromorphone hydrochloride 2 mg/ml
Injektioneste Ranitidine hydrochloride 25 mg/ml
Ei mikään 58
Yhteensopiva
Injektioneste Hydromorphone hydrochloride 1 mg/ml
Injektioneste Remdesivir 1 mg/ml
Natriumkloridi 0,9% 4768
Yhteensopiva
Injektioneste Hydromorphone hydrochloride 10 mg/ml
Injektioneste Salbutamol sulfate 1 mg/ml
Ei mikään 3216
Sademäärä 30 minuutin kuluttua yhteensopimaton
Injektioneste Hydromorphone hydrochloride 0.5 mg/ml
Injektioneste Sargramostim 10 µg/ml
Natriumkloridi 0,9% 335
Yhteensopiva
Injektioneste Hydromorphone hydrochloride 0.5 mg/ml
Injektioneste Scopolamine hydrobromide 0.05 mg/ml
Glukoosi 5% 1974
Yhteensopiva
Injektioneste Hydromorphone hydrochloride
Injektioneste Scopolamine hydrobromide
5073
Yhteensopiva
Injektioneste Hydromorphone hydrochloride 0,1 & 1 mg/ml
Injektioneste Tacrolimus 5 & 20 µg/ml
Glukoosi 5% 814
Yhteensopiva
Injektioneste Hydromorphone hydrochloride 1 mg/ml
Injektioneste Tedizolid phosphate 0.8 mg/ml
Natriumkloridi 0,9% 3827
Yhteensopiva
Injektioneste Hydromorphone hydrochloride 0.5 mg/ml
Injektioneste Teniposide 0.1 mg/ml
Glukoosi 5% 905
Välittömät sateet yhteensopimaton
Injektioneste Hydromorphone hydrochloride 10 mg/ml
Injektioneste Thiopental sodium 25 mg/ml
Natriumkloridi 0,9% 3767
Sade 4 tunnin kuluttua yhteensopimaton
Injektioneste Hydromorphone hydrochloride 1 mg/ml
Injektioneste Thiopental sodium 25 mg/ml
314
Yhteensopiva
Injektioneste Hydromorphone hydrochloride 0.5 mg/ml
Injektioneste Thiotepa 1 mg/ml
Glukoosi 5% 249
Yhteensopiva
Injektioneste Hydromorphone hydrochloride
Natriumkloridi 0,9% 5073
Yhteensopiva
Injektioneste Hydromorphone hydrochloride
Injektioneste Scopolamine N-butyl bromide
5073
Yhteensopiva
Injektioneste Hydromorphone hydrochloride 1 mg/ml
Injektioneste Sulbactam/durlobactam 15/15 mg/ml
Natriumkloridi 0,9% 4801
Yhteensopiva
Injektioneste Hydromorphone hydrochloride 0.2 mg/ml
Injektioneste Tobramycin sulfate 0.8 mg/ml
Glukoosi 5% 405
Yhteensopiva
Injektioneste Hydromorphone hydrochloride 0.2 mg/ml
Injektioneste Vancomycin hydrochloride 5 mg/ml
Glukoosi 5% 405
Yhteensopiva
Injektioneste Hydromorphone hydrochloride 2 mg/ml
Injektioneste Vancomycin hydrochloride 4 mg/ml
Natriumkloridi 0,9% 2335
Yhteensopiva
Injektioneste Hydromorphone hydrochloride 1 mg/ml
Injektioneste Vecuronium bromide 1 mg/ml
314
Yhteensopiva
Injektioneste Hydromorphone hydrochloride 0.016 mg/ml
Injektioneste Verapamil hydrochloride 0.08 mg/ml
Natriumkloridi 0,9% 1057
Yhteensopiva
Injektioneste Hydromorphone hydrochloride 0.016 mg/ml
Injektioneste Verapamil hydrochloride 0.08 mg/ml
Glukoosi 5% 1057
Yhteensopiva
Injektioneste Hydromorphone hydrochloride 0.5 mg/ml
Injektioneste Vinorelbine tartrate 1 mg/ml
Natriumkloridi 0,9% 84

  Mentions Légales