Senaste uppdateringen :
27/04/2026
Analgetikum   Hydromorphone hydrochloride  
injektion
Lösningars stabilitet Stabilitet i blandningar Faktorer som påverkar stabiliteten Kompatibilitet Administreringssätt Hänvisningar pdf
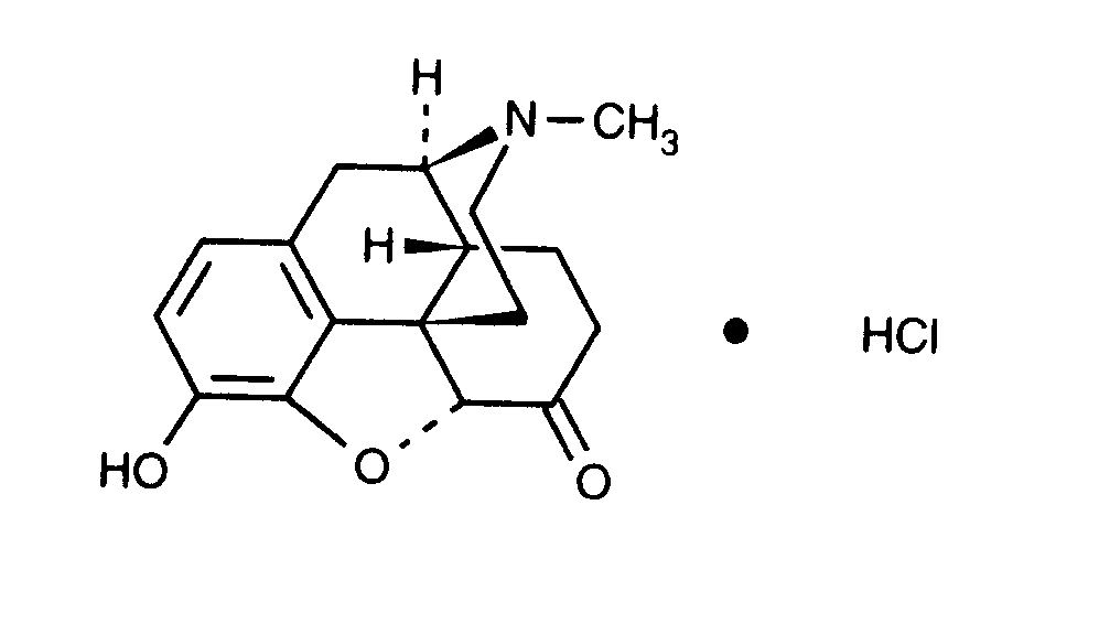
   Molekylstruktur  

Varunamn   Varunamn     

Angivna handelsnamn på läkemedel är enbart vägledande då formulering inklusive hjälpämnen kan variera mellan länder och tillverkare

Dilaudid Förenta Staterna, Kanada
Hydal Österrike
Palladon Danmark, Schweiz
Palladone Storbritannien
Kompatibilitet   injektion   Kompatibilitet : Hydromorphone hydrochloride              
Den här skärmen visar kompatibiliteten eller inkompatibiliteten med, i detta fall, typen av inkompatibilitet (utfällning, färgförändring, modifiering av en emulsion, etc.). De kompatibiliteter som visas här är oftast endast fysiska, varvid den kemiska stabiliteten för varje molekyl sällan utvärderas. Utvärderingen av dessa blandningar studerades för att överväga möjligheten för Y-platsadministrering till patienten. Dessa data kan inte användas för att göra blandningar i förväg i påsar eller sprutor. Denna typ av information finns på skärmen "Stabilitet i blandning".
