Ostatnia aktualizacja :
27/04/2026
Przeciwbólowy   Hydromorphone hydrochloride  
Injekcje
Trwałość roztworów Trwałość w mieszaninie Czynnik wpływający na trwałość Zgodność Sposób podania Bibliografia pdf
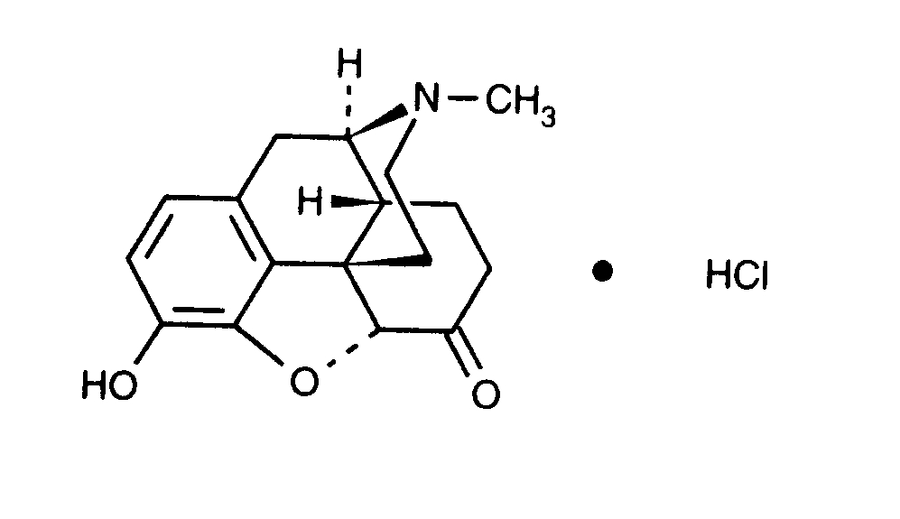
   Struktura chemiczna  

Nazwa handlowa   Nazwa handlowa     

Trade names are indicative and excipients composition can be different depending on the country and manufacturers

Dilaudid Kanada, Stany Zjednoczone Ameryki
Hydal Austria
Palladon Dania, Szwajcaria
Palladone Wielka Brytania
Zgodność   Injekcje   Zgodność : Hydromorphone hydrochloride              
Ekran ten wskazuje na kompatybilności lub niezgodności z, w tym przypadku, rodzajem niezgodności (strącanie, zmiana koloru, modyfikacja emulsji, itp.). Przedstawione tutaj kompatybilności są głównie fizyczne, a stabilność chemiczna każdej cząsteczki jest rzadko oceniana. Ocenę tych mieszanin badano w celu rozważenia możliwości podania pacjentowi w miejscu Y. Dane te nie mogą być wykorzystywane do sporządzania mieszanin z wyprzedzeniem w workach lub strzykawkach. Tego typu informacje są dostępne na ekranie „Stabilność w mieszaninie”.
Związek Rozpuszczalnik Bibliografia
Zgodny
Injekcje Hydromorphone hydrochloride 0.04 mg/ml
Injekcje Aciclovir sodium 5 mg/ml
Glukoza 5% 336
Zgodny
Injekcje Hydromorphone hydrochloride 0.5 mg/ml
Injekcje Allopurinol sodium 3 mg/ml
Chlorek sodu 0,9% 307
Zgodny
Injekcje Hydromorphone hydrochloride 0.5 mg/ml
Injekcje Amifostine 10 mg/ml
Glukoza 5% 3
Zgodny
Injekcje Hydromorphone hydrochloride 0.2 mg/ml
Injekcje Amikacin sulfate 5 mg/ml
Glukoza 5% 405
Zgodny
Injekcje Hydromorphone hydrochloride 10 mg/ml
Injekcje Amoxicillin sodium / clavulanic acid 100/10 mg/ml
3824
Zgodny
Injekcje Hydromorphone hydrochloride 2 >> 40 mg/ml
Injekcje Ampicillin sodium 20 & 250 mg/ml
Glukoza 5% 226
Zgodny
Injekcje Hydromorphone hydrochloride 0.5 mg/ml
Injekcje Amsacrine 1 mg/ml
Glukoza 5% 253
Zgodny
Injekcje Hydromorphone hydrochloride 0.5 mg/ml
Injekcje Anidulafungin 0.5 mg/ml
Glukoza 5% 1982
Zgodny
Injekcje Hydromorphone hydrochloride 0.5 mg/ml
Injekcje Aztreonam 40 mg/ml
Glukoza 5% 99
Zgodny
Injekcje Hydromorphone hydrochloride 0.5 mg/ml
Injekcje Bivalirudin 5 mg/ml
Glukoza 5% 1713
Natychmiastowa niestabilność emulsji Niekompatybilny
Injekcje Hydromorphone hydrochloride 0.5 mg/ml
Żywienie pozajelitowe (lipidami) 1415
Zgodny
Injekcje Hydromorphone hydrochloride 10 mg/ml
Roztwór Ringera z mleczanem sodowym 4603
Utrata zmętnienia Niekompatybilny
Injekcje Hydromorphone hydrochloride 0.5 mg/ml
Injekcje Amphotericin B cholesteryl sulfate complex 0.83 mg/ml
Glukoza 5% 921
Zgodny
Injekcje Hydromorphone hydrochloride 0.2 mg/ml
Injekcje Ampicillin sodium 20 mg/ml
Glukoza 5% 405
Zgodny
Injekcje Hydromorphone hydrochloride 0.5 mg/ml
Injekcje Atropine sulfate 0.4 mg/ml
Glukoza 5% 1974
Zgodny
Injekcje Hydromorphone hydrochloride 0,02 & 0,1 mg/ml
Injekcje Bupivacaine hydrochloride 0,625 & 1,25 mg/ml
Chlorek sodu 0,9% 306
Zgodny
Injekcje Hydromorphone hydrochloride
