Utolsó frissítés :
27/04/2026
Fájdalomcsillapító   Hydromorphone hydrochloride  
Injekció
Az oldatok stabilitása A keverékek stabilitása Stabilitást befolyásoló tényezők Kompatibilitás Az alkalmazás módja Irodalom pdf
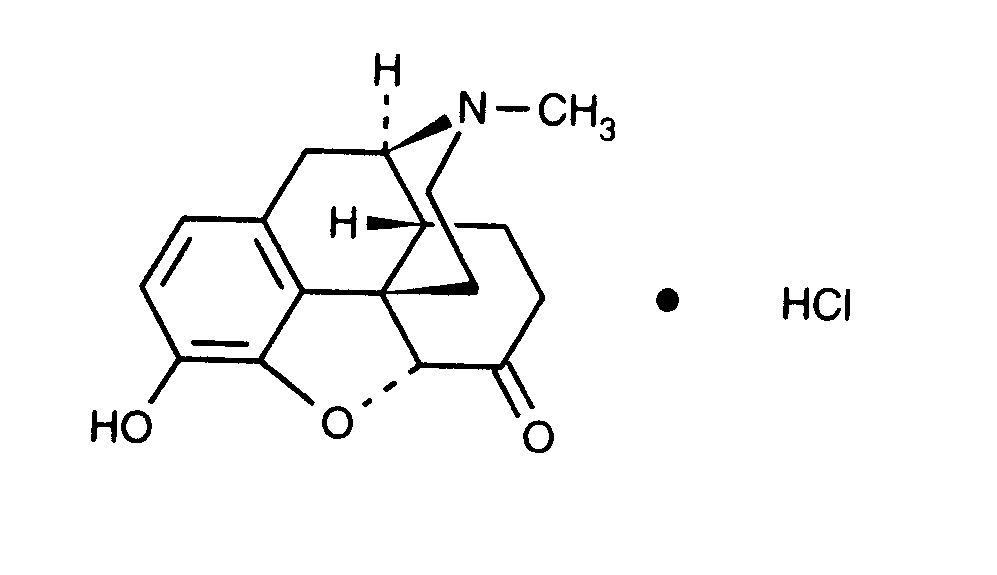
   Kémiai szerkezet   

Kereskedelmi név   Kereskedelmi név     

A kereskedelmi név meghatározó jelentőségű: a készítmények összetétele országonként, előállítóként eltérő lehet

Dilaudid Amerikai Egyesült Államok, Kanada
Hydal Ausztria
Palladon Dánia, Svájc
Palladone Nagy-Britannia
Kompatibilitás   Injekció   Kompatibilitás : Hydromorphone hydrochloride              
Ovdje su prikazane kompatibilnosti ili nekompatibilnosti s tipom nekompatibilnosti (taloženje, promjena boje, modifikacija emulzije itd.) u ovom slučaju. Kompatibilnosti prikazane ovdje najčešće su fizikalne dok se kemijska stabilnost molekule rijetko procjenjuje. Procjena ovih mikstura je proučavana kako bi se razmotrila mogućnost primjene lijeka putem Y-mjesta. Ovi se podaci ne smiju koristiti za pripremu mikstura unaprijed u vrećicama ili štrcaljkama. Ova vrsta informacije se može pronaći u odjeljku « stabilnost u miksturama ».
Vegyület Oldószer Irodalom
Összeegyeztethető
Injekció Hydromorphone hydrochloride 0.04 mg/ml
Injekció Aciclovir sodium 5 mg/ml
5% glükóz 336
Összeegyeztethető
Injekció Hydromorphone hydrochloride 0.5 mg/ml
Injekció Allopurinol sodium 3 mg/ml
0,9% nátrium-klorid 307
Összeegyeztethető
Injekció Hydromorphone hydrochloride 0.5 mg/ml
Injekció Amifostine 10 mg/ml
5% glükóz 3
Összeegyeztethető
Injekció Hydromorphone hydrochloride 0.2 mg/ml
Injekció Amikacin sulfate 5 mg/ml
5% glükóz 405
Összeegyeztethető
Injekció Hydromorphone hydrochloride 10 mg/ml
Injekció Amoxicillin sodium / clavulanic acid 100/10 mg/ml
3824
Összeegyeztethető
Injekció Hydromorphone hydrochloride 2 >> 40 mg/ml
Injekció Ampicillin sodium 20 & 250 mg/ml
5% glükóz 226
Összeegyeztethető
Injekció Hydromorphone hydrochloride 0.5 mg/ml
Injekció Amsacrine 1 mg/ml
5% glükóz 253
Összeegyeztethető
Injekció Hydromorphone hydrochloride 0.5 mg/ml
Injekció Anidulafungin 0.5 mg/ml
5% glükóz 1982
Összeegyeztethető
Injekció Hydromorphone hydrochloride 0.5 mg/ml
Injekció Aztreonam 40 mg/ml
5% glükóz 99
Összeegyeztethető
Injekció Hydromorphone hydrochloride 0.5 mg/ml
Injekció Bivalirudin 5 mg/ml
5% glükóz 1713
Az emulzió azonnali instabilitása Összeegyeztethetetlen
Injekció Hydromorphone hydrochloride 0.5 mg/ml
Parenterális táplálás (lipid) 1415
Összeegyeztethető
Injekció Hydromorphone hydrochloride 10 mg/ml
Ringer-laktát oldat 4603
A zavarosság elvesztése Összeegyeztethetetlen
Injekció Hydromorphone hydrochloride 0.5 mg/ml
Injekció Amphotericin B cholesteryl sulfate complex 0.83 mg/ml
5% glükóz 921
Összeegyeztethető
Injekció Hydromorphone hydrochloride 0.2 mg/ml
Injekció Ampicillin sodium 20 mg/ml
5% glükóz 405
Összeegyeztethető
Injekció Hydromorphone hydrochloride 0.5 mg/ml
Injekció Atropine sulfate 0.4 mg/ml
5% glükóz 1974
Összeegyeztethető
Injekció Hydromorphone hydrochloride 0,02 & 0,1 mg/ml
Injekció Bupivacaine hydrochloride 0,625 & 1,25 mg/ml
0,9% nátrium-klorid 306
Összeegyeztethető
Injekció Hydromorphone hydrochloride
5% glükóz 5073
Összeegyeztethető
Injekció Hydromorphone hydrochloride 0,02 & 0,04 mg/ml
Injekció Bupivacaine hydrochloride 2,5 mg/ml