Substans Lösningsmedel Hänvisningar
Kompatibel
injektion Hydromorphone hydrochloride 0.04 mg/ml
injektion Aciclovir sodium 5 mg/ml
Glukos 5 % 336
Kompatibel
injektion Hydromorphone hydrochloride 0.5 mg/ml
injektion Allopurinol sodium 3 mg/ml
Natriumklorid 0,9 % 307
Kompatibel
injektion Hydromorphone hydrochloride 0.5 mg/ml
injektion Amifostine 10 mg/ml
Glukos 5 % 3
Kompatibel
injektion Hydromorphone hydrochloride 0.2 mg/ml
injektion Amikacin sulfate 5 mg/ml
Glukos 5 % 405
Kompatibel
injektion Hydromorphone hydrochloride 10 mg/ml
injektion Amoxicillin sodium / clavulanic acid 100/10 mg/ml
3824
Kompatibel
injektion Hydromorphone hydrochloride 2 >> 40 mg/ml
injektion Ampicillin sodium 20 & 250 mg/ml
Glukos 5 % 226
Kompatibel
injektion Hydromorphone hydrochloride 0.5 mg/ml
injektion Amsacrine 1 mg/ml
Glukos 5 % 253
Kompatibel
injektion Hydromorphone hydrochloride 0.5 mg/ml
injektion Anidulafungin 0.5 mg/ml
Glukos 5 % 1982
Kompatibel
injektion Hydromorphone hydrochloride 0.5 mg/ml
injektion Aztreonam 40 mg/ml
Glukos 5 % 99
Kompatibel
injektion Hydromorphone hydrochloride 0.5 mg/ml
injektion Bivalirudin 5 mg/ml
Glukos 5 % 1713
Omedelbar instabilitet hos emulsionen Oförenlig
injektion Hydromorphone hydrochloride 0.5 mg/ml
Parenteral nutrition (med lipider) 1415
Kompatibel
injektion Hydromorphone hydrochloride 10 mg/ml
Ringer-laktatlösning 4603
Förlust av grumlighet Oförenlig
injektion Hydromorphone hydrochloride 0.5 mg/ml
injektion Amphotericin B cholesteryl sulfate complex 0.83 mg/ml
Glukos 5 % 921
Kompatibel
injektion Hydromorphone hydrochloride 0.2 mg/ml
injektion Ampicillin sodium 20 mg/ml
Glukos 5 % 405
Kompatibel
injektion Hydromorphone hydrochloride 0.5 mg/ml
injektion Atropine sulfate 0.4 mg/ml
Glukos 5 % 1974
Kompatibel
injektion Hydromorphone hydrochloride 0,02 & 0,1 mg/ml
injektion Bupivacaine hydrochloride 0,625 & 1,25 mg/ml
Natriumklorid 0,9 % 306
Kompatibel
injektion Hydromorphone hydrochloride
Glukos 5 % 5073
Kompatibel
injektion Hydromorphone hydrochloride 0,02 & 0,04 mg/ml
injektion Bupivacaine hydrochloride 2,5 mg/ml
Natriumklorid 0,9 % 1931
Kompatibel
injektion Hydromorphone hydrochloride 15 mg/ml
injektion Bupivacaine hydrochloride 10 mg/ml
Ingen 4200
Kompatibel
injektion Hydromorphone hydrochloride 2,5 mg/ml
Parenteral nutrition (med lipider) 4507
Kompatibel
injektion Hydromorphone hydrochloride 25 mg/ml
injektion Bupivacaine hydrochloride 20 mg/ml
Natriumklorid 0,9 % 3131
Kompatibel
injektion Hydromorphone hydrochloride 65 mg/ml
injektion Bupivacaine hydrochloride 7,5 mg/ml
Ingen 221
Kompatibel
injektion Hydromorphone hydrochloride 50 mg/ml
injektion Caffeine 10 mg/ml
Ingen 3964
Kompatibel
injektion Hydromorphone hydrochloride 1 mg/ml
injektion Caspofungin acetate 0,7 mg/ml
Natriumklorid 0,9 % 2247
Kompatibel
injektion Hydromorphone hydrochloride 1 mg/ml
injektion Caspofungin acetate 0.5 mg/ml
Natriumklorid 0,9 % 2233
Kompatibel
injektion Hydromorphone hydrochloride 0.2 mg/ml
injektion Cefalotin sodium 20 mg/ml
Glukos 5 % 405
Kompatibel
injektion Hydromorphone hydrochloride 0.2 mg/ml
injektion Cefamandole nafate 20 mg/ml
Glukos 5 % 405
Kompatibel
injektion Hydromorphone hydrochloride 0.2 mg/ml
injektion Cefazolin sodium 20 mg/ml
Glukos 5 % 405
Kompatibel
injektion Hydromorphone hydrochloride 2 >> 40 mg/ml
injektion Cefazolin sodium 20 mg/ml
Glukos 5 % 226
Omedelbar nederbörd Oförenlig
injektion Hydromorphone hydrochloride 2 >> 40 mg/ml