Glukoza 5% 5073
Zgodny
Injekcje Hydromorphone hydrochloride 0,02 & 0,04 mg/ml
Injekcje Bupivacaine hydrochloride 2,5 mg/ml
Chlorek sodu 0,9% 1931
Zgodny
Injekcje Hydromorphone hydrochloride 15 mg/ml
Injekcje Bupivacaine hydrochloride 10 mg/ml
Żaden 4200
Zgodny
Injekcje Hydromorphone hydrochloride 2,5 mg/ml
Żywienie pozajelitowe (lipidami) 4507
Zgodny
Injekcje Hydromorphone hydrochloride 25 mg/ml
Injekcje Bupivacaine hydrochloride 20 mg/ml
Chlorek sodu 0,9% 3131
Zgodny
Injekcje Hydromorphone hydrochloride 65 mg/ml
Injekcje Bupivacaine hydrochloride 7,5 mg/ml
Żaden 221
Zgodny
Injekcje Hydromorphone hydrochloride 50 mg/ml
Injekcje Caffeine 10 mg/ml
Żaden 3964
Zgodny
Injekcje Hydromorphone hydrochloride 1 mg/ml
Injekcje Caspofungin acetate 0,7 mg/ml
Chlorek sodu 0,9% 2247
Zgodny
Injekcje Hydromorphone hydrochloride 1 mg/ml
Injekcje Caspofungin acetate 0.5 mg/ml
Chlorek sodu 0,9% 2233
Zgodny
Injekcje Hydromorphone hydrochloride 0.2 mg/ml
Injekcje Cefalotin sodium 20 mg/ml
Glukoza 5% 405
Zgodny
Injekcje Hydromorphone hydrochloride 0.2 mg/ml
Injekcje Cefamandole nafate 20 mg/ml
Glukoza 5% 405
Zgodny
Injekcje Hydromorphone hydrochloride 0.2 mg/ml
Injekcje Cefazolin sodium 20 mg/ml
Glukoza 5% 405
Zgodny
Injekcje Hydromorphone hydrochloride 2 >> 40 mg/ml
Injekcje Cefazolin sodium 20 mg/ml
Glukoza 5% 226
Natychmiastowe opady Niekompatybilny
Injekcje Hydromorphone hydrochloride 2 >> 40 mg/ml
Injekcje Cefazolin sodium >200 mg/ml
Glukoza 5% 226
Zgodny
Injekcje Hydromorphone hydrochloride 1 mg/ml
Injekcje Cefiderocol sulfate tosylate 20 mg/mL
Chlorek sodu 0,9% 4528
Zgodny
Injekcje Hydromorphone hydrochloride 1 mg/ml
Injekcje Cefiderocol sulfate tosylate 20 mg/mL
Glukoza 5% 4528
Zgodny
Injekcje Hydromorphone hydrochloride 0.2 mg/ml
Injekcje Cefmetazole sodium 100 mg/ml
Woda do wstrzyknięć 93
Zgodny
Injekcje Hydromorphone hydrochloride 0.2 mg/ml
Injekcje Cefoperazone sodium 20 mg/ml
Glukoza 5% 405
Zgodny
Injekcje Hydromorphone hydrochloride 0.2 mg/ml
Injekcje Ceforanide 20 mg/ml
Glukoza 5% 405
Zgodny
Injekcje Hydromorphone hydrochloride 0.2 mg/ml
Injekcje Cefotaxime sodium 20 mg/ml
Glukoza 5% 405
Zgodny
Injekcje Hydromorphone hydrochloride 0.2 mg/ml
Injekcje Cefoxitin sodium 20 mg/ml
Glukoza 5% 405
Zgodny
Injekcje Hydromorphone hydrochloride 0,5 mg/ml
Injekcje Ceftaroline fosamil 2,22 mg/ml
Roztwór Ringera z mleczanem sodowym 3249
Zgodny
Injekcje Hydromorphone hydrochloride 0,5 mg/ml
Injekcje Ceftaroline fosamil 2,22 mg/ml
Glukoza 5% 3249
Zgodny
Injekcje Hydromorphone hydrochloride 0,5 mg/ml
Injekcje Ceftaroline fosamil 2,22 mg/ml
Chlorek sodu 0,9% 3249
Zgodny
Injekcje Hydromorphone hydrochloride 2 >> 40 mg/ml
Injekcje Ceftazidime 40 & 180 mg/ml
Glukoza 5% 226
Zgodny
Injekcje Hydromorphone hydrochloride 0.2 mg/ml
Injekcje Ceftizoxime sodium 20 mg/ml
Glukoza 5% 405
Natychmiastowe opady Niekompatybilny
Injekcje Hydromorphone hydrochloride 1 mg/ml
Injekcje Ceftobiprole medocaril sodium 2 mg/ml
Chlorek sodu 0,9% 2269
Natychmiastowe opady Niekompatybilny
Injekcje Hydromorphone hydrochloride 1 mg/ml