0,9% nátrium-klorid 1931
Összeegyeztethető
Injekció Hydromorphone hydrochloride 15 mg/ml
Injekció Bupivacaine hydrochloride 10 mg/ml
Egy sem 4200
Összeegyeztethető
Injekció Hydromorphone hydrochloride 2,5 mg/ml
Parenterális táplálás (lipid) 4507
Összeegyeztethető
Injekció Hydromorphone hydrochloride 25 mg/ml
Injekció Bupivacaine hydrochloride 20 mg/ml
0,9% nátrium-klorid 3131
Összeegyeztethető
Injekció Hydromorphone hydrochloride 65 mg/ml
Injekció Bupivacaine hydrochloride 7,5 mg/ml
Egy sem 221
Összeegyeztethető
Injekció Hydromorphone hydrochloride 50 mg/ml
Injekció Caffeine 10 mg/ml
Egy sem 3964
Összeegyeztethető
Injekció Hydromorphone hydrochloride 1 mg/ml
Injekció Caspofungin acetate 0,7 mg/ml
0,9% nátrium-klorid 2247
Összeegyeztethető
Injekció Hydromorphone hydrochloride 1 mg/ml
Injekció Caspofungin acetate 0.5 mg/ml
0,9% nátrium-klorid 2233
Összeegyeztethető
Injekció Hydromorphone hydrochloride 0.2 mg/ml
Injekció Cefalotin sodium 20 mg/ml
5% glükóz 405
Összeegyeztethető
Injekció Hydromorphone hydrochloride 0.2 mg/ml
Injekció Cefamandole nafate 20 mg/ml
5% glükóz 405
Összeegyeztethető
Injekció Hydromorphone hydrochloride 0.2 mg/ml
Injekció Cefazolin sodium 20 mg/ml
5% glükóz 405
Összeegyeztethető
Injekció Hydromorphone hydrochloride 2 >> 40 mg/ml
Injekció Cefazolin sodium 20 mg/ml
5% glükóz 226
Azonnali csapadék Összeegyeztethetetlen
Injekció Hydromorphone hydrochloride 2 >> 40 mg/ml
Injekció Cefazolin sodium >200 mg/ml
5% glükóz 226
Összeegyeztethető
Injekció Hydromorphone hydrochloride 1 mg/ml
Injekció Cefiderocol sulfate tosylate 20 mg/mL
0,9% nátrium-klorid 4528
Összeegyeztethető
Injekció Hydromorphone hydrochloride 1 mg/ml
Injekció Cefiderocol sulfate tosylate 20 mg/mL
5% glükóz 4528
Összeegyeztethető
Injekció Hydromorphone hydrochloride 0.2 mg/ml
Injekció Cefmetazole sodium 100 mg/ml
Injekcióhoz való víz 93
Összeegyeztethető
Injekció Hydromorphone hydrochloride 0.2 mg/ml
Injekció Cefoperazone sodium 20 mg/ml
5% glükóz 405
Összeegyeztethető
Injekció Hydromorphone hydrochloride 0.2 mg/ml
Injekció Ceforanide 20 mg/ml
5% glükóz 405
Összeegyeztethető
Injekció Hydromorphone hydrochloride 0.2 mg/ml
Injekció Cefotaxime sodium 20 mg/ml
5% glükóz 405
Összeegyeztethető
Injekció Hydromorphone hydrochloride 0.2 mg/ml
Injekció Cefoxitin sodium 20 mg/ml
5% glükóz 405
Összeegyeztethető
Injekció Hydromorphone hydrochloride 0,5 mg/ml
Injekció Ceftaroline fosamil 2,22 mg/ml
Ringer-laktát oldat 3249
Összeegyeztethető
Injekció Hydromorphone hydrochloride 0,5 mg/ml
Injekció Ceftaroline fosamil 2,22 mg/ml
5% glükóz 3249
Összeegyeztethető
Injekció Hydromorphone hydrochloride 0,5 mg/ml
Injekció Ceftaroline fosamil 2,22 mg/ml
0,9% nátrium-klorid 3249
Összeegyeztethető
Injekció Hydromorphone hydrochloride 2 >> 40 mg/ml
Injekció Ceftazidime 40 & 180 mg/ml
5% glükóz 226
Összeegyeztethető
Injekció Hydromorphone hydrochloride 0.2 mg/ml
Injekció Ceftizoxime sodium 20 mg/ml
5% glükóz 405
Azonnali csapadék Összeegyeztethetetlen
Injekció Hydromorphone hydrochloride 1 mg/ml
Injekció Ceftobiprole medocaril sodium 2 mg/ml
0,9% nátrium-klorid 2269
Azonnali csapadék Összeegyeztethetetlen
Injekció Hydromorphone hydrochloride 1 mg/ml
Injekció Ceftobiprole medocaril sodium 2 mg/ml
Ringer-laktát oldat 2269
