Последно актуализиране :
27/04/2026
Аналгетик   Hydromorphone hydrochloride  
Инжекция/Инжекционен
Стабилност на разтвори Стабилност на смеси Фактори, повлияващи стабилността Съвместимост Път на въвеждане Библиография Pdf
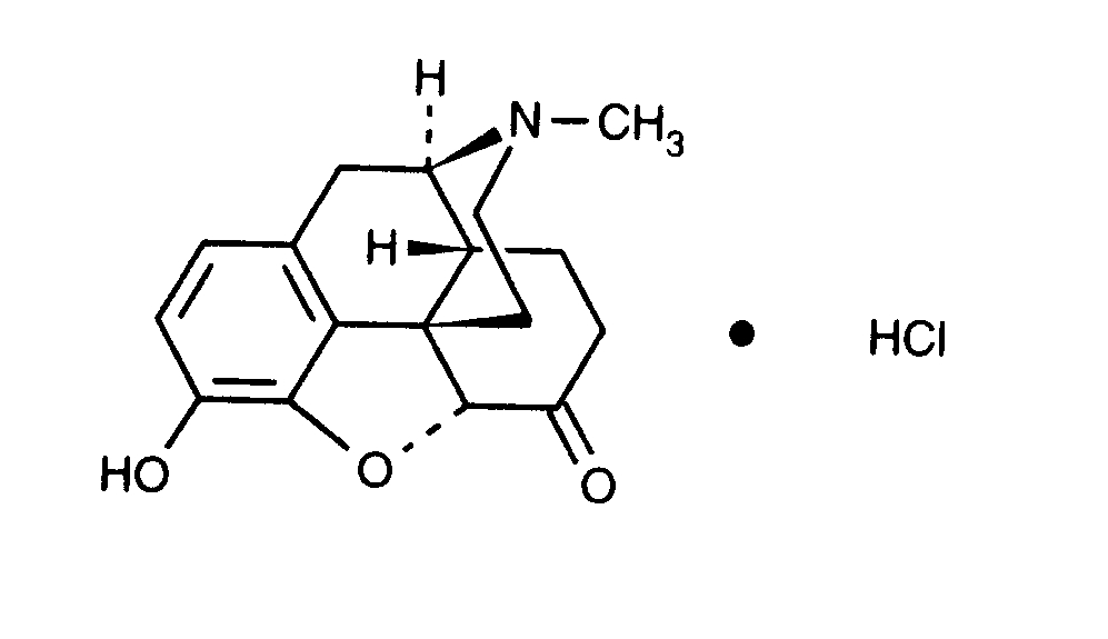
   Химична структура  

Търговско наименование   Търговско наименование     

Търговските имена са примерни и съставът на помощните вещества може да бъде различен в зависимост от държавата и лабораториите

Dilaudid Канада, Съединени Американски щати / САЩ
Hydal Австрия
Palladon Дания, Швейцария
Palladone Великобритания
Съвместимост   Инжекция/Инжекционен   Съвместимост : Hydromorphone hydrochloride              
Този екран показва съвместимостта или несъвместимостта с, в този случай, вида на несъвместимостта (утаяване, промяна на цвета, модификация на емулсия и др.). Показаните тук съвместимости са предимно физически, като рядко се оценява химическата стабилност на всяка молекула. Оценката на тези смеси беше проучена, за да се разгледа възможността за приложение на Y-място на пациента. Тези данни не могат да се използват за предварително приготвяне на смеси в торбички или спринцовки. Този тип информация е достъпна на екрана "Стабилност в сместа".
Състав / молекула Разтворител Библиография
съвместим
Инжекция/Инжекционен Hydromorphone hydrochloride 0.04 mg/ml
Инжекция/Инжекционен Aciclovir sodium 5 mg/ml
Glucose 5% 336
съвместим
Инжекция/Инжекционен Hydromorphone hydrochloride 0.5 mg/ml
Инжекция/Инжекционен Allopurinol sodium 3 mg/ml
Sodium chloride 0,9% 307
съвместим
Инжекция/Инжекционен Hydromorphone hydrochloride 0.5 mg/ml
Инжекция/Инжекционен Amifostine 10 mg/ml
Glucose 5% 3
съвместим
Инжекция/Инжекционен Hydromorphone hydrochloride 0.2 mg/ml
Инжекция/Инжекционен Amikacin sulfate 5 mg/ml
Glucose 5% 405
съвместим
Инжекция/Инжекционен Hydromorphone hydrochloride 10 mg/ml
Инжекция/Инжекционен Amoxicillin sodium / clavulanic acid 100/10 mg/ml
3824
съвместим
Инжекция/Инжекционен Hydromorphone hydrochloride 2 >> 40 mg/ml
Инжекция/Инжекционен Ampicillin sodium 20 & 250 mg/ml
Glucose 5% 226
съвместим
Инжекция/Инжекционен Hydromorphone hydrochloride 0.5 mg/ml
Инжекция/Инжекционен Amsacrine 1 mg/ml
Glucose 5% 253
съвместим
Инжекция/Инжекционен Hydromorphone hydrochloride 0.5 mg/ml
Инжекция/Инжекционен Anidulafungin 0.5 mg/ml
Glucose 5% 1982
съвместим
Инжекция/Инжекционен Hydromorphone hydrochloride 0.5 mg/ml
Инжекция/Инжекционен Aztreonam 40 mg/ml
Glucose 5% 99
съвместим
Инжекция/Инжекционен Hydromorphone hydrochloride 0.5 mg/ml
Инжекция/Инжекционен Bivalirudin 5 mg/ml
Glucose 5% 1713
Непосредствена нестабилност на емулсията Несъвместим
Инжекция/Инжекционен Hydromorphone hydrochloride 0.5 mg/ml
Парентерално хранене (с липиди) 1415
съвместим
Инжекция/Инжекционен Hydromorphone hydrochloride 10 mg/ml
Ринтер лактат 4603
Загуба на мътност Несъвместим
Инжекция/Инжекционен Hydromorphone hydrochloride 0.5 mg/ml
Инжекция/Инжекционен Amphotericin B cholesteryl sulfate complex 0.83 mg/ml
Glucose 5% 921
съвместим
Инжекция/Инжекционен Hydromorphone hydrochloride 0.2 mg/ml
Инжекция/Инжекционен Ampicillin sodium 20 mg/ml
Glucose 5% 405
съвместим
Инжекция/Инжекционен Hydromorphone hydrochloride 0.5 mg/ml
Инжекция/Инжекционен Atropine sulfate 0.4 mg/ml
Glucose 5% 1974
съвместим
Инжекция/Инжекционен Hydromorphone hydrochloride 0,02 & 0,1 mg/ml
Инжекция/Инжекционен Bupivacaine hydrochloride 0,625 & 1,25 mg/ml
Sodium chloride 0,9% 306
съвместим
Инжекция/Инжекционен Hydromorphone hydrochloride
Glucose 5% 5073
съвместим
Инжекция/Инжекционен Hydromorphone hydrochloride 0,02 & 0,04 mg/ml
Инжекция/Инжекционен Bupivacaine hydrochloride 2,5 mg/ml
Sodium chloride 0,9% 1931
съвместим