Injekcje Ceftobiprole medocaril sodium 2 mg/ml
Roztwór Ringera z mleczanem sodowym 2269
Nieokreślona niezgodność Niekompatybilny
Injekcje Hydromorphone hydrochloride
Injekcje Ceftobiprole medocaril sodium
4650
Natychmiastowe opady Niekompatybilny
Injekcje Hydromorphone hydrochloride 1 mg/ml
Injekcje Ceftobiprole medocaril sodium 2 mg/ml
Glukoza 5% 2269
Zgodny
Injekcje Hydromorphone hydrochloride 1 mg/ml
Injekcje Ceftolozane / tazobactam 10/5 mg/ml
Glukoza 5% 3828
Zgodny
Injekcje Hydromorphone hydrochloride 1 mg/ml
Injekcje Ceftolozane / tazobactam 10/5 mg/ml
Chlorek sodu 0,9% 3828
Zgodny
Injekcje Hydromorphone hydrochloride 0.2 mg/ml
Injekcje Cefuroxime sodium 30 mg/ml
Glukoza 5% 405
Zgodny
Injekcje Hydromorphone hydrochloride 0.2 mg/ml
Injekcje Chloramphenicol sodium succinate 20 mg/ml
Glukoza 5% 405
Zgodny
Injekcje Hydromorphone hydrochloride 0.5 mg/ml
Injekcje Cisatracurium besylate 0.1 >> 5 mg/ml
Glukoza 5% 299
Zgodny
Injekcje Hydromorphone hydrochloride 0.5 mg/ml
Injekcje Cladribine 0.015 mg/ml
Chlorek sodu 0,9% 1496
Zgodny
Injekcje Hydromorphone hydrochloride 0.5 mg/ml
Injekcje Cladribine 0.5 mg/ml
NaCl 0,9% + bakteriostatyk 1496
Zgodny
Injekcje Hydromorphone hydrochloride 10 mg/ml
Injekcje Cloxacillin sodium 100 mg/ml
Woda do wstrzyknięć 3012
Zgodny
Injekcje Hydromorphone hydrochloride 0.2 mg/ml
Injekcje Co-trimoxazole 4/0.8 mg/ml
Glukoza 5% 405
Zgodny
Injekcje Hydromorphone hydrochloride < 10 mg/ml
Injekcje Dexamethasone sodium phosphate 2 >> 10 mg/ml
389
Zgodny
Injekcje Hydromorphone hydrochloride 0.5 mg/ml
Injekcje Dexamethasone sodium phosphate 1 mg/ml
Glukoza 5% 1974
Zgodny
Injekcje Hydromorphone hydrochloride 1 >> 40 mg/ml
Injekcje Dexamethasone sodium phosphate < 2 mg/ml
389
Zgodny
Injekcje Hydromorphone hydrochloride 0.5 mg/ml
Injekcje Dexmedetomidine 4 µg/ml
Chlorek sodu 0,9% 1712
Opady po 2 godzinach Niekompatybilny
Injekcje Hydromorphone hydrochloride
Injekcje Dimenhydrinate
2087
Zgodny
Injekcje Hydromorphone hydrochloride 0.5 mg/ml
Odżywianie pozajelitowe (mieszanina binarny) 301
Zgodny
Injekcje Hydromorphone hydrochloride 2 mg/ml
Injekcje Cimetidine hydrochloride 150 mg/ml
1438
Zgodny
Injekcje Hydromorphone hydrochloride 0.2 mg/ml
Injekcje Clindamycin phosphate 12 mg/ml
Glukoza 5% 405
Natychmiastowe opady Niekompatybilny
Injekcje Hydromorphone hydrochloride 2 >> 40 mg/ml
Injekcje Cloxacillin sodium 40 & 250 mg/ml
Glukoza 5% 226
Natychmiastowe opady Niekompatybilny
Injekcje Hydromorphone hydrochloride
Injekcje Cyclizine lactate
5073
Zgodny
Injekcje Hydromorphone hydrochloride
Injekcje Dexamethasone sodium phosphate
5073
Natychmiastowe opady Niekompatybilny
Injekcje Hydromorphone hydrochloride > 15 mg/ml
Injekcje Dexamethasone sodium phosphate > 3 mg/ml
389
Zgodny
Injekcje Hydromorphone hydrochloride 0.5 mg/ml
Injekcje Diazepam 0.5 mg/ml
Glukoza 5% 1974
Natychmiastowe opady Niekompatybilny
Injekcje Hydromorphone hydrochloride 2 >> 40 mg/ml
Injekcje Diazepam 5 mg/ml
Glukoza 5% 226
Zgodny
Injekcje Hydromorphone hydrochloride 1 mg/ml