Meghatározatlan összeférhetetlenség Összeegyeztethetetlen
Injekció Hydromorphone hydrochloride
Injekció Ceftobiprole medocaril sodium
4650
Azonnali csapadék Összeegyeztethetetlen
Injekció Hydromorphone hydrochloride 1 mg/ml
Injekció Ceftobiprole medocaril sodium 2 mg/ml
5% glükóz 2269
Összeegyeztethető
Injekció Hydromorphone hydrochloride 1 mg/ml
Injekció Ceftolozane / tazobactam 10/5 mg/ml
5% glükóz 3828
Összeegyeztethető
Injekció Hydromorphone hydrochloride 1 mg/ml
Injekció Ceftolozane / tazobactam 10/5 mg/ml
0,9% nátrium-klorid 3828
Összeegyeztethető
Injekció Hydromorphone hydrochloride 0.2 mg/ml
Injekció Cefuroxime sodium 30 mg/ml
5% glükóz 405
Összeegyeztethető
Injekció Hydromorphone hydrochloride 0.2 mg/ml
Injekció Chloramphenicol sodium succinate 20 mg/ml
5% glükóz 405
Összeegyeztethető
Injekció Hydromorphone hydrochloride 0.5 mg/ml
Injekció Cisatracurium besylate 0.1 >> 5 mg/ml
5% glükóz 299
Összeegyeztethető
Injekció Hydromorphone hydrochloride 0.5 mg/ml
Injekció Cladribine 0.015 mg/ml
0,9% nátrium-klorid 1496
Összeegyeztethető
Injekció Hydromorphone hydrochloride 0.5 mg/ml
Injekció Cladribine 0.5 mg/ml
0,9% NaCl + antibakteriális szer 1496
Összeegyeztethető
Injekció Hydromorphone hydrochloride 10 mg/ml
Injekció Cloxacillin sodium 100 mg/ml
Injekcióhoz való víz 3012
Összeegyeztethető
Injekció Hydromorphone hydrochloride 0.2 mg/ml
Injekció Co-trimoxazole 4/0.8 mg/ml
5% glükóz 405
Összeegyeztethető
Injekció Hydromorphone hydrochloride < 10 mg/ml
Injekció Dexamethasone sodium phosphate 2 >> 10 mg/ml
389
Összeegyeztethető
Injekció Hydromorphone hydrochloride 0.5 mg/ml
Injekció Dexamethasone sodium phosphate 1 mg/ml
5% glükóz 1974
Összeegyeztethető
Injekció Hydromorphone hydrochloride 1 >> 40 mg/ml
Injekció Dexamethasone sodium phosphate < 2 mg/ml
389
Összeegyeztethető
Injekció Hydromorphone hydrochloride 0.5 mg/ml
Injekció Dexmedetomidine 4 µg/ml
0,9% nátrium-klorid 1712
Csapadék 2 óra után Összeegyeztethetetlen
Injekció Hydromorphone hydrochloride
Injekció Dimenhydrinate
2087
Összeegyeztethető
Injekció Hydromorphone hydrochloride 0.5 mg/ml
Parenterális táplálás (lipid-mentes) 301
Összeegyeztethető
Injekció Hydromorphone hydrochloride 2 mg/ml
Injekció Cimetidine hydrochloride 150 mg/ml
1438
Összeegyeztethető
Injekció Hydromorphone hydrochloride 0.2 mg/ml
Injekció Clindamycin phosphate 12 mg/ml
5% glükóz 405
Azonnali csapadék Összeegyeztethetetlen
Injekció Hydromorphone hydrochloride 2 >> 40 mg/ml
Injekció Cloxacillin sodium 40 & 250 mg/ml
5% glükóz 226
Azonnali csapadék Összeegyeztethetetlen
Injekció Hydromorphone hydrochloride
Injekció Cyclizine lactate
5073
Összeegyeztethető
Injekció Hydromorphone hydrochloride
Injekció Dexamethasone sodium phosphate
5073
Azonnali csapadék Összeegyeztethetetlen
Injekció Hydromorphone hydrochloride > 15 mg/ml
Injekció Dexamethasone sodium phosphate > 3 mg/ml
389
Összeegyeztethető
Injekció Hydromorphone hydrochloride 0.5 mg/ml
Injekció Diazepam 0.5 mg/ml
5% glükóz 1974
Azonnali csapadék Összeegyeztethetetlen
Injekció Hydromorphone hydrochloride 2 >> 40 mg/ml
Injekció Diazepam 5 mg/ml
5% glükóz 226
Összeegyeztethető
Injekció Hydromorphone hydrochloride 1 mg/ml
Injekció Diltiazem hydrochloride 1 mg/ml
314
Összeegyeztethető
Injekció Hydromorphone hydrochloride 2 >> 40 mg/ml
Injekció Dimenhydrinate 50 mg/ml
Egy sem 1497