injektion Cefazolin sodium >200 mg/ml
Glukos 5 % 226
Kompatibel
injektion Hydromorphone hydrochloride 1 mg/ml
injektion Cefiderocol sulfate tosylate 20 mg/mL
Natriumklorid 0,9 % 4528
Kompatibel
injektion Hydromorphone hydrochloride 1 mg/ml
injektion Cefiderocol sulfate tosylate 20 mg/mL
Glukos 5 % 4528
Kompatibel
injektion Hydromorphone hydrochloride 0.2 mg/ml
injektion Cefmetazole sodium 100 mg/ml
Vatten för injektion 93
Kompatibel
injektion Hydromorphone hydrochloride 0.2 mg/ml
injektion Cefoperazone sodium 20 mg/ml
Glukos 5 % 405
Kompatibel
injektion Hydromorphone hydrochloride 0.2 mg/ml
injektion Ceforanide 20 mg/ml
Glukos 5 % 405
Kompatibel
injektion Hydromorphone hydrochloride 0.2 mg/ml
injektion Cefotaxime sodium 20 mg/ml
Glukos 5 % 405
Kompatibel
injektion Hydromorphone hydrochloride 0.2 mg/ml
injektion Cefoxitin sodium 20 mg/ml
Glukos 5 % 405
Kompatibel
injektion Hydromorphone hydrochloride 0,5 mg/ml
injektion Ceftaroline fosamil 2,22 mg/ml
Ringer-laktatlösning 3249
Kompatibel
injektion Hydromorphone hydrochloride 0,5 mg/ml
injektion Ceftaroline fosamil 2,22 mg/ml
Glukos 5 % 3249
Kompatibel
injektion Hydromorphone hydrochloride 0,5 mg/ml
injektion Ceftaroline fosamil 2,22 mg/ml
Natriumklorid 0,9 % 3249
Kompatibel
injektion Hydromorphone hydrochloride 2 >> 40 mg/ml
injektion Ceftazidime 40 & 180 mg/ml
Glukos 5 % 226
Kompatibel
injektion Hydromorphone hydrochloride 0.2 mg/ml
injektion Ceftizoxime sodium 20 mg/ml
Glukos 5 % 405
Omedelbar nederbörd Oförenlig
injektion Hydromorphone hydrochloride 1 mg/ml
injektion Ceftobiprole medocaril sodium 2 mg/ml
Natriumklorid 0,9 % 2269
Omedelbar nederbörd Oförenlig
injektion Hydromorphone hydrochloride 1 mg/ml
injektion Ceftobiprole medocaril sodium 2 mg/ml
Ringer-laktatlösning 2269
Ospecificerad inkompatibilitet Oförenlig
injektion Hydromorphone hydrochloride
injektion Ceftobiprole medocaril sodium
4650
Omedelbar nederbörd Oförenlig
injektion Hydromorphone hydrochloride 1 mg/ml
injektion Ceftobiprole medocaril sodium 2 mg/ml
Glukos 5 % 2269
Kompatibel
injektion Hydromorphone hydrochloride 1 mg/ml
injektion Ceftolozane / tazobactam 10/5 mg/ml
Glukos 5 % 3828
Kompatibel
injektion Hydromorphone hydrochloride 1 mg/ml
injektion Ceftolozane / tazobactam 10/5 mg/ml
Natriumklorid 0,9 % 3828
Kompatibel
injektion Hydromorphone hydrochloride 0.2 mg/ml
injektion Cefuroxime sodium 30 mg/ml
Glukos 5 % 405
Kompatibel
injektion Hydromorphone hydrochloride 0.2 mg/ml
injektion Chloramphenicol sodium succinate 20 mg/ml
Glukos 5 % 405
Kompatibel
injektion Hydromorphone hydrochloride 0.5 mg/ml
injektion Cisatracurium besylate 0.1 >> 5 mg/ml
Glukos 5 % 299
Kompatibel
injektion Hydromorphone hydrochloride 0.5 mg/ml
injektion Cladribine 0.015 mg/ml
Natriumklorid 0,9 % 1496
Kompatibel
injektion Hydromorphone hydrochloride 0.5 mg/ml
injektion Cladribine 0.5 mg/ml
NaCl 0,9 % + bakteriostatisk substans 1496
Kompatibel
injektion Hydromorphone hydrochloride 10 mg/ml
injektion Cloxacillin sodium 100 mg/ml
Vatten för injektion 3012
Kompatibel
injektion Hydromorphone hydrochloride 0.2 mg/ml
injektion Co-trimoxazole 4/0.8 mg/ml
Glukos 5 % 405
Kompatibel
injektion Hydromorphone hydrochloride < 10 mg/ml
injektion Dexamethasone sodium phosphate 2 >> 10 mg/ml
389
Kompatibel
injektion Hydromorphone hydrochloride 0.5 mg/ml
injektion Dexamethasone sodium phosphate 1 mg/ml
Glukos 5 % 1974
Kompatibel
injektion Hydromorphone hydrochloride 1 >> 40 mg/ml
injektion Dexamethasone sodium phosphate < 2 mg/ml