Инжекция/Инжекционен Hydromorphone hydrochloride 15 mg/ml
Инжекция/Инжекционен Bupivacaine hydrochloride 10 mg/ml
Няма 4200
съвместим
Инжекция/Инжекционен Hydromorphone hydrochloride 2,5 mg/ml
Парентерално хранене (с липиди) 4507
съвместим
Инжекция/Инжекционен Hydromorphone hydrochloride 25 mg/ml
Инжекция/Инжекционен Bupivacaine hydrochloride 20 mg/ml
Sodium chloride 0,9% 3131
съвместим
Инжекция/Инжекционен Hydromorphone hydrochloride 65 mg/ml
Инжекция/Инжекционен Bupivacaine hydrochloride 7,5 mg/ml
Няма 221
съвместим
Инжекция/Инжекционен Hydromorphone hydrochloride 50 mg/ml
Инжекция/Инжекционен Caffeine 10 mg/ml
Няма 3964
съвместим
Инжекция/Инжекционен Hydromorphone hydrochloride 1 mg/ml
Инжекция/Инжекционен Caspofungin acetate 0,7 mg/ml
Sodium chloride 0,9% 2247
съвместим
Инжекция/Инжекционен Hydromorphone hydrochloride 1 mg/ml
Инжекция/Инжекционен Caspofungin acetate 0.5 mg/ml
Sodium chloride 0,9% 2233
съвместим
Инжекция/Инжекционен Hydromorphone hydrochloride 0.2 mg/ml
Инжекция/Инжекционен Cefalotin sodium 20 mg/ml
Glucose 5% 405
съвместим
Инжекция/Инжекционен Hydromorphone hydrochloride 0.2 mg/ml
Инжекция/Инжекционен Cefamandole nafate 20 mg/ml
Glucose 5% 405
съвместим
Инжекция/Инжекционен Hydromorphone hydrochloride 0.2 mg/ml
Инжекция/Инжекционен Cefazolin sodium 20 mg/ml
Glucose 5% 405
съвместим
Инжекция/Инжекционен Hydromorphone hydrochloride 2 >> 40 mg/ml
Инжекция/Инжекционен Cefazolin sodium 20 mg/ml
Glucose 5% 226
Незабавни валежи Несъвместим
Инжекция/Инжекционен Hydromorphone hydrochloride 2 >> 40 mg/ml
Инжекция/Инжекционен Cefazolin sodium >200 mg/ml
Glucose 5% 226
съвместим
Инжекция/Инжекционен Hydromorphone hydrochloride 1 mg/ml
Инжекция/Инжекционен Cefiderocol sulfate tosylate 20 mg/mL
Sodium chloride 0,9% 4528
съвместим
Инжекция/Инжекционен Hydromorphone hydrochloride 1 mg/ml
Инжекция/Инжекционен Cefiderocol sulfate tosylate 20 mg/mL
Glucose 5% 4528
съвместим
Инжекция/Инжекционен Hydromorphone hydrochloride 0.2 mg/ml
Инжекция/Инжекционен Cefmetazole sodium 100 mg/ml
Вода за инжекции 93
съвместим
Инжекция/Инжекционен Hydromorphone hydrochloride 0.2 mg/ml
Инжекция/Инжекционен Cefoperazone sodium 20 mg/ml
Glucose 5% 405
съвместим
Инжекция/Инжекционен Hydromorphone hydrochloride 0.2 mg/ml
Инжекция/Инжекционен Ceforanide 20 mg/ml
Glucose 5% 405
съвместим
Инжекция/Инжекционен Hydromorphone hydrochloride 0.2 mg/ml
Инжекция/Инжекционен Cefotaxime sodium 20 mg/ml
Glucose 5% 405
съвместим
Инжекция/Инжекционен Hydromorphone hydrochloride 0.2 mg/ml
Инжекция/Инжекционен Cefoxitin sodium 20 mg/ml
Glucose 5% 405
съвместим
Инжекция/Инжекционен Hydromorphone hydrochloride 0,5 mg/ml
Инжекция/Инжекционен Ceftaroline fosamil 2,22 mg/ml
Ринтер лактат 3249
съвместим
Инжекция/Инжекционен Hydromorphone hydrochloride 0,5 mg/ml
Инжекция/Инжекционен Ceftaroline fosamil 2,22 mg/ml
Glucose 5% 3249
съвместим
Инжекция/Инжекционен Hydromorphone hydrochloride 0,5 mg/ml
Инжекция/Инжекционен Ceftaroline fosamil 2,22 mg/ml
Sodium chloride 0,9% 3249
съвместим
Инжекция/Инжекционен Hydromorphone hydrochloride 2 >> 40 mg/ml
Инжекция/Инжекционен Ceftazidime 40 & 180 mg/ml
Glucose 5% 226
съвместим
Инжекция/Инжекционен Hydromorphone hydrochloride 0.2 mg/ml
Инжекция/Инжекционен Ceftizoxime sodium 20 mg/ml
Glucose 5% 405
Незабавни валежи Несъвместим
Инжекция/Инжекционен Hydromorphone hydrochloride 1 mg/ml
Инжекция/Инжекционен Ceftobiprole medocaril sodium 2 mg/ml
Sodium chloride 0,9% 2269
Незабавни валежи Несъвместим
Инжекция/Инжекционен Hydromorphone hydrochloride 1 mg/ml
Инжекция/Инжекционен Ceftobiprole medocaril sodium 2 mg/ml
Ринтер лактат 2269
Неопределена несъвместимост Несъвместим
Инжекция/Инжекционен Hydromorphone hydrochloride
Инжекция/Инжекционен Ceftobiprole medocaril sodium