Összeegyeztethető
Injekció Hydromorphone hydrochloride 0.5 mg/ml
Injekció Diphenhydramine hydrochloride 2 mg/ml
5% glükóz 1974
Összeegyeztethető
Injekció Hydromorphone hydrochloride 1 mg/ml
Injekció Dobutamine hydrochloride 4 mg/ml
314
Összeegyeztethető
Injekció Hydromorphone hydrochloride 0.5 mg/ml
Injekció Docetaxel 0.9 mg/ml
5% glükóz 1754
Összeegyeztethető
Injekció Hydromorphone hydrochloride 1 mg/ml
Injekció Dopamine hydrochloride 3.2 mg/ml
314
Összeegyeztethető
Injekció Hydromorphone hydrochloride 1 mg/ml
Injekció Doripenem 5 mg/ml
5% glükóz 2262
Összeegyeztethető
Injekció Hydromorphone hydrochloride 1 mg/ml
Injekció Doripenem 5 mg/ml
0,9% nátrium-klorid 2262
Összeegyeztethető
Injekció Hydromorphone hydrochloride 0.5 mg/ml
Injekció Doxorubicin hydrochloride liposome peg 0.4 mg/ml
5% glükóz 251
Összeegyeztethető
Injekció Hydromorphone hydrochloride 0.2 mg/ml
Injekció Doxycycline hyclate 1 mg/ml
5% glükóz 405
Összeegyeztethető
Injekció Hydromorphone hydrochloride 1 mg/ml
Injekció Epinephrine hydrochloride 20 µg/ml
314
Összeegyeztethető
Injekció Hydromorphone hydrochloride 1 mg/ml
Injekció Eravacycline 0,6 mg/ml
0,9% nátrium-klorid 4434
Összeegyeztethető
Injekció Hydromorphone hydrochloride 0.2 mg/ml
Injekció Erythromycin lactobionate 5 mg/ml
5% glükóz 405
Összeegyeztethető
Injekció Hydromorphone hydrochloride 0.5 mg/ml
Injekció Etoposide phosphate 5 mg/ml
5% glükóz 1410
Összeegyeztethető
Injekció Hydromorphone hydrochloride 0.5 mg/ml
Injekció Famotidine 2 mg/ml
0,9% nátrium-klorid 215
Összeegyeztethető
Injekció Hydromorphone hydrochloride 0.5 mg/ml
Injekció Fenoldopam mesylate 80 µg/ml
0,9% nátrium-klorid 1803
Összeegyeztethető
Injekció Hydromorphone hydrochloride 1 mg/ml
Injekció Fentanyl citrate 50 µg/ml
314
Összeegyeztethető
Injekció Hydromorphone hydrochloride 0.5 mg/ml
Injekció Filgrastim 30 µg/ml
5% glükóz 244
Összeegyeztethető
Injekció Hydromorphone hydrochloride 0.5 mg/ml
Injekció Fludarabine phosphate 1 mg/ml
5% glükóz 492
Összeegyeztethető
Injekció Hydromorphone hydrochloride 0.5 mg/ml
Injekció Fluorouracil 1 & 16 mg/ml
5% glükóz 513
Összeegyeztethető
Injekció Hydromorphone hydrochloride 0.5 mg/ml
Injekció Fluorouracil 1 & 16 mg/ml
0,9% nátrium-klorid 513
Összeegyeztethető
Injekció Hydromorphone hydrochloride 10 mg/ml
Injekció Foscarnet sodium 24 mg/ml
Egy sem 73
Összeegyeztethető
Injekció Hydromorphone hydrochloride 1 mg/ml
Injekció Fosfomycin 30 mg/ml
5% glükóz 4055
Összeegyeztethető
Injekció Hydromorphone hydrochloride 1 mg/ml
Injekció Fosfomycin 30 mg/ml
0,9% nátrium-klorid 4055
Összeegyeztethető
Injekció Hydromorphone hydrochloride 1 mg/ml
Injekció Furosemide 10 mg/ml
314
Zavarosság 24 óra alatt Összeegyeztethetetlen
Injekció Hydromorphone hydrochloride 4 mg/ml
Injekció Gallium nitrate 1 mg/ml
0,9% nátrium-klorid 91
Összeegyeztethető
Injekció Hydromorphone hydrochloride 0.5 mg/ml
Injekció Gemcitabine hydrochloride 10 mg/ml
0,9% nátrium-klorid 1423
Összeegyeztethető
Injekció Hydromorphone hydrochloride 0.2 mg/ml
Injekció Gentamicin sulfate 0.8 mg/ml
5% glükóz 405
Összeegyeztethető
Injekció Hydromorphone hydrochloride
Injekció Glycopyrronium bromide
5073
Összeegyeztethető
Injekció Hydromorphone hydrochloride 0.5 mg/ml
Injekció Granisetron hydrochloride 0.056 mg/ml
0,9% nátrium-klorid 6
Összeegyeztethető