Injekcje Diltiazem hydrochloride 1 mg/ml
314
Zgodny
Injekcje Hydromorphone hydrochloride 2 >> 40 mg/ml
Injekcje Dimenhydrinate 50 mg/ml
Żaden 1497
Zgodny
Injekcje Hydromorphone hydrochloride 0.5 mg/ml
Injekcje Diphenhydramine hydrochloride 2 mg/ml
Glukoza 5% 1974
Zgodny
Injekcje Hydromorphone hydrochloride 1 mg/ml
Injekcje Dobutamine hydrochloride 4 mg/ml
314
Zgodny
Injekcje Hydromorphone hydrochloride 0.5 mg/ml
Injekcje Docetaxel 0.9 mg/ml
Glukoza 5% 1754
Zgodny
Injekcje Hydromorphone hydrochloride 1 mg/ml
Injekcje Dopamine hydrochloride 3.2 mg/ml
314
Zgodny
Injekcje Hydromorphone hydrochloride 1 mg/ml
Injekcje Doripenem 5 mg/ml
Glukoza 5% 2262
Zgodny
Injekcje Hydromorphone hydrochloride 1 mg/ml
Injekcje Doripenem 5 mg/ml
Chlorek sodu 0,9% 2262
Zgodny
Injekcje Hydromorphone hydrochloride 0.5 mg/ml
Injekcje Doxorubicin hydrochloride liposome peg 0.4 mg/ml
Glukoza 5% 251
Zgodny
Injekcje Hydromorphone hydrochloride 0.2 mg/ml
Injekcje Doxycycline hyclate 1 mg/ml
Glukoza 5% 405
Zgodny
Injekcje Hydromorphone hydrochloride 1 mg/ml
Injekcje Epinephrine hydrochloride 20 µg/ml
314
Zgodny
Injekcje Hydromorphone hydrochloride 1 mg/ml
Injekcje Eravacycline 0,6 mg/ml
Chlorek sodu 0,9% 4434
Zgodny
Injekcje Hydromorphone hydrochloride 0.2 mg/ml
Injekcje Erythromycin lactobionate 5 mg/ml
Glukoza 5% 405
Zgodny
Injekcje Hydromorphone hydrochloride 0.5 mg/ml
Injekcje Etoposide phosphate 5 mg/ml
Glukoza 5% 1410
Zgodny
Injekcje Hydromorphone hydrochloride 0.5 mg/ml
Injekcje Famotidine 2 mg/ml
Chlorek sodu 0,9% 215
Zgodny
Injekcje Hydromorphone hydrochloride 0.5 mg/ml
Injekcje Fenoldopam mesylate 80 µg/ml
Chlorek sodu 0,9% 1803
Zgodny
Injekcje Hydromorphone hydrochloride 1 mg/ml
Injekcje Fentanyl citrate 50 µg/ml
314
Zgodny
Injekcje Hydromorphone hydrochloride 0.5 mg/ml
Injekcje Filgrastim 30 µg/ml
Glukoza 5% 244
Zgodny
Injekcje Hydromorphone hydrochloride 0.5 mg/ml
Injekcje Fludarabine phosphate 1 mg/ml
Glukoza 5% 492
Zgodny
Injekcje Hydromorphone hydrochloride 0.5 mg/ml
Injekcje Fluorouracil 1 & 16 mg/ml
Glukoza 5% 513
Zgodny
Injekcje Hydromorphone hydrochloride 0.5 mg/ml
Injekcje Fluorouracil 1 & 16 mg/ml
Chlorek sodu 0,9% 513
Zgodny
Injekcje Hydromorphone hydrochloride 10 mg/ml
Injekcje Foscarnet sodium 24 mg/ml
Żaden 73
Zgodny
Injekcje Hydromorphone hydrochloride 1 mg/ml
Injekcje Fosfomycin 30 mg/ml
Glukoza 5% 4055
Zgodny
Injekcje Hydromorphone hydrochloride 1 mg/ml
Injekcje Fosfomycin 30 mg/ml
Chlorek sodu 0,9% 4055
Zgodny
Injekcje Hydromorphone hydrochloride 1 mg/ml
Injekcje Furosemide 10 mg/ml
314
Zmętnienie w 24 godziny Niekompatybilny
Injekcje Hydromorphone hydrochloride 4 mg/ml
Injekcje Gallium nitrate 1 mg/ml
Chlorek sodu 0,9% 91
Zgodny
Injekcje Hydromorphone hydrochloride 0.5 mg/ml
Injekcje Gemcitabine hydrochloride 10 mg/ml
Chlorek sodu 0,9% 1423
Zgodny
Injekcje Hydromorphone hydrochloride 0.2 mg/ml
Injekcje Gentamicin sulfate 0.8 mg/ml
Glukoza 5% 405
Zgodny
Injekcje Hydromorphone hydrochloride
Injekcje Glycopyrronium bromide
5073
Zgodny
Injekcje Hydromorphone hydrochloride 0.5 mg/ml