4650
Незабавни валежи Несъвместим
Инжекция/Инжекционен Hydromorphone hydrochloride 1 mg/ml
Инжекция/Инжекционен Ceftobiprole medocaril sodium 2 mg/ml
Glucose 5% 2269
съвместим
Инжекция/Инжекционен Hydromorphone hydrochloride 1 mg/ml
Инжекция/Инжекционен Ceftolozane / tazobactam 10/5 mg/ml
Glucose 5% 3828
съвместим
Инжекция/Инжекционен Hydromorphone hydrochloride 1 mg/ml
Инжекция/Инжекционен Ceftolozane / tazobactam 10/5 mg/ml
Sodium chloride 0,9% 3828
съвместим
Инжекция/Инжекционен Hydromorphone hydrochloride 0.2 mg/ml
Инжекция/Инжекционен Cefuroxime sodium 30 mg/ml
Glucose 5% 405
съвместим
Инжекция/Инжекционен Hydromorphone hydrochloride 0.2 mg/ml
Инжекция/Инжекционен Chloramphenicol sodium succinate 20 mg/ml
Glucose 5% 405
съвместим
Инжекция/Инжекционен Hydromorphone hydrochloride 0.5 mg/ml
Инжекция/Инжекционен Cisatracurium besylate 0.1 >> 5 mg/ml
Glucose 5% 299
съвместим
Инжекция/Инжекционен Hydromorphone hydrochloride 0.5 mg/ml
Инжекция/Инжекционен Cladribine 0.015 mg/ml
Sodium chloride 0,9% 1496
съвместим
Инжекция/Инжекционен Hydromorphone hydrochloride 0.5 mg/ml
Инжекция/Инжекционен Cladribine 0.5 mg/ml
NaCl 0,9% + антибактериално 1496
съвместим
Инжекция/Инжекционен Hydromorphone hydrochloride 10 mg/ml
Инжекция/Инжекционен Cloxacillin sodium 100 mg/ml
Вода за инжекции 3012
съвместим
Инжекция/Инжекционен Hydromorphone hydrochloride 0.2 mg/ml
Инжекция/Инжекционен Co-trimoxazole 4/0.8 mg/ml
Glucose 5% 405
съвместим
Инжекция/Инжекционен Hydromorphone hydrochloride < 10 mg/ml
Инжекция/Инжекционен Dexamethasone sodium phosphate 2 >> 10 mg/ml
389
съвместим
Инжекция/Инжекционен Hydromorphone hydrochloride 0.5 mg/ml
Инжекция/Инжекционен Dexamethasone sodium phosphate 1 mg/ml
Glucose 5% 1974
съвместим
Инжекция/Инжекционен Hydromorphone hydrochloride 1 >> 40 mg/ml
Инжекция/Инжекционен Dexamethasone sodium phosphate < 2 mg/ml
389
съвместим
Инжекция/Инжекционен Hydromorphone hydrochloride 0.5 mg/ml
Инжекция/Инжекционен Dexmedetomidine 4 µg/ml
Sodium chloride 0,9% 1712
Валежи след 2 часа Несъвместим
Инжекция/Инжекционен Hydromorphone hydrochloride
Инжекция/Инжекционен Dimenhydrinate
2087
съвместим
Инжекция/Инжекционен Hydromorphone hydrochloride 0.5 mg/ml
Парентерално хранене (липидите безплатно) 301
съвместим
Инжекция/Инжекционен Hydromorphone hydrochloride 2 mg/ml
Инжекция/Инжекционен Cimetidine hydrochloride 150 mg/ml
1438
съвместим
Инжекция/Инжекционен Hydromorphone hydrochloride 0.2 mg/ml
Инжекция/Инжекционен Clindamycin phosphate 12 mg/ml
Glucose 5% 405
Незабавни валежи Несъвместим
Инжекция/Инжекционен Hydromorphone hydrochloride 2 >> 40 mg/ml
Инжекция/Инжекционен Cloxacillin sodium 40 & 250 mg/ml
Glucose 5% 226
Незабавни валежи Несъвместим
Инжекция/Инжекционен Hydromorphone hydrochloride
Инжекция/Инжекционен Cyclizine lactate
5073
съвместим
Инжекция/Инжекционен Hydromorphone hydrochloride
Инжекция/Инжекционен Dexamethasone sodium phosphate
5073
Незабавни валежи Несъвместим
Инжекция/Инжекционен Hydromorphone hydrochloride > 15 mg/ml
Инжекция/Инжекционен Dexamethasone sodium phosphate > 3 mg/ml
389
съвместим
Инжекция/Инжекционен Hydromorphone hydrochloride 0.5 mg/ml
Инжекция/Инжекционен Diazepam 0.5 mg/ml
Glucose 5% 1974
Незабавни валежи Несъвместим
Инжекция/Инжекционен Hydromorphone hydrochloride 2 >> 40 mg/ml
Инжекция/Инжекционен Diazepam 5 mg/ml
Glucose 5% 226
съвместим
Инжекция/Инжекционен Hydromorphone hydrochloride 1 mg/ml
Инжекция/Инжекционен Diltiazem hydrochloride 1 mg/ml
314
съвместим
Инжекция/Инжекционен Hydromorphone hydrochloride 2 >> 40 mg/ml
Инжекция/Инжекционен Dimenhydrinate 50 mg/ml
Няма 1497
съвместим
Инжекция/Инжекционен Hydromorphone hydrochloride 0.5 mg/ml
Инжекция/Инжекционен Diphenhydramine hydrochloride 2 mg/ml