389
Kompatibel
injektion Hydromorphone hydrochloride 0.5 mg/ml
injektion Dexmedetomidine 4 µg/ml
Natriumklorid 0,9 % 1712
Utfällning efter 2 timmar Oförenlig
injektion Hydromorphone hydrochloride
injektion Dimenhydrinate
2087
Kompatibel
injektion Hydromorphone hydrochloride 0.5 mg/ml
Parenteral nutrition (binär blandning) 301
Kompatibel
injektion Hydromorphone hydrochloride 2 mg/ml
injektion Cimetidine hydrochloride 150 mg/ml
1438
Kompatibel
injektion Hydromorphone hydrochloride 0.2 mg/ml
injektion Clindamycin phosphate 12 mg/ml
Glukos 5 % 405
Omedelbar nederbörd Oförenlig
injektion Hydromorphone hydrochloride 2 >> 40 mg/ml
injektion Cloxacillin sodium 40 & 250 mg/ml
Glukos 5 % 226
Omedelbar nederbörd Oförenlig
injektion Hydromorphone hydrochloride
injektion Cyclizine lactate
5073
Kompatibel
injektion Hydromorphone hydrochloride
injektion Dexamethasone sodium phosphate
5073
Omedelbar nederbörd Oförenlig
injektion Hydromorphone hydrochloride > 15 mg/ml
injektion Dexamethasone sodium phosphate > 3 mg/ml
389
Kompatibel
injektion Hydromorphone hydrochloride 0.5 mg/ml
injektion Diazepam 0.5 mg/ml
Glukos 5 % 1974
Omedelbar nederbörd Oförenlig
injektion Hydromorphone hydrochloride 2 >> 40 mg/ml
injektion Diazepam 5 mg/ml
Glukos 5 % 226
Kompatibel
injektion Hydromorphone hydrochloride 1 mg/ml
injektion Diltiazem hydrochloride 1 mg/ml
314
Kompatibel
injektion Hydromorphone hydrochloride 2 >> 40 mg/ml
injektion Dimenhydrinate 50 mg/ml
Ingen 1497
Kompatibel
injektion Hydromorphone hydrochloride 0.5 mg/ml
injektion Diphenhydramine hydrochloride 2 mg/ml
Glukos 5 % 1974
Kompatibel
injektion Hydromorphone hydrochloride 1 mg/ml
injektion Dobutamine hydrochloride 4 mg/ml
314
Kompatibel
injektion Hydromorphone hydrochloride 0.5 mg/ml
injektion Docetaxel 0.9 mg/ml
Glukos 5 % 1754
Kompatibel
injektion Hydromorphone hydrochloride 1 mg/ml
injektion Dopamine hydrochloride 3.2 mg/ml
314
Kompatibel
injektion Hydromorphone hydrochloride 1 mg/ml
injektion Doripenem 5 mg/ml
Glukos 5 % 2262
Kompatibel
injektion Hydromorphone hydrochloride 1 mg/ml
injektion Doripenem 5 mg/ml
Natriumklorid 0,9 % 2262
Kompatibel
injektion Hydromorphone hydrochloride 0.5 mg/ml
injektion Doxorubicin hydrochloride liposome peg 0.4 mg/ml
Glukos 5 % 251
Kompatibel
injektion Hydromorphone hydrochloride 0.2 mg/ml
injektion Doxycycline hyclate 1 mg/ml
Glukos 5 % 405
Kompatibel
injektion Hydromorphone hydrochloride 1 mg/ml
injektion Epinephrine hydrochloride 20 µg/ml
314
Kompatibel
injektion Hydromorphone hydrochloride 1 mg/ml
injektion Eravacycline 0,6 mg/ml
Natriumklorid 0,9 % 4434
Kompatibel
injektion Hydromorphone hydrochloride 0.2 mg/ml
injektion Erythromycin lactobionate 5 mg/ml
Glukos 5 % 405
Kompatibel
injektion Hydromorphone hydrochloride 0.5 mg/ml
injektion Etoposide phosphate 5 mg/ml
Glukos 5 % 1410
Kompatibel
injektion Hydromorphone hydrochloride 0.5 mg/ml
injektion Famotidine 2 mg/ml
Natriumklorid 0,9 % 215
Kompatibel
injektion Hydromorphone hydrochloride 0.5 mg/ml
injektion Fenoldopam mesylate 80 µg/ml
Natriumklorid 0,9 % 1803
Kompatibel
injektion Hydromorphone hydrochloride 1 mg/ml
injektion Fentanyl citrate 50 µg/ml
314
Kompatibel
injektion Hydromorphone hydrochloride 0.5 mg/ml
injektion Filgrastim 30 µg/ml
Glukos 5 % 244
Kompatibel
injektion Hydromorphone hydrochloride 0.5 mg/ml
injektion Fludarabine phosphate 1 mg/ml
Glukos 5 % 492
Kompatibel
injektion Hydromorphone hydrochloride 0.5 mg/ml