Injekcje Granisetron hydrochloride 0.056 mg/ml
Chlorek sodu 0,9% 6
Zgodny
Injekcje Hydromorphone hydrochloride 0.5 mg/ml
Injekcje Granisetron hydrochloride 1 mg/ml
Chlorek sodu 0,9% 57
Zgodny
Injekcje Hydromorphone hydrochloride 0.5 mg/ml
Injekcje Granisetron hydrochloride 0.05 mg/ml
Glukoza 5% 182
Zgodny
Injekcje Hydromorphone hydrochloride 10 mg/ml
Injekcje Haloperidol lactate 1 mg/ml
Żaden 216
Zgodny
Injekcje Hydromorphone hydrochloride 10 mg/ml
Injekcje Haloperidol lactate 5 mg/ml
Żaden 216
Zgodny
Injekcje Hydromorphone hydrochloride 1 mg/ml
Injekcje Haloperidol lactate 5 mg/ml
Żaden 216
Zgodny
Injekcje Hydromorphone hydrochloride 1 mg/ml
Injekcje Haloperidol lactate 2 mg/ml
Żaden 216
Zgodny
Injekcje Hydromorphone hydrochloride 1 mg/ml
Injekcje Haloperidol lactate 1 mg/ml
Żaden 216
Zgodny
Injekcje Hydromorphone hydrochloride 0.5 mg/ml
Injekcje Haloperidol lactate 0.2 mg/ml
Glukoza 5% 1974
Zgodny
Injekcje Hydromorphone hydrochloride
Injekcje Haloperidol lactate
5073
Zgodny
Injekcje Hydromorphone hydrochloride 10 mg/ml
Injekcje Haloperidol lactate 2 mg/ml
Żaden 216
Zgodny
Injekcje Hydromorphone hydrochloride <12.5 mg/ml
Injekcje Heparin sodium
Woda do wstrzyknięć 66
Zgodny
Injekcje Hydromorphone hydrochloride <12.5 mg/ml
Injekcje Heparin sodium
Chlorek sodu 0,9% 66
Zgodny
Injekcje Hydromorphone hydrochloride 1 mg/ml
Injekcje Heparin sodium 100 UI/ml
314
Natychmiastowe opady Niekompatybilny
Injekcje Hydromorphone hydrochloride >25 mg/ml
Injekcje Heparin sodium <12,5 UI/ml
Woda do wstrzyknięć 66
Natychmiastowe opady Niekompatybilny
Injekcje Hydromorphone hydrochloride >10 mg/ml
Injekcje Heparin sodium <1 UI/ml
Woda do wstrzyknięć 66
Natychmiastowe opady Niekompatybilny
Injekcje Hydromorphone hydrochloride >25 mg/ml
Injekcje Heparin sodium <12,5 UI/ml
Chlorek sodu 0,9% 66
Zgodny
Injekcje Hydromorphone hydrochloride 0.5 mg/ml
Injekcje Hetastarch 60 mg/ml
danego rozpuszczalnika 1721
Niestabilność chemiczna Niekompatybilny
Injekcje Hydromorphone hydrochloride 2 >> 40 mg/ml
Injekcje Hyaluronidase 150 UI/ml
Glukoza 5% 9
Zgodny
Injekcje Hydromorphone hydrochloride
Injekcje Hyaluronidase
3184
Niestabilność chemiczna Niekompatybilny
Injekcje Hydromorphone hydrochloride 2 >> 40 mg/ml
Injekcje Hyaluronidase 150 UI/ml
Chlorek sodu 0,9% 9
Zgodny
Injekcje Hydromorphone hydrochloride 0.5 mg/ml
Injekcje Hydroxyzine dihydrochloride 4 mg/ml
Glukoza 5% 1974
Zgodny
Injekcje Hydromorphone hydrochloride 1 mg/ml
Injekcje Isavuconazonium sulfate 1.5 mg/ml
Chlorek sodu 0,9% 3829
Zgodny
Injekcje Hydromorphone hydrochloride 1 mg/ml
Injekcje Isavuconazonium sulfate 1.5 mg/ml
Glukoza 5% 3829
Zgodny
Injekcje Hydromorphone hydrochloride 0.2 mg/ml
Injekcje Kanamycin sulfate 2.5 mg/ml
Glukoza 5% 405
Zgodny
Injekcje Hydromorphone hydrochloride
Injekcje Ketamine hydrochloride
5073
Zgodny
Injekcje Hydromorphone hydrochloride 0.2 mg/ml
Injekcje Ketamine hydrochloride 0.2 >> 1 mg/ml
Chlorek sodu 0,9% 2336
Zgodny
Injekcje Hydromorphone hydrochloride 0.5 mg/ml
Injekcje Ketorolac tromethamine 1 mg/ml