Glucose 5% 1974
съвместим
Инжекция/Инжекционен Hydromorphone hydrochloride 1 mg/ml
Инжекция/Инжекционен Dobutamine hydrochloride 4 mg/ml
314
съвместим
Инжекция/Инжекционен Hydromorphone hydrochloride 0.5 mg/ml
Инжекция/Инжекционен Docetaxel 0.9 mg/ml
Glucose 5% 1754
съвместим
Инжекция/Инжекционен Hydromorphone hydrochloride 1 mg/ml
Инжекция/Инжекционен Dopamine hydrochloride 3.2 mg/ml
314
съвместим
Инжекция/Инжекционен Hydromorphone hydrochloride 1 mg/ml
Инжекция/Инжекционен Doripenem 5 mg/ml
Glucose 5% 2262
съвместим
Инжекция/Инжекционен Hydromorphone hydrochloride 1 mg/ml
Инжекция/Инжекционен Doripenem 5 mg/ml
Sodium chloride 0,9% 2262
съвместим
Инжекция/Инжекционен Hydromorphone hydrochloride 0.5 mg/ml
Инжекция/Инжекционен Doxorubicin hydrochloride liposome peg 0.4 mg/ml
Glucose 5% 251
съвместим
Инжекция/Инжекционен Hydromorphone hydrochloride 0.2 mg/ml
Инжекция/Инжекционен Doxycycline hyclate 1 mg/ml
Glucose 5% 405
съвместим
Инжекция/Инжекционен Hydromorphone hydrochloride 1 mg/ml
Инжекция/Инжекционен Epinephrine hydrochloride 20 µg/ml
314
съвместим
Инжекция/Инжекционен Hydromorphone hydrochloride 1 mg/ml
Инжекция/Инжекционен Eravacycline 0,6 mg/ml
Sodium chloride 0,9% 4434
съвместим
Инжекция/Инжекционен Hydromorphone hydrochloride 0.2 mg/ml
Инжекция/Инжекционен Erythromycin lactobionate 5 mg/ml
Glucose 5% 405
съвместим
Инжекция/Инжекционен Hydromorphone hydrochloride 0.5 mg/ml
Инжекция/Инжекционен Etoposide phosphate 5 mg/ml
Glucose 5% 1410
съвместим
Инжекция/Инжекционен Hydromorphone hydrochloride 0.5 mg/ml
Инжекция/Инжекционен Famotidine 2 mg/ml
Sodium chloride 0,9% 215
съвместим
Инжекция/Инжекционен Hydromorphone hydrochloride 0.5 mg/ml
Инжекция/Инжекционен Fenoldopam mesylate 80 µg/ml
Sodium chloride 0,9% 1803
съвместим
Инжекция/Инжекционен Hydromorphone hydrochloride 1 mg/ml
Инжекция/Инжекционен Fentanyl citrate 50 µg/ml
314
съвместим
Инжекция/Инжекционен Hydromorphone hydrochloride 0.5 mg/ml
Инжекция/Инжекционен Filgrastim 30 µg/ml
Glucose 5% 244
съвместим
Инжекция/Инжекционен Hydromorphone hydrochloride 0.5 mg/ml
Инжекция/Инжекционен Fludarabine phosphate 1 mg/ml
Glucose 5% 492
съвместим
Инжекция/Инжекционен Hydromorphone hydrochloride 0.5 mg/ml
Инжекция/Инжекционен Fluorouracil 1 & 16 mg/ml
Glucose 5% 513
съвместим
Инжекция/Инжекционен Hydromorphone hydrochloride 0.5 mg/ml
Инжекция/Инжекционен Fluorouracil 1 & 16 mg/ml
Sodium chloride 0,9% 513
съвместим
Инжекция/Инжекционен Hydromorphone hydrochloride 10 mg/ml
Инжекция/Инжекционен Foscarnet sodium 24 mg/ml
Няма 73
съвместим
Инжекция/Инжекционен Hydromorphone hydrochloride 1 mg/ml
Инжекция/Инжекционен Fosfomycin 30 mg/ml
Glucose 5% 4055
съвместим
Инжекция/Инжекционен Hydromorphone hydrochloride 1 mg/ml
Инжекция/Инжекционен Fosfomycin 30 mg/ml
Sodium chloride 0,9% 4055
съвместим
Инжекция/Инжекционен Hydromorphone hydrochloride 1 mg/ml
Инжекция/Инжекционен Furosemide 10 mg/ml
314
Мътност за 24 часа Несъвместим
Инжекция/Инжекционен Hydromorphone hydrochloride 4 mg/ml
Инжекция/Инжекционен Gallium nitrate 1 mg/ml
Sodium chloride 0,9% 91
съвместим
Инжекция/Инжекционен Hydromorphone hydrochloride 0.5 mg/ml
Инжекция/Инжекционен Gemcitabine hydrochloride 10 mg/ml
Sodium chloride 0,9% 1423
съвместим
Инжекция/Инжекционен Hydromorphone hydrochloride 0.2 mg/ml
Инжекция/Инжекционен Gentamicin sulfate 0.8 mg/ml
Glucose 5% 405
съвместим
Инжекция/Инжекционен Hydromorphone hydrochloride
Инжекция/Инжекционен Glycopyrronium bromide
5073
съвместим
Инжекция/Инжекционен Hydromorphone hydrochloride 0.5 mg/ml
Инжекция/Инжекционен Granisetron hydrochloride 0.056 mg/ml
Sodium chloride 0,9% 6
съвместим
Инжекция/Инжекционен Hydromorphone hydrochloride 0.5 mg/ml
