viimane versioon :
27/04/2026
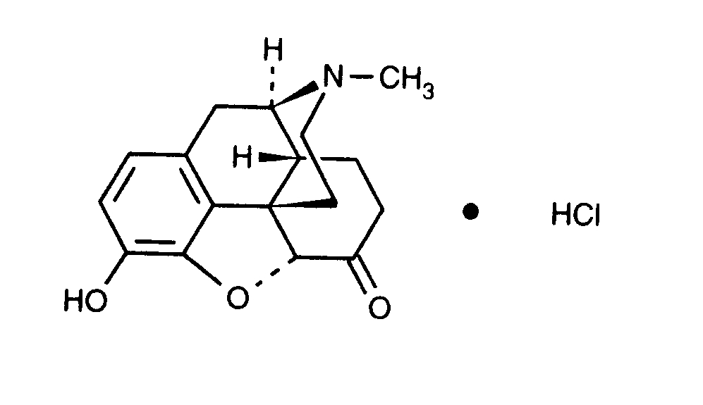
analgeetikum   Hydromorphone hydrochloride  
Süsteravim
Stabiilsus lahustes Stabiilsust mõjutavad tegurid stabiilsust mõjutavad faktorid Sobimatus Manustamis viis Viited pdf
   keemiline struktuur  

Kaubanduslikud nimed erinevates maades   Kaubanduslikud nimed erinevates maades     

Preparaatide nimed on näitlikud ja abianete sisaldus võib erineda sõltuvalt riigist ja laborist

Dilaudid Ameerika ühendriigid, Kanada
Hydal Austria
Palladon Sveits, Taani
Palladone Suurbritannia
Sobimatus   Süsteravim   Sobimatus : Hydromorphone hydrochloride              
Sellel lehel kuvatakse sobimatusi ja sobimatuse tüüpi (sadenemine, värvuse muutus, emulsiooni modifitseerumine jne). Enamasti on siin lehel kuvatud füüsikalised sobimatused, kuna molekulide keemilist stabiilsust hinnatakse harva. Hinnatud on segude sobivust Y-liinis. Antud infot ei saa kasutada ravimite sobivuse hindamiseks juhul, kui ravimid on segatud süstaldes või infusioonikottides. See info on lehel « stabiilsus segudes ».
ingredient lahusti Viited
Ühilduv
Süsteravim Hydromorphone hydrochloride 0.04 mg/ml
Süsteravim Aciclovir sodium 5 mg/ml
glükoos 5% 336
Ühilduv
Süsteravim Hydromorphone hydrochloride 0.5 mg/ml
Süsteravim Allopurinol sodium 3 mg/ml
naatriumkloriid 0.9% 307
Ühilduv
Süsteravim Hydromorphone hydrochloride 0.5 mg/ml
Süsteravim Amifostine 10 mg/ml
glükoos 5% 3
Ühilduv
Süsteravim Hydromorphone hydrochloride 0.2 mg/ml
Süsteravim Amikacin sulfate 5 mg/ml
glükoos 5% 405
Ühilduv
Süsteravim Hydromorphone hydrochloride 10 mg/ml
Süsteravim Amoxicillin sodium / clavulanic acid 100/10 mg/ml
3824
Ühilduv
Süsteravim Hydromorphone hydrochloride 2 >> 40 mg/ml
Süsteravim Ampicillin sodium 20 & 250 mg/ml
glükoos 5% 226
Ühilduv
Süsteravim Hydromorphone hydrochloride 0.5 mg/ml
Süsteravim Amsacrine 1 mg/ml
glükoos 5% 253
Ühilduv
Süsteravim Hydromorphone hydrochloride 0.5 mg/ml
Süsteravim Anidulafungin 0.5 mg/ml
glükoos 5% 1982
Ühilduv
Süsteravim Hydromorphone hydrochloride 0.5 mg/ml
Süsteravim Aztreonam 40 mg/ml
glükoos 5% 99
Ühilduv
Süsteravim Hydromorphone hydrochloride 0.5 mg/ml
Süsteravim Bivalirudin 5 mg/ml
glükoos 5% 1713
Emulsiooni kohene ebastabiilsus Sobimatu
Süsteravim Hydromorphone hydrochloride 0.5 mg/ml
Parenteraalse toitmise (lipiidide) 1415
Ühilduv
Süsteravim Hydromorphone hydrochloride 10 mg/ml
Ringer laktaat 4603
Hägususe kaotus Sobimatu
Süsteravim Hydromorphone hydrochloride 0.5 mg/ml
Süsteravim Amphotericin B cholesteryl sulfate complex 0.83 mg/ml
glükoos 5% 921
Ühilduv
Süsteravim Hydromorphone hydrochloride 0.2 mg/ml
Süsteravim Ampicillin sodium 20 mg/ml
glükoos 5% 405
Ühilduv
Süsteravim Hydromorphone hydrochloride 0.5 mg/ml