Injekció Hydromorphone hydrochloride 0.5 mg/ml
Injekció Granisetron hydrochloride 1 mg/ml
0,9% nátrium-klorid 57
Összeegyeztethető
Injekció Hydromorphone hydrochloride 0.5 mg/ml
Injekció Granisetron hydrochloride 0.05 mg/ml
5% glükóz 182
Összeegyeztethető
Injekció Hydromorphone hydrochloride 10 mg/ml
Injekció Haloperidol lactate 1 mg/ml
Egy sem 216
Összeegyeztethető
Injekció Hydromorphone hydrochloride 10 mg/ml
Injekció Haloperidol lactate 5 mg/ml
Egy sem 216
Összeegyeztethető
Injekció Hydromorphone hydrochloride 1 mg/ml
Injekció Haloperidol lactate 5 mg/ml
Egy sem 216
Összeegyeztethető
Injekció Hydromorphone hydrochloride 1 mg/ml
Injekció Haloperidol lactate 2 mg/ml
Egy sem 216
Összeegyeztethető
Injekció Hydromorphone hydrochloride 1 mg/ml
Injekció Haloperidol lactate 1 mg/ml
Egy sem 216
Összeegyeztethető
Injekció Hydromorphone hydrochloride 0.5 mg/ml
Injekció Haloperidol lactate 0.2 mg/ml
5% glükóz 1974
Összeegyeztethető
Injekció Hydromorphone hydrochloride
Injekció Haloperidol lactate
5073
Összeegyeztethető
Injekció Hydromorphone hydrochloride 10 mg/ml
Injekció Haloperidol lactate 2 mg/ml
Egy sem 216
Összeegyeztethető
Injekció Hydromorphone hydrochloride <12.5 mg/ml
Injekció Heparin sodium
Injekcióhoz való víz 66
Összeegyeztethető
Injekció Hydromorphone hydrochloride <12.5 mg/ml
Injekció Heparin sodium
0,9% nátrium-klorid 66
Összeegyeztethető
Injekció Hydromorphone hydrochloride 1 mg/ml
Injekció Heparin sodium 100 UI/ml
314
Azonnali csapadék Összeegyeztethetetlen
Injekció Hydromorphone hydrochloride >25 mg/ml
Injekció Heparin sodium <12,5 UI/ml
Injekcióhoz való víz 66
Azonnali csapadék Összeegyeztethetetlen
Injekció Hydromorphone hydrochloride >10 mg/ml
Injekció Heparin sodium <1 UI/ml
Injekcióhoz való víz 66
Azonnali csapadék Összeegyeztethetetlen
Injekció Hydromorphone hydrochloride >25 mg/ml
Injekció Heparin sodium <12,5 UI/ml
0,9% nátrium-klorid 66
Összeegyeztethető
Injekció Hydromorphone hydrochloride 0.5 mg/ml
Injekció Hetastarch 60 mg/ml
egyedi oldószer 1721
Kémiai instabilitás Összeegyeztethetetlen
Injekció Hydromorphone hydrochloride 2 >> 40 mg/ml
Injekció Hyaluronidase 150 UI/ml
5% glükóz 9
Összeegyeztethető
Injekció Hydromorphone hydrochloride
Injekció Hyaluronidase
3184
Kémiai instabilitás Összeegyeztethetetlen
Injekció Hydromorphone hydrochloride 2 >> 40 mg/ml
Injekció Hyaluronidase 150 UI/ml
0,9% nátrium-klorid 9
Összeegyeztethető
Injekció Hydromorphone hydrochloride 0.5 mg/ml
Injekció Hydroxyzine dihydrochloride 4 mg/ml
5% glükóz 1974
Összeegyeztethető
Injekció Hydromorphone hydrochloride 1 mg/ml
Injekció Isavuconazonium sulfate 1.5 mg/ml
0,9% nátrium-klorid 3829
Összeegyeztethető
Injekció Hydromorphone hydrochloride 1 mg/ml
Injekció Isavuconazonium sulfate 1.5 mg/ml
5% glükóz 3829
Összeegyeztethető
Injekció Hydromorphone hydrochloride 0.2 mg/ml
Injekció Kanamycin sulfate 2.5 mg/ml
5% glükóz 405
Összeegyeztethető
Injekció Hydromorphone hydrochloride
Injekció Ketamine hydrochloride
5073
Összeegyeztethető
Injekció Hydromorphone hydrochloride 0.2 mg/ml
Injekció Ketamine hydrochloride 0.2 >> 1 mg/ml
0,9% nátrium-klorid 2336
Összeegyeztethető
Injekció Hydromorphone hydrochloride 0.5 mg/ml
Injekció Ketorolac tromethamine 1 mg/ml
5% glükóz 1974
Összeegyeztethető
Injekció Hydromorphone hydrochloride 10 mg/ml