Инжекция/Инжекционен Granisetron hydrochloride 1 mg/ml
Sodium chloride 0,9% 57
съвместим
Инжекция/Инжекционен Hydromorphone hydrochloride 0.5 mg/ml
Инжекция/Инжекционен Granisetron hydrochloride 0.05 mg/ml
Glucose 5% 182
съвместим
Инжекция/Инжекционен Hydromorphone hydrochloride 10 mg/ml
Инжекция/Инжекционен Haloperidol lactate 1 mg/ml
Няма 216
съвместим
Инжекция/Инжекционен Hydromorphone hydrochloride 10 mg/ml
Инжекция/Инжекционен Haloperidol lactate 5 mg/ml
Няма 216
съвместим
Инжекция/Инжекционен Hydromorphone hydrochloride 1 mg/ml
Инжекция/Инжекционен Haloperidol lactate 5 mg/ml
Няма 216
съвместим
Инжекция/Инжекционен Hydromorphone hydrochloride 1 mg/ml
Инжекция/Инжекционен Haloperidol lactate 2 mg/ml
Няма 216
съвместим
Инжекция/Инжекционен Hydromorphone hydrochloride 1 mg/ml
Инжекция/Инжекционен Haloperidol lactate 1 mg/ml
Няма 216
съвместим
Инжекция/Инжекционен Hydromorphone hydrochloride 0.5 mg/ml
Инжекция/Инжекционен Haloperidol lactate 0.2 mg/ml
Glucose 5% 1974
съвместим
Инжекция/Инжекционен Hydromorphone hydrochloride
Инжекция/Инжекционен Haloperidol lactate
5073
съвместим
Инжекция/Инжекционен Hydromorphone hydrochloride 10 mg/ml
Инжекция/Инжекционен Haloperidol lactate 2 mg/ml
Няма 216
съвместим
Инжекция/Инжекционен Hydromorphone hydrochloride <12.5 mg/ml
Инжекция/Инжекционен Heparin sodium
Вода за инжекции 66
съвместим
Инжекция/Инжекционен Hydromorphone hydrochloride <12.5 mg/ml
Инжекция/Инжекционен Heparin sodium
Sodium chloride 0,9% 66
съвместим
Инжекция/Инжекционен Hydromorphone hydrochloride 1 mg/ml
Инжекция/Инжекционен Heparin sodium 100 UI/ml
314
Незабавни валежи Несъвместим
Инжекция/Инжекционен Hydromorphone hydrochloride >25 mg/ml
Инжекция/Инжекционен Heparin sodium <12,5 UI/ml
Вода за инжекции 66
Незабавни валежи Несъвместим
Инжекция/Инжекционен Hydromorphone hydrochloride >10 mg/ml
Инжекция/Инжекционен Heparin sodium <1 UI/ml
Вода за инжекции 66
Незабавни валежи Несъвместим
Инжекция/Инжекционен Hydromorphone hydrochloride >25 mg/ml
Инжекция/Инжекционен Heparin sodium <12,5 UI/ml
Sodium chloride 0,9% 66
съвместим
Инжекция/Инжекционен Hydromorphone hydrochloride 0.5 mg/ml
Инжекция/Инжекционен Hetastarch 60 mg/ml
Специфична разтворител 1721
Химическа нестабилност Несъвместим
Инжекция/Инжекционен Hydromorphone hydrochloride 2 >> 40 mg/ml
Инжекция/Инжекционен Hyaluronidase 150 UI/ml
Glucose 5% 9
съвместим
Инжекция/Инжекционен Hydromorphone hydrochloride
Инжекция/Инжекционен Hyaluronidase
3184
Химическа нестабилност Несъвместим
Инжекция/Инжекционен Hydromorphone hydrochloride 2 >> 40 mg/ml
Инжекция/Инжекционен Hyaluronidase 150 UI/ml
Sodium chloride 0,9% 9
съвместим
Инжекция/Инжекционен Hydromorphone hydrochloride 0.5 mg/ml
Инжекция/Инжекционен Hydroxyzine dihydrochloride 4 mg/ml
Glucose 5% 1974
съвместим
Инжекция/Инжекционен Hydromorphone hydrochloride 1 mg/ml
Инжекция/Инжекционен Isavuconazonium sulfate 1.5 mg/ml
Sodium chloride 0,9% 3829
съвместим
Инжекция/Инжекционен Hydromorphone hydrochloride 1 mg/ml
Инжекция/Инжекционен Isavuconazonium sulfate 1.5 mg/ml
Glucose 5% 3829
съвместим
Инжекция/Инжекционен Hydromorphone hydrochloride 0.2 mg/ml
Инжекция/Инжекционен Kanamycin sulfate 2.5 mg/ml
Glucose 5% 405
съвместим
Инжекция/Инжекционен Hydromorphone hydrochloride
Инжекция/Инжекционен Ketamine hydrochloride
5073
съвместим
Инжекция/Инжекционен Hydromorphone hydrochloride 0.2 mg/ml
Инжекция/Инжекционен Ketamine hydrochloride 0.2 >> 1 mg/ml
Sodium chloride 0,9% 2336
съвместим
Инжекция/Инжекционен Hydromorphone hydrochloride 0.5 mg/ml
Инжекция/Инжекционен Ketorolac tromethamine 1 mg/ml
Glucose 5% 1974
съвместим
Инжекция/Инжекционен Hydromorphone hydrochloride 10 mg/ml
Инжекция/Инжекционен Ketorolac tromethamine 15 mg/ml
Няма 216