Süsteravim Atropine sulfate 0.4 mg/ml
glükoos 5% 1974
Ühilduv
Süsteravim Hydromorphone hydrochloride 0,02 & 0,1 mg/ml
Süsteravim Bupivacaine hydrochloride 0,625 & 1,25 mg/ml
naatriumkloriid 0.9% 306
Ühilduv
Süsteravim Hydromorphone hydrochloride
glükoos 5% 5073
Ühilduv
Süsteravim Hydromorphone hydrochloride 0,02 & 0,04 mg/ml
Süsteravim Bupivacaine hydrochloride 2,5 mg/ml
naatriumkloriid 0.9% 1931
Ühilduv
Süsteravim Hydromorphone hydrochloride 15 mg/ml
Süsteravim Bupivacaine hydrochloride 10 mg/ml
mitte ükski 4200
Ühilduv
Süsteravim Hydromorphone hydrochloride 2,5 mg/ml
Parenteraalse toitmise (lipiidide) 4507
Ühilduv
Süsteravim Hydromorphone hydrochloride 25 mg/ml
Süsteravim Bupivacaine hydrochloride 20 mg/ml
naatriumkloriid 0.9% 3131
Ühilduv
Süsteravim Hydromorphone hydrochloride 65 mg/ml
Süsteravim Bupivacaine hydrochloride 7,5 mg/ml
mitte ükski 221
Ühilduv
Süsteravim Hydromorphone hydrochloride 50 mg/ml
Süsteravim Caffeine 10 mg/ml
mitte ükski 3964
Ühilduv
Süsteravim Hydromorphone hydrochloride 1 mg/ml
Süsteravim Caspofungin acetate 0,7 mg/ml
naatriumkloriid 0.9% 2247
Ühilduv
Süsteravim Hydromorphone hydrochloride 1 mg/ml
Süsteravim Caspofungin acetate 0.5 mg/ml
naatriumkloriid 0.9% 2233
Ühilduv
Süsteravim Hydromorphone hydrochloride 0.2 mg/ml
Süsteravim Cefalotin sodium 20 mg/ml
glükoos 5% 405
Ühilduv
Süsteravim Hydromorphone hydrochloride 0.2 mg/ml
Süsteravim Cefamandole nafate 20 mg/ml
glükoos 5% 405
Ühilduv
Süsteravim Hydromorphone hydrochloride 0.2 mg/ml
Süsteravim Cefazolin sodium 20 mg/ml
glükoos 5% 405
Ühilduv
Süsteravim Hydromorphone hydrochloride 2 >> 40 mg/ml
Süsteravim Cefazolin sodium 20 mg/ml
glükoos 5% 226
Kohene sade Sobimatu
Süsteravim Hydromorphone hydrochloride 2 >> 40 mg/ml
Süsteravim Cefazolin sodium >200 mg/ml
glükoos 5% 226
Ühilduv
Süsteravim Hydromorphone hydrochloride 1 mg/ml
Süsteravim Cefiderocol sulfate tosylate 20 mg/mL
naatriumkloriid 0.9% 4528
Ühilduv
Süsteravim Hydromorphone hydrochloride 1 mg/ml
Süsteravim Cefiderocol sulfate tosylate 20 mg/mL
glükoos 5% 4528
Ühilduv
Süsteravim Hydromorphone hydrochloride 0.2 mg/ml
Süsteravim Cefmetazole sodium 100 mg/ml
süstevesi 93
Ühilduv
Süsteravim Hydromorphone hydrochloride 0.2 mg/ml
Süsteravim Cefoperazone sodium 20 mg/ml
glükoos 5% 405
Ühilduv
Süsteravim Hydromorphone hydrochloride 0.2 mg/ml
Süsteravim Ceforanide 20 mg/ml
glükoos 5% 405
Ühilduv
Süsteravim Hydromorphone hydrochloride 0.2 mg/ml
Süsteravim Cefotaxime sodium 20 mg/ml
glükoos 5% 405
Ühilduv
Süsteravim Hydromorphone hydrochloride 0.2 mg/ml
Süsteravim Cefoxitin sodium 20 mg/ml
glükoos 5% 405
Ühilduv
Süsteravim Hydromorphone hydrochloride 0,5 mg/ml
Süsteravim Ceftaroline fosamil 2,22 mg/ml
Ringer laktaat 3249
Ühilduv
Süsteravim Hydromorphone hydrochloride 0,5 mg/ml