Injekció Ketorolac tromethamine 15 mg/ml
Egy sem 216
Összeegyeztethető
Injekció Hydromorphone hydrochloride 1 mg/ml
Injekció Ketorolac tromethamine 30 mg/ml
Egy sem 216
Összeegyeztethető
Injekció Hydromorphone hydrochloride 1 mg/ml
Injekció Ketorolac tromethamine 15 mg/ml
Egy sem 216
Azonnali csapadék Összeegyeztethetetlen
Injekció Hydromorphone hydrochloride 10 mg/ml
Injekció Ketorolac tromethamine 30 mg/ml
Egy sem 216
Összeegyeztethető
Injekció Hydromorphone hydrochloride 1 mg/ml
Injekció Labetalol hydrochloride 2 mg/ml
314
Csapadék 1 óra után Összeegyeztethetetlen
Injekció Hydromorphone hydrochloride 0.5 mg/ml
Injekció Lansoprazole 0.55 mg/ml
0,9% nátrium-klorid 1625
Összeegyeztethető
Injekció Hydromorphone hydrochloride 2 mg/ml
Injekció Levofloxacine 5 mg/ml
Egy sem 2335
Összeegyeztethető
Injekció Hydromorphone hydrochloride
Injekció Levomepromazine
5073
Összeegyeztethető
Injekció Hydromorphone hydrochloride 10 mg/ml
Injekció Levosimendan 2,5 mg/ml
4389
Összeegyeztethető
Injekció Hydromorphone hydrochloride 0.5 mg/ml
Injekció Linezolid 2 mg/ml
Egy sem 1925
Összeegyeztethető
Injekció Hydromorphone hydrochloride 0.5 mg/ml
Injekció Lorazepam 0.1 mg/ml
5% glükóz 1974
Összeegyeztethető
Injekció Hydromorphone hydrochloride 2 >> 40 mg/ml
Injekció Lorazepam 4 mg/ml
Egy sem 1497
Összeegyeztethető
Injekció Hydromorphone hydrochloride 1 mg/ml
Injekció Lorazepam 0.5 mg/ml
314
Összeegyeztethető
Injekció Hydromorphone hydrochloride 2 mg/ml
Injekció Magnesium sulfate 16,67 >> 100 mg/ml
5% glükóz 517
Összeegyeztethető
Injekció Hydromorphone hydrochloride 0.5 mg/ml
Injekció Melphalan 0.1 mg/ml
0,9% nátrium-klorid 169
Összeegyeztethető
Injekció Hydromorphone hydrochloride 10 mg/ml
Injekció Meropenem 50 mg/ml
Injekcióhoz való víz 4319
Kémiai instabilitás Összeegyeztethetetlen
Injekció Hydromorphone hydrochloride
Injekció Metamizol sodium
2364
Összeegyeztethető
Injekció Hydromorphone hydrochloride
Injekció Metoclopramide hydrochloride
5073
Összeegyeztethető
Injekció Hydromorphone hydrochloride 0.5 mg/ml
Injekció Metoclopramide hydrochloride 5 mg/ml
5% glükóz 1974
Összeegyeztethető
Injekció Hydromorphone hydrochloride 0.2 mg/ml
Injekció Metronidazole 5 mg/ml
5% glükóz 405
Összeegyeztethető
Injekció Hydromorphone hydrochloride 0.5 mg/ml
Injekció Micafungin 1.5 mg/ml
0,9% nátrium-klorid 2108
Összeegyeztethető
Injekció Hydromorphone hydrochloride
Injekció Midazolam hydrochloride
5073
Összeegyeztethető
Injekció Hydromorphone hydrochloride 0.5 mg/ml
Injekció Midazolam hydrochloride 0.2 mg/ml
5% glükóz 1974
Összeegyeztethető
Injekció Hydromorphone hydrochloride 0.5 >> 45 mg/ml
Injekció Midazolam hydrochloride 0.1 >> 4.5 mg/ml
5% glükóz 345
Összeegyeztethető
Injekció Hydromorphone hydrochloride 1 mg/ml
Injekció Midazolam hydrochloride 2 mg/ml
314
Összeegyeztethető
Injekció Hydromorphone hydrochloride 0.5 >> 45 mg/ml
Injekció Midazolam hydrochloride 0.1 >> 4.5 mg/ml
0,9% nátrium-klorid 345
Összeegyeztethető
Injekció Hydromorphone hydrochloride 1 mg/ml
Injekció Milrinone lactate 0.2 mg/ml
314
Αλλαγή χρώματος μετά από 1 ώρα Összeegyeztethetetlen
Injekció Hydromorphone hydrochloride 0.2 mg/ml
Injekció Minocycline hydrochloride 0.2 mg/ml
5% glükóz 405
Összeegyeztethető
Injekció Hydromorphone hydrochloride 1 mg/ml
Injekció Morphine sulfate 2 mg/ml
314