съвместим
Инжекция/Инжекционен Hydromorphone hydrochloride 1 mg/ml
Инжекция/Инжекционен Ketorolac tromethamine 30 mg/ml
Няма 216
съвместим
Инжекция/Инжекционен Hydromorphone hydrochloride 1 mg/ml
Инжекция/Инжекционен Ketorolac tromethamine 15 mg/ml
Няма 216
Незабавни валежи Несъвместим
Инжекция/Инжекционен Hydromorphone hydrochloride 10 mg/ml
Инжекция/Инжекционен Ketorolac tromethamine 30 mg/ml
Няма 216
съвместим
Инжекция/Инжекционен Hydromorphone hydrochloride 1 mg/ml
Инжекция/Инжекционен Labetalol hydrochloride 2 mg/ml
314
Валежи след 1 час Несъвместим
Инжекция/Инжекционен Hydromorphone hydrochloride 0.5 mg/ml
Инжекция/Инжекционен Lansoprazole 0.55 mg/ml
Sodium chloride 0,9% 1625
съвместим
Инжекция/Инжекционен Hydromorphone hydrochloride 2 mg/ml
Инжекция/Инжекционен Levofloxacine 5 mg/ml
Няма 2335
съвместим
Инжекция/Инжекционен Hydromorphone hydrochloride
Инжекция/Инжекционен Levomepromazine
5073
съвместим
Инжекция/Инжекционен Hydromorphone hydrochloride 10 mg/ml
Инжекция/Инжекционен Levosimendan 2,5 mg/ml
4389
съвместим
Инжекция/Инжекционен Hydromorphone hydrochloride 0.5 mg/ml
Инжекция/Инжекционен Linezolid 2 mg/ml
Няма 1925
съвместим
Инжекция/Инжекционен Hydromorphone hydrochloride 0.5 mg/ml
Инжекция/Инжекционен Lorazepam 0.1 mg/ml
Glucose 5% 1974
съвместим
Инжекция/Инжекционен Hydromorphone hydrochloride 2 >> 40 mg/ml
Инжекция/Инжекционен Lorazepam 4 mg/ml
Няма 1497
съвместим
Инжекция/Инжекционен Hydromorphone hydrochloride 1 mg/ml
Инжекция/Инжекционен Lorazepam 0.5 mg/ml
314
съвместим
Инжекция/Инжекционен Hydromorphone hydrochloride 2 mg/ml
Инжекция/Инжекционен Magnesium sulfate 16,67 >> 100 mg/ml
Glucose 5% 517
съвместим
Инжекция/Инжекционен Hydromorphone hydrochloride 0.5 mg/ml
Инжекция/Инжекционен Melphalan 0.1 mg/ml
Sodium chloride 0,9% 169
съвместим
Инжекция/Инжекционен Hydromorphone hydrochloride 10 mg/ml
Инжекция/Инжекционен Meropenem 50 mg/ml
Вода за инжекции 4319
Химическа нестабилност Несъвместим
Инжекция/Инжекционен Hydromorphone hydrochloride
Инжекция/Инжекционен Metamizol sodium
2364
съвместим
Инжекция/Инжекционен Hydromorphone hydrochloride
Инжекция/Инжекционен Metoclopramide hydrochloride
5073
съвместим
Инжекция/Инжекционен Hydromorphone hydrochloride 0.5 mg/ml
Инжекция/Инжекционен Metoclopramide hydrochloride 5 mg/ml
Glucose 5% 1974
съвместим
Инжекция/Инжекционен Hydromorphone hydrochloride 0.2 mg/ml
Инжекция/Инжекционен Metronidazole 5 mg/ml
Glucose 5% 405
съвместим
Инжекция/Инжекционен Hydromorphone hydrochloride 0.5 mg/ml
Инжекция/Инжекционен Micafungin 1.5 mg/ml
Sodium chloride 0,9% 2108
съвместим
Инжекция/Инжекционен Hydromorphone hydrochloride
Инжекция/Инжекционен Midazolam hydrochloride
5073
съвместим
Инжекция/Инжекционен Hydromorphone hydrochloride 0.5 mg/ml
Инжекция/Инжекционен Midazolam hydrochloride 0.2 mg/ml
Glucose 5% 1974
съвместим
Инжекция/Инжекционен Hydromorphone hydrochloride 0.5 >> 45 mg/ml
Инжекция/Инжекционен Midazolam hydrochloride 0.1 >> 4.5 mg/ml
Glucose 5% 345
съвместим
Инжекция/Инжекционен Hydromorphone hydrochloride 1 mg/ml
Инжекция/Инжекционен Midazolam hydrochloride 2 mg/ml
314
съвместим
Инжекция/Инжекционен Hydromorphone hydrochloride 0.5 >> 45 mg/ml
Инжекция/Инжекционен Midazolam hydrochloride 0.1 >> 4.5 mg/ml
Sodium chloride 0,9% 345
съвместим
Инжекция/Инжекционен Hydromorphone hydrochloride 1 mg/ml
Инжекция/Инжекционен Milrinone lactate 0.2 mg/ml
314
Промяна на цвета след 1 час Несъвместим
Инжекция/Инжекционен Hydromorphone hydrochloride 0.2 mg/ml
Инжекция/Инжекционен Minocycline hydrochloride 0.2 mg/ml
Glucose 5% 405
съвместим
Инжекция/Инжекционен Hydromorphone hydrochloride 1 mg/ml
Инжекция/Инжекционен Morphine sulfate 2 mg/ml
314
съвместим