injektion Fluorouracil 1 & 16 mg/ml
Glukos 5 % 513
Kompatibel
injektion Hydromorphone hydrochloride 0.5 mg/ml
injektion Fluorouracil 1 & 16 mg/ml
Natriumklorid 0,9 % 513
Kompatibel
injektion Hydromorphone hydrochloride 10 mg/ml
injektion Foscarnet sodium 24 mg/ml
Ingen 73
Kompatibel
injektion Hydromorphone hydrochloride 1 mg/ml
injektion Fosfomycin 30 mg/ml
Glukos 5 % 4055
Kompatibel
injektion Hydromorphone hydrochloride 1 mg/ml
injektion Fosfomycin 30 mg/ml
Natriumklorid 0,9 % 4055
Kompatibel
injektion Hydromorphone hydrochloride 1 mg/ml
injektion Furosemide 10 mg/ml
314
Grumlighet på 24 timmar Oförenlig
injektion Hydromorphone hydrochloride 4 mg/ml
injektion Gallium nitrate 1 mg/ml
Natriumklorid 0,9 % 91
Kompatibel
injektion Hydromorphone hydrochloride 0.5 mg/ml
injektion Gemcitabine hydrochloride 10 mg/ml
Natriumklorid 0,9 % 1423
Kompatibel
injektion Hydromorphone hydrochloride 0.2 mg/ml
injektion Gentamicin sulfate 0.8 mg/ml
Glukos 5 % 405
Kompatibel
injektion Hydromorphone hydrochloride
injektion Glycopyrronium bromide
5073
Kompatibel
injektion Hydromorphone hydrochloride 0.5 mg/ml
injektion Granisetron hydrochloride 0.056 mg/ml
Natriumklorid 0,9 % 6
Kompatibel
injektion Hydromorphone hydrochloride 0.5 mg/ml
injektion Granisetron hydrochloride 1 mg/ml
Natriumklorid 0,9 % 57
Kompatibel
injektion Hydromorphone hydrochloride 0.5 mg/ml
injektion Granisetron hydrochloride 0.05 mg/ml
Glukos 5 % 182
Kompatibel
injektion Hydromorphone hydrochloride 10 mg/ml
injektion Haloperidol lactate 1 mg/ml
Ingen 216
Kompatibel
injektion Hydromorphone hydrochloride 10 mg/ml
injektion Haloperidol lactate 5 mg/ml
Ingen 216
Kompatibel
injektion Hydromorphone hydrochloride 1 mg/ml
injektion Haloperidol lactate 5 mg/ml
Ingen 216
Kompatibel
injektion Hydromorphone hydrochloride 1 mg/ml
injektion Haloperidol lactate 2 mg/ml
Ingen 216
Kompatibel
injektion Hydromorphone hydrochloride 1 mg/ml
injektion Haloperidol lactate 1 mg/ml
Ingen 216
Kompatibel
injektion Hydromorphone hydrochloride 0.5 mg/ml
injektion Haloperidol lactate 0.2 mg/ml
Glukos 5 % 1974
Kompatibel
injektion Hydromorphone hydrochloride
injektion Haloperidol lactate
5073
Kompatibel
injektion Hydromorphone hydrochloride 10 mg/ml
injektion Haloperidol lactate 2 mg/ml
Ingen 216
Kompatibel
injektion Hydromorphone hydrochloride <12.5 mg/ml
injektion Heparin sodium
Vatten för injektion 66
Kompatibel
injektion Hydromorphone hydrochloride <12.5 mg/ml
injektion Heparin sodium
Natriumklorid 0,9 % 66
Kompatibel
injektion Hydromorphone hydrochloride 1 mg/ml
injektion Heparin sodium 100 UI/ml
314
Omedelbar nederbörd Oförenlig
injektion Hydromorphone hydrochloride >25 mg/ml
injektion Heparin sodium <12,5 UI/ml
Vatten för injektion 66
Omedelbar nederbörd Oförenlig
injektion Hydromorphone hydrochloride >10 mg/ml
injektion Heparin sodium <1 UI/ml
Vatten för injektion 66
Omedelbar nederbörd Oförenlig
injektion Hydromorphone hydrochloride >25 mg/ml
injektion Heparin sodium <12,5 UI/ml
Natriumklorid 0,9 % 66
Kompatibel
injektion Hydromorphone hydrochloride 0.5 mg/ml
injektion Hetastarch 60 mg/ml
specifikt lösningsmedel 1721
Kemisk instabilitet Oförenlig
injektion Hydromorphone hydrochloride 2 >> 40 mg/ml
injektion Hyaluronidase 150 UI/ml
Glukos 5 % 9
Kompatibel
injektion Hydromorphone hydrochloride
injektion Hyaluronidase
3184
Kemisk instabilitet Oförenlig
injektion Hydromorphone hydrochloride 2 >> 40 mg/ml
injektion Hyaluronidase 150 UI/ml