Összeegyeztethető
Injekció Hydromorphone hydrochloride 0.2 mg/ml
Injekció Moxalactam 20 mg/ml
5% glükóz 405
Összeegyeztethető
Injekció Hydromorphone hydrochloride 0.2 mg/ml
Injekció Nafcillin sodium 20 mg/ml
5% glükóz 405
Összeegyeztethető
Injekció Hydromorphone hydrochloride 10 mg/ml
Injekció Naloxone hydrochloride 0.4 mg/ml
Egy sem 3408
Összeegyeztethető
Injekció Hydromorphone hydrochloride 1 mg/ml
Injekció Nicardipine hydrochloride 1 mg/ml
314
Összeegyeztethető
Injekció Hydromorphone hydrochloride 1 mg/ml
Injekció Nitroglycerin 0.4 mg/ml
314
Összeegyeztethető
Injekció Hydromorphone hydrochloride 1 mg/ml
Injekció Norepinephrine bitartrate 0.128 mg/ml
314
Összeegyeztethető
Injekció Hydromorphone hydrochloride 0,5 mg/ml
Injekció Ondansetron hydrochloride 0,1 & 1 mg/ml
0,9% nátrium-klorid 6
Összeegyeztethető
Injekció Hydromorphone hydrochloride 0.5 mg/ml
Injekció Ondansetron hydrochloride 1 mg/ml
0,9% nátrium-klorid 334
Összeegyeztethető
Injekció Hydromorphone hydrochloride 0.2 mg/ml
Injekció Oxacillin sodium 20 mg/ml
5% glükóz 405
Összeegyeztethető
Injekció Hydromorphone hydrochloride 0,5 mg/ml
Injekció Oxaliplatin 0,5 mg/ml
5% glükóz 1662
Összeegyeztethető
Injekció Hydromorphone hydrochloride 0.5 mg/ml
Injekció Paclitaxel 1.2 mg/ml
5% glükóz 248
Összeegyeztethető
Injekció Hydromorphone hydrochloride 0.5 mg/ml
Injekció Palonosetron hydrochloride 50 µg/ml
5% glükóz 2196
Csapadék 4 óra után Összeegyeztethetetlen
Injekció Hydromorphone hydrochloride
Injekció Pantoprazole sodium
2090
Összeegyeztethető
Injekció Hydromorphone hydrochloride 10 mg/ml
Injekció Paracetamol 10 mg/ml
4742
Összeegyeztethető
Injekció Hydromorphone hydrochloride 2 mg/ml
Injekció Paracetamol 10 mg/ml
Egy sem 3571
Meghatározatlan összeférhetetlenség Összeegyeztethetetlen
Injekció Hydromorphone hydrochloride
Injekció Parecoxib sodium
3504
Összeegyeztethető
Injekció Hydromorphone hydrochloride 0.5 mg/ml
Injekció Pemetrexed disodium 20 mg/ml
0,9% nátrium-klorid 1953
Összeegyeztethető
Injekció Hydromorphone hydrochloride 0.2 mg/ml
Injekció Penicillin G potassium 0.1 MUI/ml
5% glükóz 405
Azonnali csapadék Összeegyeztethetetlen
Injekció Hydromorphone hydrochloride 2 >> 40 mg/ml
Injekció Phenobarbital sodium 120 mg/ml
5% glükóz 226
Összeegyeztethető
Injekció Hydromorphone hydrochloride 0.5 mg/ml
Injekció Phenobarbital sodium 2 mg/ml
5% glükóz 1974
Azonnali csapadék Összeegyeztethetetlen
Injekció Hydromorphone hydrochloride 2 >> 40 mg/ml
Injekció Phenytoin sodium 50 mg/ml
5% glükóz 226
Csapadék 1 óra után Összeegyeztethetetlen
Injekció Hydromorphone hydrochloride 0.5 mg/ml
Injekció Phenytoin sodium 2 mg/ml
5% glükóz 1974
Összeegyeztethető
Injekció Hydromorphone hydrochloride 0.2 mg/ml
Injekció Piperacillin sodium 60 mg/ml
5% glükóz 405
Összeegyeztethető
Injekció Hydromorphone hydrochloride 0.5 mg/ml
Injekció Piperacillin sodium / tazobactam 40/5 mg/ml
5% glükóz 81
Összeegyeztethető
Injekció Hydromorphone hydrochloride 1 mg/ml
Injekció Plazomicin sulfate 24 mg/ml
0,9% nátrium-klorid 4145
Összeegyeztethető
Injekció Hydromorphone hydrochloride
Injekció Posaconazole
4380
Összeegyeztethető
Injekció Hydromorphone hydrochloride 25 mg/ml
Injekció Potassium chloride 1000 mEq/l
Injekcióhoz való víz 66
Összeegyeztethető
Injekció Hydromorphone hydrochloride 5 >> 20 mg/ml