Инжекция/Инжекционен Hydromorphone hydrochloride 0.2 mg/ml
Инжекция/Инжекционен Moxalactam 20 mg/ml
Glucose 5% 405
съвместим
Инжекция/Инжекционен Hydromorphone hydrochloride 0.2 mg/ml
Инжекция/Инжекционен Nafcillin sodium 20 mg/ml
Glucose 5% 405
съвместим
Инжекция/Инжекционен Hydromorphone hydrochloride 10 mg/ml
Инжекция/Инжекционен Naloxone hydrochloride 0.4 mg/ml
Няма 3408
съвместим
Инжекция/Инжекционен Hydromorphone hydrochloride 1 mg/ml
Инжекция/Инжекционен Nicardipine hydrochloride 1 mg/ml
314
съвместим
Инжекция/Инжекционен Hydromorphone hydrochloride 1 mg/ml
Инжекция/Инжекционен Nitroglycerin 0.4 mg/ml
314
съвместим
Инжекция/Инжекционен Hydromorphone hydrochloride 1 mg/ml
Инжекция/Инжекционен Norepinephrine bitartrate 0.128 mg/ml
314
съвместим
Инжекция/Инжекционен Hydromorphone hydrochloride 0,5 mg/ml
Инжекция/Инжекционен Ondansetron hydrochloride 0,1 & 1 mg/ml
Sodium chloride 0,9% 6
съвместим
Инжекция/Инжекционен Hydromorphone hydrochloride 0.5 mg/ml
Инжекция/Инжекционен Ondansetron hydrochloride 1 mg/ml
Sodium chloride 0,9% 334
съвместим
Инжекция/Инжекционен Hydromorphone hydrochloride 0.2 mg/ml
Инжекция/Инжекционен Oxacillin sodium 20 mg/ml
Glucose 5% 405
съвместим
Инжекция/Инжекционен Hydromorphone hydrochloride 0,5 mg/ml
Инжекция/Инжекционен Oxaliplatin 0,5 mg/ml
Glucose 5% 1662
съвместим
Инжекция/Инжекционен Hydromorphone hydrochloride 0.5 mg/ml
Инжекция/Инжекционен Paclitaxel 1.2 mg/ml
Glucose 5% 248
съвместим
Инжекция/Инжекционен Hydromorphone hydrochloride 0.5 mg/ml
Инжекция/Инжекционен Palonosetron hydrochloride 50 µg/ml
Glucose 5% 2196
Валежи след 4 часа Несъвместим
Инжекция/Инжекционен Hydromorphone hydrochloride
Инжекция/Инжекционен Pantoprazole sodium
2090
съвместим
Инжекция/Инжекционен Hydromorphone hydrochloride 10 mg/ml
Инжекция/Инжекционен Paracetamol 10 mg/ml
4742
съвместим
Инжекция/Инжекционен Hydromorphone hydrochloride 2 mg/ml
Инжекция/Инжекционен Paracetamol 10 mg/ml
Няма 3571
Неопределена несъвместимост Несъвместим
Инжекция/Инжекционен Hydromorphone hydrochloride
Инжекция/Инжекционен Parecoxib sodium
3504
съвместим
Инжекция/Инжекционен Hydromorphone hydrochloride 0.5 mg/ml
Инжекция/Инжекционен Pemetrexed disodium 20 mg/ml
Sodium chloride 0,9% 1953
съвместим
Инжекция/Инжекционен Hydromorphone hydrochloride 0.2 mg/ml
Инжекция/Инжекционен Penicillin G potassium 0.1 MUI/ml
Glucose 5% 405
Незабавни валежи Несъвместим
Инжекция/Инжекционен Hydromorphone hydrochloride 2 >> 40 mg/ml
Инжекция/Инжекционен Phenobarbital sodium 120 mg/ml
Glucose 5% 226
съвместим
Инжекция/Инжекционен Hydromorphone hydrochloride 0.5 mg/ml
Инжекция/Инжекционен Phenobarbital sodium 2 mg/ml
Glucose 5% 1974
Незабавни валежи Несъвместим
Инжекция/Инжекционен Hydromorphone hydrochloride 2 >> 40 mg/ml
Инжекция/Инжекционен Phenytoin sodium 50 mg/ml
Glucose 5% 226
Валежи след 1 час Несъвместим
Инжекция/Инжекционен Hydromorphone hydrochloride 0.5 mg/ml
Инжекция/Инжекционен Phenytoin sodium 2 mg/ml
Glucose 5% 1974
съвместим
Инжекция/Инжекционен Hydromorphone hydrochloride 0.2 mg/ml
Инжекция/Инжекционен Piperacillin sodium 60 mg/ml
Glucose 5% 405
съвместим
Инжекция/Инжекционен Hydromorphone hydrochloride 0.5 mg/ml
Инжекция/Инжекционен Piperacillin sodium / tazobactam 40/5 mg/ml
Glucose 5% 81
съвместим
Инжекция/Инжекционен Hydromorphone hydrochloride 1 mg/ml
Инжекция/Инжекционен Plazomicin sulfate 24 mg/ml
Sodium chloride 0,9% 4145
съвместим
Инжекция/Инжекционен Hydromorphone hydrochloride
Инжекция/Инжекционен Posaconazole
4380
съвместим
Инжекция/Инжекционен Hydromorphone hydrochloride 25 mg/ml
Инжекция/Инжекционен Potassium chloride 1000 mEq/l
Вода за инжекции 66
съвместим
Инжекция/Инжекционен Hydromorphone hydrochloride 5 >> 20 mg/ml
Инжекция/Инжекционен Potassium chloride 500 & 1000 mEq/l