Natriumklorid 0,9 % 9
Kompatibel
injektion Hydromorphone hydrochloride 0.5 mg/ml
injektion Hydroxyzine dihydrochloride 4 mg/ml
Glukos 5 % 1974
Kompatibel
injektion Hydromorphone hydrochloride 1 mg/ml
injektion Isavuconazonium sulfate 1.5 mg/ml
Natriumklorid 0,9 % 3829
Kompatibel
injektion Hydromorphone hydrochloride 1 mg/ml
injektion Isavuconazonium sulfate 1.5 mg/ml
Glukos 5 % 3829
Kompatibel
injektion Hydromorphone hydrochloride 0.2 mg/ml
injektion Kanamycin sulfate 2.5 mg/ml
Glukos 5 % 405
Kompatibel
injektion Hydromorphone hydrochloride
injektion Ketamine hydrochloride
5073
Kompatibel
injektion Hydromorphone hydrochloride 0.2 mg/ml
injektion Ketamine hydrochloride 0.2 >> 1 mg/ml
Natriumklorid 0,9 % 2336
Kompatibel
injektion Hydromorphone hydrochloride 0.5 mg/ml
injektion Ketorolac tromethamine 1 mg/ml
Glukos 5 % 1974
Kompatibel
injektion Hydromorphone hydrochloride 10 mg/ml
injektion Ketorolac tromethamine 15 mg/ml
Ingen 216
Kompatibel
injektion Hydromorphone hydrochloride 1 mg/ml
injektion Ketorolac tromethamine 30 mg/ml
Ingen 216
Kompatibel
injektion Hydromorphone hydrochloride 1 mg/ml
injektion Ketorolac tromethamine 15 mg/ml
Ingen 216
Omedelbar nederbörd Oförenlig
injektion Hydromorphone hydrochloride 10 mg/ml
injektion Ketorolac tromethamine 30 mg/ml
Ingen 216
Kompatibel
injektion Hydromorphone hydrochloride 1 mg/ml
injektion Labetalol hydrochloride 2 mg/ml
314
Utfällning efter 1 timme Oförenlig
injektion Hydromorphone hydrochloride 0.5 mg/ml
injektion Lansoprazole 0.55 mg/ml
Natriumklorid 0,9 % 1625
Kompatibel
injektion Hydromorphone hydrochloride 2 mg/ml
injektion Levofloxacine 5 mg/ml
Ingen 2335
Kompatibel
injektion Hydromorphone hydrochloride
injektion Levomepromazine
5073
Kompatibel
injektion Hydromorphone hydrochloride 10 mg/ml
injektion Levosimendan 2,5 mg/ml
4389
Kompatibel
injektion Hydromorphone hydrochloride 0.5 mg/ml
injektion Linezolid 2 mg/ml
Ingen 1925
Kompatibel
injektion Hydromorphone hydrochloride 0.5 mg/ml
injektion Lorazepam 0.1 mg/ml
Glukos 5 % 1974
Kompatibel
injektion Hydromorphone hydrochloride 2 >> 40 mg/ml
injektion Lorazepam 4 mg/ml
Ingen 1497
Kompatibel
injektion Hydromorphone hydrochloride 1 mg/ml
injektion Lorazepam 0.5 mg/ml
314
Kompatibel
injektion Hydromorphone hydrochloride 2 mg/ml
injektion Magnesium sulfate 16,67 >> 100 mg/ml
Glukos 5 % 517
Kompatibel
injektion Hydromorphone hydrochloride 0.5 mg/ml
injektion Melphalan 0.1 mg/ml
Natriumklorid 0,9 % 169
Kompatibel
injektion Hydromorphone hydrochloride 10 mg/ml
injektion Meropenem 50 mg/ml
Vatten för injektion 4319
Kemisk instabilitet Oförenlig
injektion Hydromorphone hydrochloride
injektion Metamizol sodium
2364
Kompatibel
injektion Hydromorphone hydrochloride
injektion Metoclopramide hydrochloride
5073
Kompatibel
injektion Hydromorphone hydrochloride 0.5 mg/ml
injektion Metoclopramide hydrochloride 5 mg/ml
Glukos 5 % 1974
Kompatibel
injektion Hydromorphone hydrochloride 0.2 mg/ml
injektion Metronidazole 5 mg/ml
Glukos 5 % 405
Kompatibel
injektion Hydromorphone hydrochloride 0.5 mg/ml
injektion Micafungin 1.5 mg/ml
Natriumklorid 0,9 % 2108
Kompatibel
injektion Hydromorphone hydrochloride
injektion Midazolam hydrochloride
5073
Kompatibel
injektion Hydromorphone hydrochloride 0.5 mg/ml
injektion Midazolam hydrochloride 0.2 mg/ml
Glukos 5 % 1974
Kompatibel
injektion Hydromorphone hydrochloride 0.5 >> 45 mg/ml
injektion Midazolam hydrochloride 0.1 >> 4.5 mg/ml
Glukos 5 % 345
Kompatibel