Glukoza 5% 1974
Zgodny
Injekcje Hydromorphone hydrochloride 10 mg/ml
Injekcje Ketorolac tromethamine 15 mg/ml
Żaden 216
Zgodny
Injekcje Hydromorphone hydrochloride 1 mg/ml
Injekcje Ketorolac tromethamine 30 mg/ml
Żaden 216
Zgodny
Injekcje Hydromorphone hydrochloride 1 mg/ml
Injekcje Ketorolac tromethamine 15 mg/ml
Żaden 216
Natychmiastowe opady Niekompatybilny
Injekcje Hydromorphone hydrochloride 10 mg/ml
Injekcje Ketorolac tromethamine 30 mg/ml
Żaden 216
Zgodny
Injekcje Hydromorphone hydrochloride 1 mg/ml
Injekcje Labetalol hydrochloride 2 mg/ml
314
Opady po 1 godzinie Niekompatybilny
Injekcje Hydromorphone hydrochloride 0.5 mg/ml
Injekcje Lansoprazole 0.55 mg/ml
Chlorek sodu 0,9% 1625
Zgodny
Injekcje Hydromorphone hydrochloride 2 mg/ml
Injekcje Levofloxacine 5 mg/ml
Żaden 2335
Zgodny
Injekcje Hydromorphone hydrochloride
Injekcje Levomepromazine
5073
Zgodny
Injekcje Hydromorphone hydrochloride 10 mg/ml
Injekcje Levosimendan 2,5 mg/ml
4389
Zgodny
Injekcje Hydromorphone hydrochloride 0.5 mg/ml
Injekcje Linezolid 2 mg/ml
Żaden 1925
Zgodny
Injekcje Hydromorphone hydrochloride 0.5 mg/ml
Injekcje Lorazepam 0.1 mg/ml
Glukoza 5% 1974
Zgodny
Injekcje Hydromorphone hydrochloride 2 >> 40 mg/ml
Injekcje Lorazepam 4 mg/ml
Żaden 1497
Zgodny
Injekcje Hydromorphone hydrochloride 1 mg/ml
Injekcje Lorazepam 0.5 mg/ml
314
Zgodny
Injekcje Hydromorphone hydrochloride 2 mg/ml
Injekcje Magnesium sulfate 16,67 >> 100 mg/ml
Glukoza 5% 517
Zgodny
Injekcje Hydromorphone hydrochloride 0.5 mg/ml
Injekcje Melphalan 0.1 mg/ml
Chlorek sodu 0,9% 169
Zgodny
Injekcje Hydromorphone hydrochloride 10 mg/ml
Injekcje Meropenem 50 mg/ml
Woda do wstrzyknięć 4319
Niestabilność chemiczna Niekompatybilny
Injekcje Hydromorphone hydrochloride
Injekcje Metamizol sodium
2364
Zgodny
Injekcje Hydromorphone hydrochloride
Injekcje Metoclopramide hydrochloride
5073
Zgodny
Injekcje Hydromorphone hydrochloride 0.5 mg/ml
Injekcje Metoclopramide hydrochloride 5 mg/ml
Glukoza 5% 1974
Zgodny
Injekcje Hydromorphone hydrochloride 0.2 mg/ml
Injekcje Metronidazole 5 mg/ml
Glukoza 5% 405
Zgodny
Injekcje Hydromorphone hydrochloride 0.5 mg/ml
Injekcje Micafungin 1.5 mg/ml
Chlorek sodu 0,9% 2108
Zgodny
Injekcje Hydromorphone hydrochloride
Injekcje Midazolam hydrochloride
5073
Zgodny
Injekcje Hydromorphone hydrochloride 0.5 mg/ml
Injekcje Midazolam hydrochloride 0.2 mg/ml
Glukoza 5% 1974
Zgodny
Injekcje Hydromorphone hydrochloride 0.5 >> 45 mg/ml
Injekcje Midazolam hydrochloride 0.1 >> 4.5 mg/ml
Glukoza 5% 345
Zgodny
Injekcje Hydromorphone hydrochloride 1 mg/ml
Injekcje Midazolam hydrochloride 2 mg/ml
314
Zgodny
Injekcje Hydromorphone hydrochloride 0.5 >> 45 mg/ml
Injekcje Midazolam hydrochloride 0.1 >> 4.5 mg/ml
Chlorek sodu 0,9% 345
Zgodny
Injekcje Hydromorphone hydrochloride 1 mg/ml
Injekcje Milrinone lactate 0.2 mg/ml
314
Fargeendring etter 1 time Niekompatybilny
Injekcje Hydromorphone hydrochloride 0.2 mg/ml
Injekcje Minocycline hydrochloride 0.2 mg/ml
Glukoza 5% 405
Zgodny
Injekcje Hydromorphone hydrochloride 1 mg/ml