Glucose 5% 66
съвместим
Инжекция/Инжекционен Hydromorphone hydrochloride 2 >> 40 mg/ml
Инжекция/Инжекционен Prochlorperazine edysilate 5 mg/ml
Няма 1497
съвместим
Инжекция/Инжекционен Hydromorphone hydrochloride 0,5 mg/ml
Инжекция/Инжекционен Prochlorperazine edysilate 1,5 mg/ml
Sodium chloride 0,9% 767
съвместим
Инжекция/Инжекционен Hydromorphone hydrochloride 1 mg/ml
Инжекция/Инжекционен Promethazine hydrochloride 0.3 mg/ml
Sodium chloride 0,9% 795
съвместим
Инжекция/Инжекционен Hydromorphone hydrochloride 0.5 mg/ml
Инжекция/Инжекционен Propofol 10 mg/ml
Няма 300
съвместим
Инжекция/Инжекционен Hydromorphone hydrochloride 1 mg/ml
Инжекция/Инжекционен Ranitidine hydrochloride 1 mg/ml
314
съвместим
Инжекция/Инжекционен Hydromorphone hydrochloride 2 mg/ml
Инжекция/Инжекционен Ranitidine hydrochloride 25 mg/ml
Няма 58
съвместим
Инжекция/Инжекционен Hydromorphone hydrochloride 1 mg/ml
Инжекция/Инжекционен Remdesivir 1 mg/ml
Sodium chloride 0,9% 4768
съвместим
Инжекция/Инжекционен Hydromorphone hydrochloride 10 mg/ml
Инжекция/Инжекционен Salbutamol sulfate 1 mg/ml
Няма 3216
Валежи след 30 минути Несъвместим
Инжекция/Инжекционен Hydromorphone hydrochloride 0.5 mg/ml
Инжекция/Инжекционен Sargramostim 10 µg/ml
Sodium chloride 0,9% 335
съвместим
Инжекция/Инжекционен Hydromorphone hydrochloride 0.5 mg/ml
Инжекция/Инжекционен Scopolamine hydrobromide 0.05 mg/ml
Glucose 5% 1974
съвместим
Инжекция/Инжекционен Hydromorphone hydrochloride
Инжекция/Инжекционен Scopolamine hydrobromide
5073
съвместим
Инжекция/Инжекционен Hydromorphone hydrochloride 0,1 & 1 mg/ml
Инжекция/Инжекционен Tacrolimus 5 & 20 µg/ml
Glucose 5% 814
съвместим
Инжекция/Инжекционен Hydromorphone hydrochloride 1 mg/ml
Инжекция/Инжекционен Tedizolid phosphate 0.8 mg/ml
Sodium chloride 0,9% 3827
съвместим
Инжекция/Инжекционен Hydromorphone hydrochloride 0.5 mg/ml
Инжекция/Инжекционен Teniposide 0.1 mg/ml
Glucose 5% 905
Незабавни валежи Несъвместим
Инжекция/Инжекционен Hydromorphone hydrochloride 10 mg/ml
Инжекция/Инжекционен Thiopental sodium 25 mg/ml
Sodium chloride 0,9% 3767
Валежи след 4 часа Несъвместим
Инжекция/Инжекционен Hydromorphone hydrochloride 1 mg/ml
Инжекция/Инжекционен Thiopental sodium 25 mg/ml
314
съвместим
Инжекция/Инжекционен Hydromorphone hydrochloride 0.5 mg/ml
Инжекция/Инжекционен Thiotepa 1 mg/ml
Glucose 5% 249
съвместим
Инжекция/Инжекционен Hydromorphone hydrochloride
Sodium chloride 0,9% 5073
съвместим
Инжекция/Инжекционен Hydromorphone hydrochloride
Инжекция/Инжекционен Scopolamine N-butyl bromide
5073
съвместим
Инжекция/Инжекционен Hydromorphone hydrochloride 1 mg/ml
Инжекция/Инжекционен Sulbactam/durlobactam 15/15 mg/ml
Sodium chloride 0,9% 4801
съвместим
Инжекция/Инжекционен Hydromorphone hydrochloride 0.2 mg/ml
Инжекция/Инжекционен Tobramycin sulfate 0.8 mg/ml
Glucose 5% 405
съвместим
Инжекция/Инжекционен Hydromorphone hydrochloride 0.2 mg/ml
Инжекция/Инжекционен Vancomycin hydrochloride 5 mg/ml
Glucose 5% 405
съвместим
Инжекция/Инжекционен Hydromorphone hydrochloride 2 mg/ml
Инжекция/Инжекционен Vancomycin hydrochloride 4 mg/ml
Sodium chloride 0,9% 2335
съвместим
Инжекция/Инжекционен Hydromorphone hydrochloride 1 mg/ml
Инжекция/Инжекционен Vecuronium bromide 1 mg/ml
314
съвместим
Инжекция/Инжекционен Hydromorphone hydrochloride 0.016 mg/ml
Инжекция/Инжекционен Verapamil hydrochloride 0.08 mg/ml
Sodium chloride 0,9% 1057
съвместим
Инжекция/Инжекционен Hydromorphone hydrochloride 0.016 mg/ml
Инжекция/Инжекционен Verapamil hydrochloride 0.08 mg/ml
Glucose 5% 1057
съвместим
Инжекция/Инжекционен Hydromorphone hydrochloride 0.5 mg/ml
Инжекция/Инжекционен Vinorelbine tartrate 1 mg/ml
Sodium chloride 0,9% 84

  Mentions Légales