injektion Hydromorphone hydrochloride 1 mg/ml
injektion Midazolam hydrochloride 2 mg/ml
314
Kompatibel
injektion Hydromorphone hydrochloride 0.5 >> 45 mg/ml
injektion Midazolam hydrochloride 0.1 >> 4.5 mg/ml
Natriumklorid 0,9 % 345
Kompatibel
injektion Hydromorphone hydrochloride 1 mg/ml
injektion Milrinone lactate 0.2 mg/ml
314
Färgändring efter 1 timme Oförenlig
injektion Hydromorphone hydrochloride 0.2 mg/ml
injektion Minocycline hydrochloride 0.2 mg/ml
Glukos 5 % 405
Kompatibel
injektion Hydromorphone hydrochloride 1 mg/ml
injektion Morphine sulfate 2 mg/ml
314
Kompatibel
injektion Hydromorphone hydrochloride 0.2 mg/ml
injektion Moxalactam 20 mg/ml
Glukos 5 % 405
Kompatibel
injektion Hydromorphone hydrochloride 0.2 mg/ml
injektion Nafcillin sodium 20 mg/ml
Glukos 5 % 405
Kompatibel
injektion Hydromorphone hydrochloride 10 mg/ml
injektion Naloxone hydrochloride 0.4 mg/ml
Ingen 3408
Kompatibel
injektion Hydromorphone hydrochloride 1 mg/ml
injektion Nicardipine hydrochloride 1 mg/ml
314
Kompatibel
injektion Hydromorphone hydrochloride 1 mg/ml
injektion Nitroglycerin 0.4 mg/ml
314
Kompatibel
injektion Hydromorphone hydrochloride 1 mg/ml
injektion Norepinephrine bitartrate 0.128 mg/ml
314
Kompatibel
injektion Hydromorphone hydrochloride 0,5 mg/ml
injektion Ondansetron hydrochloride 0,1 & 1 mg/ml
Natriumklorid 0,9 % 6
Kompatibel
injektion Hydromorphone hydrochloride 0.5 mg/ml
injektion Ondansetron hydrochloride 1 mg/ml
Natriumklorid 0,9 % 334
Kompatibel
injektion Hydromorphone hydrochloride 0.2 mg/ml
injektion Oxacillin sodium 20 mg/ml
Glukos 5 % 405
Kompatibel
injektion Hydromorphone hydrochloride 0,5 mg/ml
injektion Oxaliplatin 0,5 mg/ml
Glukos 5 % 1662
Kompatibel
injektion Hydromorphone hydrochloride 0.5 mg/ml
injektion Paclitaxel 1.2 mg/ml
Glukos 5 % 248
Kompatibel
injektion Hydromorphone hydrochloride 0.5 mg/ml
injektion Palonosetron hydrochloride 50 µg/ml
Glukos 5 % 2196
Utfällning efter 4 timmar Oförenlig
injektion Hydromorphone hydrochloride
injektion Pantoprazole sodium
2090
Kompatibel
injektion Hydromorphone hydrochloride 10 mg/ml
injektion Paracetamol 10 mg/ml
4742
Kompatibel
injektion Hydromorphone hydrochloride 2 mg/ml
injektion Paracetamol 10 mg/ml
Ingen 3571
Ospecificerad inkompatibilitet Oförenlig
injektion Hydromorphone hydrochloride
injektion Parecoxib sodium
3504
Kompatibel
injektion Hydromorphone hydrochloride 0.5 mg/ml
injektion Pemetrexed disodium 20 mg/ml
Natriumklorid 0,9 % 1953
Kompatibel
injektion Hydromorphone hydrochloride 0.2 mg/ml
injektion Penicillin G potassium 0.1 MUI/ml
Glukos 5 % 405
Omedelbar nederbörd Oförenlig
injektion Hydromorphone hydrochloride 2 >> 40 mg/ml
injektion Phenobarbital sodium 120 mg/ml
Glukos 5 % 226
Kompatibel
injektion Hydromorphone hydrochloride 0.5 mg/ml
injektion Phenobarbital sodium 2 mg/ml
Glukos 5 % 1974
Omedelbar nederbörd Oförenlig
injektion Hydromorphone hydrochloride 2 >> 40 mg/ml
injektion Phenytoin sodium 50 mg/ml
Glukos 5 % 226
Utfällning efter 1 timme Oförenlig
injektion Hydromorphone hydrochloride 0.5 mg/ml
injektion Phenytoin sodium 2 mg/ml
Glukos 5 % 1974
Kompatibel
injektion Hydromorphone hydrochloride 0.2 mg/ml
injektion Piperacillin sodium 60 mg/ml
Glukos 5 % 405
Kompatibel
injektion Hydromorphone hydrochloride 0.5 mg/ml
injektion Piperacillin sodium / tazobactam 40/5 mg/ml
Glukos 5 % 81
Kompatibel
injektion Hydromorphone hydrochloride 1 mg/ml
injektion Plazomicin sulfate 24 mg/ml
Natriumklorid 0,9 % 4145