Injekció Potassium chloride 500 & 1000 mEq/l
5% glükóz 66
Összeegyeztethető
Injekció Hydromorphone hydrochloride 2 >> 40 mg/ml
Injekció Prochlorperazine edysilate 5 mg/ml
Egy sem 1497
Összeegyeztethető
Injekció Hydromorphone hydrochloride 0,5 mg/ml
Injekció Prochlorperazine edysilate 1,5 mg/ml
0,9% nátrium-klorid 767
Összeegyeztethető
Injekció Hydromorphone hydrochloride 1 mg/ml
Injekció Promethazine hydrochloride 0.3 mg/ml
0,9% nátrium-klorid 795
Összeegyeztethető
Injekció Hydromorphone hydrochloride 0.5 mg/ml
Injekció Propofol 10 mg/ml
Egy sem 300
Összeegyeztethető
Injekció Hydromorphone hydrochloride 1 mg/ml
Injekció Ranitidine hydrochloride 1 mg/ml
314
Összeegyeztethető
Injekció Hydromorphone hydrochloride 2 mg/ml
Injekció Ranitidine hydrochloride 25 mg/ml
Egy sem 58
Összeegyeztethető
Injekció Hydromorphone hydrochloride 1 mg/ml
Injekció Remdesivir 1 mg/ml
0,9% nátrium-klorid 4768
Összeegyeztethető
Injekció Hydromorphone hydrochloride 10 mg/ml
Injekció Salbutamol sulfate 1 mg/ml
Egy sem 3216
30 perc múlva csapadék Összeegyeztethetetlen
Injekció Hydromorphone hydrochloride 0.5 mg/ml
Injekció Sargramostim 10 µg/ml
0,9% nátrium-klorid 335
Összeegyeztethető
Injekció Hydromorphone hydrochloride 0.5 mg/ml
Injekció Scopolamine hydrobromide 0.05 mg/ml
5% glükóz 1974
Összeegyeztethető
Injekció Hydromorphone hydrochloride
Injekció Scopolamine hydrobromide
5073
Összeegyeztethető
Injekció Hydromorphone hydrochloride 0,1 & 1 mg/ml
Injekció Tacrolimus 5 & 20 µg/ml
5% glükóz 814
Összeegyeztethető
Injekció Hydromorphone hydrochloride 1 mg/ml
Injekció Tedizolid phosphate 0.8 mg/ml
0,9% nátrium-klorid 3827
Összeegyeztethető
Injekció Hydromorphone hydrochloride 0.5 mg/ml
Injekció Teniposide 0.1 mg/ml
5% glükóz 905
Azonnali csapadék Összeegyeztethetetlen
Injekció Hydromorphone hydrochloride 10 mg/ml
Injekció Thiopental sodium 25 mg/ml
0,9% nátrium-klorid 3767
Csapadék 4 óra után Összeegyeztethetetlen
Injekció Hydromorphone hydrochloride 1 mg/ml
Injekció Thiopental sodium 25 mg/ml
314
Összeegyeztethető
Injekció Hydromorphone hydrochloride 0.5 mg/ml
Injekció Thiotepa 1 mg/ml
5% glükóz 249
Összeegyeztethető
Injekció Hydromorphone hydrochloride
0,9% nátrium-klorid 5073
Összeegyeztethető
Injekció Hydromorphone hydrochloride
Injekció Scopolamine N-butyl bromide
5073
Összeegyeztethető
Injekció Hydromorphone hydrochloride 1 mg/ml
Injekció Sulbactam/durlobactam 15/15 mg/ml
0,9% nátrium-klorid 4801
Összeegyeztethető
Injekció Hydromorphone hydrochloride 0.2 mg/ml
Injekció Tobramycin sulfate 0.8 mg/ml
5% glükóz 405
Összeegyeztethető
Injekció Hydromorphone hydrochloride 0.2 mg/ml
Injekció Vancomycin hydrochloride 5 mg/ml
5% glükóz 405
Összeegyeztethető
Injekció Hydromorphone hydrochloride 2 mg/ml
Injekció Vancomycin hydrochloride 4 mg/ml
0,9% nátrium-klorid 2335
Összeegyeztethető
Injekció Hydromorphone hydrochloride 1 mg/ml
Injekció Vecuronium bromide 1 mg/ml
314
Összeegyeztethető
Injekció Hydromorphone hydrochloride 0.016 mg/ml
Injekció Verapamil hydrochloride 0.08 mg/ml
0,9% nátrium-klorid 1057
Összeegyeztethető
Injekció Hydromorphone hydrochloride 0.016 mg/ml
Injekció Verapamil hydrochloride 0.08 mg/ml
5% glükóz 1057
Összeegyeztethető
Injekció Hydromorphone hydrochloride 0.5 mg/ml
Injekció Vinorelbine tartrate 1 mg/ml
0,9% nátrium-klorid 84

  Mentions Légales