Injekcje Morphine sulfate 2 mg/ml
314
Zgodny
Injekcje Hydromorphone hydrochloride 0.2 mg/ml
Injekcje Moxalactam 20 mg/ml
Glukoza 5% 405
Zgodny
Injekcje Hydromorphone hydrochloride 0.2 mg/ml
Injekcje Nafcillin sodium 20 mg/ml
Glukoza 5% 405
Zgodny
Injekcje Hydromorphone hydrochloride 10 mg/ml
Injekcje Naloxone hydrochloride 0.4 mg/ml
Żaden 3408
Zgodny
Injekcje Hydromorphone hydrochloride 1 mg/ml
Injekcje Nicardipine hydrochloride 1 mg/ml
314
Zgodny
Injekcje Hydromorphone hydrochloride 1 mg/ml
Injekcje Nitroglycerin 0.4 mg/ml
314
Zgodny
Injekcje Hydromorphone hydrochloride 1 mg/ml
Injekcje Norepinephrine bitartrate 0.128 mg/ml
314
Zgodny
Injekcje Hydromorphone hydrochloride 0,5 mg/ml
Injekcje Ondansetron hydrochloride 0,1 & 1 mg/ml
Chlorek sodu 0,9% 6
Zgodny
Injekcje Hydromorphone hydrochloride 0.5 mg/ml
Injekcje Ondansetron hydrochloride 1 mg/ml
Chlorek sodu 0,9% 334
Zgodny
Injekcje Hydromorphone hydrochloride 0.2 mg/ml
Injekcje Oxacillin sodium 20 mg/ml
Glukoza 5% 405
Zgodny
Injekcje Hydromorphone hydrochloride 0,5 mg/ml
Injekcje Oxaliplatin 0,5 mg/ml
Glukoza 5% 1662
Zgodny
Injekcje Hydromorphone hydrochloride 0.5 mg/ml
Injekcje Paclitaxel 1.2 mg/ml
Glukoza 5% 248
Zgodny
Injekcje Hydromorphone hydrochloride 0.5 mg/ml
Injekcje Palonosetron hydrochloride 50 µg/ml
Glukoza 5% 2196
Opady po 4 godzinach Niekompatybilny
Injekcje Hydromorphone hydrochloride
Injekcje Pantoprazole sodium
2090
Zgodny
Injekcje Hydromorphone hydrochloride 10 mg/ml
Injekcje Paracetamol 10 mg/ml
4742
Zgodny
Injekcje Hydromorphone hydrochloride 2 mg/ml
Injekcje Paracetamol 10 mg/ml
Żaden 3571
Nieokreślona niezgodność Niekompatybilny
Injekcje Hydromorphone hydrochloride
Injekcje Parecoxib sodium
3504
Zgodny
Injekcje Hydromorphone hydrochloride 0.5 mg/ml
Injekcje Pemetrexed disodium 20 mg/ml
Chlorek sodu 0,9% 1953
Zgodny
Injekcje Hydromorphone hydrochloride 0.2 mg/ml
Injekcje Penicillin G potassium 0.1 MUI/ml
Glukoza 5% 405
Natychmiastowe opady Niekompatybilny
Injekcje Hydromorphone hydrochloride 2 >> 40 mg/ml
Injekcje Phenobarbital sodium 120 mg/ml
Glukoza 5% 226
Zgodny
Injekcje Hydromorphone hydrochloride 0.5 mg/ml
Injekcje Phenobarbital sodium 2 mg/ml
Glukoza 5% 1974
Natychmiastowe opady Niekompatybilny
Injekcje Hydromorphone hydrochloride 2 >> 40 mg/ml
Injekcje Phenytoin sodium 50 mg/ml
Glukoza 5% 226
Opady po 1 godzinie Niekompatybilny
Injekcje Hydromorphone hydrochloride 0.5 mg/ml
Injekcje Phenytoin sodium 2 mg/ml
Glukoza 5% 1974
Zgodny
Injekcje Hydromorphone hydrochloride 0.2 mg/ml
Injekcje Piperacillin sodium 60 mg/ml
Glukoza 5% 405
Zgodny
Injekcje Hydromorphone hydrochloride 0.5 mg/ml
Injekcje Piperacillin sodium / tazobactam 40/5 mg/ml
Glukoza 5% 81
Zgodny
Injekcje Hydromorphone hydrochloride 1 mg/ml
Injekcje Plazomicin sulfate 24 mg/ml
Chlorek sodu 0,9% 4145
Zgodny
Injekcje Hydromorphone hydrochloride
Injekcje Posaconazole
4380
Zgodny
Injekcje Hydromorphone hydrochloride 25 mg/ml
Injekcje Potassium chloride 1000 mEq/l
Woda do wstrzyknięć 66
Zgodny
Injekcje Hydromorphone hydrochloride 5 >> 20 mg/ml