Kompatibel
injektion Hydromorphone hydrochloride
injektion Posaconazole
4380
Kompatibel
injektion Hydromorphone hydrochloride 25 mg/ml
injektion Potassium chloride 1000 mEq/l
Vatten för injektion 66
Kompatibel
injektion Hydromorphone hydrochloride 5 >> 20 mg/ml
injektion Potassium chloride 500 & 1000 mEq/l
Glukos 5 % 66
Kompatibel
injektion Hydromorphone hydrochloride 2 >> 40 mg/ml
injektion Prochlorperazine edysilate 5 mg/ml
Ingen 1497
Kompatibel
injektion Hydromorphone hydrochloride 0,5 mg/ml
injektion Prochlorperazine edysilate 1,5 mg/ml
Natriumklorid 0,9 % 767
Kompatibel
injektion Hydromorphone hydrochloride 1 mg/ml
injektion Promethazine hydrochloride 0.3 mg/ml
Natriumklorid 0,9 % 795
Kompatibel
injektion Hydromorphone hydrochloride 0.5 mg/ml
injektion Propofol 10 mg/ml
Ingen 300
Kompatibel
injektion Hydromorphone hydrochloride 1 mg/ml
injektion Ranitidine hydrochloride 1 mg/ml
314
Kompatibel
injektion Hydromorphone hydrochloride 2 mg/ml
injektion Ranitidine hydrochloride 25 mg/ml
Ingen 58
Kompatibel
injektion Hydromorphone hydrochloride 1 mg/ml
injektion Remdesivir 1 mg/ml
Natriumklorid 0,9 % 4768
Kompatibel
injektion Hydromorphone hydrochloride 10 mg/ml
injektion Salbutamol sulfate 1 mg/ml
Ingen 3216
Nederbörd efter 30 minuter Oförenlig
injektion Hydromorphone hydrochloride 0.5 mg/ml
injektion Sargramostim 10 µg/ml
Natriumklorid 0,9 % 335
Kompatibel
injektion Hydromorphone hydrochloride 0.5 mg/ml
injektion Scopolamine hydrobromide 0.05 mg/ml
Glukos 5 % 1974
Kompatibel
injektion Hydromorphone hydrochloride
injektion Scopolamine hydrobromide
5073
Kompatibel
injektion Hydromorphone hydrochloride 0,1 & 1 mg/ml
injektion Tacrolimus 5 & 20 µg/ml
Glukos 5 % 814
Kompatibel
injektion Hydromorphone hydrochloride 1 mg/ml
injektion Tedizolid phosphate 0.8 mg/ml
Natriumklorid 0,9 % 3827
Kompatibel
injektion Hydromorphone hydrochloride 0.5 mg/ml
injektion Teniposide 0.1 mg/ml
Glukos 5 % 905
Omedelbar nederbörd Oförenlig
injektion Hydromorphone hydrochloride 10 mg/ml
injektion Thiopental sodium 25 mg/ml
Natriumklorid 0,9 % 3767
Utfällning efter 4 timmar Oförenlig
injektion Hydromorphone hydrochloride 1 mg/ml
injektion Thiopental sodium 25 mg/ml
314
Kompatibel
injektion Hydromorphone hydrochloride 0.5 mg/ml
injektion Thiotepa 1 mg/ml
Glukos 5 % 249
Kompatibel
injektion Hydromorphone hydrochloride
Natriumklorid 0,9 % 5073
Kompatibel
injektion Hydromorphone hydrochloride
injektion Scopolamine N-butyl bromide
5073
Kompatibel
injektion Hydromorphone hydrochloride 1 mg/ml
injektion Sulbactam/durlobactam 15/15 mg/ml
Natriumklorid 0,9 % 4801
Kompatibel
injektion Hydromorphone hydrochloride 0.2 mg/ml
injektion Tobramycin sulfate 0.8 mg/ml
Glukos 5 % 405
Kompatibel
injektion Hydromorphone hydrochloride 0.2 mg/ml
injektion Vancomycin hydrochloride 5 mg/ml
Glukos 5 % 405
Kompatibel
injektion Hydromorphone hydrochloride 2 mg/ml
injektion Vancomycin hydrochloride 4 mg/ml
Natriumklorid 0,9 % 2335
Kompatibel
injektion Hydromorphone hydrochloride 1 mg/ml
injektion Vecuronium bromide 1 mg/ml
314
Kompatibel
injektion Hydromorphone hydrochloride 0.016 mg/ml
injektion Verapamil hydrochloride 0.08 mg/ml
Natriumklorid 0,9 % 1057
Kompatibel
injektion Hydromorphone hydrochloride 0.016 mg/ml
injektion Verapamil hydrochloride 0.08 mg/ml
Glukos 5 % 1057
Kompatibel
injektion Hydromorphone hydrochloride 0.5 mg/ml
injektion Vinorelbine tartrate 1 mg/ml
Natriumklorid 0,9 % 84

  Mentions Légales