Injekcje Potassium chloride 500 & 1000 mEq/l
Glukoza 5% 66
Zgodny
Injekcje Hydromorphone hydrochloride 2 >> 40 mg/ml
Injekcje Prochlorperazine edysilate 5 mg/ml
Żaden 1497
Zgodny
Injekcje Hydromorphone hydrochloride 0,5 mg/ml
Injekcje Prochlorperazine edysilate 1,5 mg/ml
Chlorek sodu 0,9% 767
Zgodny
Injekcje Hydromorphone hydrochloride 1 mg/ml
Injekcje Promethazine hydrochloride 0.3 mg/ml
Chlorek sodu 0,9% 795
Zgodny
Injekcje Hydromorphone hydrochloride 0.5 mg/ml
Injekcje Propofol 10 mg/ml
Żaden 300
Zgodny
Injekcje Hydromorphone hydrochloride 1 mg/ml
Injekcje Ranitidine hydrochloride 1 mg/ml
314
Zgodny
Injekcje Hydromorphone hydrochloride 2 mg/ml
Injekcje Ranitidine hydrochloride 25 mg/ml
Żaden 58
Zgodny
Injekcje Hydromorphone hydrochloride 1 mg/ml
Injekcje Remdesivir 1 mg/ml
Chlorek sodu 0,9% 4768
Zgodny
Injekcje Hydromorphone hydrochloride 10 mg/ml
Injekcje Salbutamol sulfate 1 mg/ml
Żaden 3216
Opad po 30 minutach Niekompatybilny
Injekcje Hydromorphone hydrochloride 0.5 mg/ml
Injekcje Sargramostim 10 µg/ml
Chlorek sodu 0,9% 335
Zgodny
Injekcje Hydromorphone hydrochloride 0.5 mg/ml
Injekcje Scopolamine hydrobromide 0.05 mg/ml
Glukoza 5% 1974
Zgodny
Injekcje Hydromorphone hydrochloride
Injekcje Scopolamine hydrobromide
5073
Zgodny
Injekcje Hydromorphone hydrochloride 0,1 & 1 mg/ml
Injekcje Tacrolimus 5 & 20 µg/ml
Glukoza 5% 814
Zgodny
Injekcje Hydromorphone hydrochloride 1 mg/ml
Injekcje Tedizolid phosphate 0.8 mg/ml
Chlorek sodu 0,9% 3827
Zgodny
Injekcje Hydromorphone hydrochloride 0.5 mg/ml
Injekcje Teniposide 0.1 mg/ml
Glukoza 5% 905
Natychmiastowe opady Niekompatybilny
Injekcje Hydromorphone hydrochloride 10 mg/ml
Injekcje Thiopental sodium 25 mg/ml
Chlorek sodu 0,9% 3767
Opady po 4 godzinach Niekompatybilny
Injekcje Hydromorphone hydrochloride 1 mg/ml
Injekcje Thiopental sodium 25 mg/ml
314
Zgodny
Injekcje Hydromorphone hydrochloride 0.5 mg/ml
Injekcje Thiotepa 1 mg/ml
Glukoza 5% 249
Zgodny
Injekcje Hydromorphone hydrochloride
Chlorek sodu 0,9% 5073
Zgodny
Injekcje Hydromorphone hydrochloride
Injekcje Scopolamine N-butyl bromide
5073
Zgodny
Injekcje Hydromorphone hydrochloride 1 mg/ml
Injekcje Sulbactam/durlobactam 15/15 mg/ml
Chlorek sodu 0,9% 4801
Zgodny
Injekcje Hydromorphone hydrochloride 0.2 mg/ml
Injekcje Tobramycin sulfate 0.8 mg/ml
Glukoza 5% 405
Zgodny
Injekcje Hydromorphone hydrochloride 0.2 mg/ml
Injekcje Vancomycin hydrochloride 5 mg/ml
Glukoza 5% 405
Zgodny
Injekcje Hydromorphone hydrochloride 2 mg/ml
Injekcje Vancomycin hydrochloride 4 mg/ml
Chlorek sodu 0,9% 2335
Zgodny
Injekcje Hydromorphone hydrochloride 1 mg/ml
Injekcje Vecuronium bromide 1 mg/ml
314
Zgodny
Injekcje Hydromorphone hydrochloride 0.016 mg/ml
Injekcje Verapamil hydrochloride 0.08 mg/ml
Chlorek sodu 0,9% 1057
Zgodny
Injekcje Hydromorphone hydrochloride 0.016 mg/ml
Injekcje Verapamil hydrochloride 0.08 mg/ml
Glukoza 5% 1057
Zgodny
Injekcje Hydromorphone hydrochloride 0.5 mg/ml
Injekcje Vinorelbine tartrate 1 mg/ml
Chlorek sodu 0,9% 84

  Mentions Légales