Süsteravim Ceftaroline fosamil 2,22 mg/ml
glükoos 5% 3249
Ühilduv
Süsteravim Hydromorphone hydrochloride 0,5 mg/ml
Süsteravim Ceftaroline fosamil 2,22 mg/ml
naatriumkloriid 0.9% 3249
Ühilduv
Süsteravim Hydromorphone hydrochloride 2 >> 40 mg/ml
Süsteravim Ceftazidime 40 & 180 mg/ml
glükoos 5% 226
Ühilduv
Süsteravim Hydromorphone hydrochloride 0.2 mg/ml
Süsteravim Ceftizoxime sodium 20 mg/ml
glükoos 5% 405
Kohene sade Sobimatu
Süsteravim Hydromorphone hydrochloride 1 mg/ml
Süsteravim Ceftobiprole medocaril sodium 2 mg/ml
naatriumkloriid 0.9% 2269
Kohene sade Sobimatu
Süsteravim Hydromorphone hydrochloride 1 mg/ml
Süsteravim Ceftobiprole medocaril sodium 2 mg/ml
Ringer laktaat 2269
Täpsustamata sobimatus Sobimatu
Süsteravim Hydromorphone hydrochloride
Süsteravim Ceftobiprole medocaril sodium
4650
Kohene sade Sobimatu
Süsteravim Hydromorphone hydrochloride 1 mg/ml
Süsteravim Ceftobiprole medocaril sodium 2 mg/ml
glükoos 5% 2269
Ühilduv
Süsteravim Hydromorphone hydrochloride 1 mg/ml
Süsteravim Ceftolozane / tazobactam 10/5 mg/ml
glükoos 5% 3828
Ühilduv
Süsteravim Hydromorphone hydrochloride 1 mg/ml
Süsteravim Ceftolozane / tazobactam 10/5 mg/ml
naatriumkloriid 0.9% 3828
Ühilduv
Süsteravim Hydromorphone hydrochloride 0.2 mg/ml
Süsteravim Cefuroxime sodium 30 mg/ml
glükoos 5% 405
Ühilduv
Süsteravim Hydromorphone hydrochloride 0.2 mg/ml
Süsteravim Chloramphenicol sodium succinate 20 mg/ml
glükoos 5% 405
Ühilduv
Süsteravim Hydromorphone hydrochloride 0.5 mg/ml
Süsteravim Cisatracurium besylate 0.1 >> 5 mg/ml
glükoos 5% 299
Ühilduv
Süsteravim Hydromorphone hydrochloride 0.5 mg/ml
Süsteravim Cladribine 0.015 mg/ml
naatriumkloriid 0.9% 1496
Ühilduv
Süsteravim Hydromorphone hydrochloride 0.5 mg/ml
Süsteravim Cladribine 0.5 mg/ml
NaCl 0,9%+  apürogeenne vesi 1496
Ühilduv
Süsteravim Hydromorphone hydrochloride 10 mg/ml
Süsteravim Cloxacillin sodium 100 mg/ml
süstevesi 3012
Ühilduv
Süsteravim Hydromorphone hydrochloride 0.2 mg/ml
Süsteravim Co-trimoxazole 4/0.8 mg/ml
glükoos 5% 405
Ühilduv
Süsteravim Hydromorphone hydrochloride < 10 mg/ml
Süsteravim Dexamethasone sodium phosphate 2 >> 10 mg/ml
389
Ühilduv
Süsteravim Hydromorphone hydrochloride 0.5 mg/ml
Süsteravim Dexamethasone sodium phosphate 1 mg/ml
glükoos 5% 1974
Ühilduv
Süsteravim Hydromorphone hydrochloride 1 >> 40 mg/ml
Süsteravim Dexamethasone sodium phosphate < 2 mg/ml
389
Ühilduv
Süsteravim Hydromorphone hydrochloride 0.5 mg/ml
Süsteravim Dexmedetomidine 4 µg/ml
naatriumkloriid 0.9% 1712
Sade 2 tunni pärast Sobimatu
Süsteravim Hydromorphone hydrochloride
Süsteravim Dimenhydrinate
2087
Ühilduv
Süsteravim Hydromorphone hydrochloride 0.5 mg/ml
Parenteraalse toitmise (lipiide tasuta) 301
Ühilduv
Süsteravim Hydromorphone hydrochloride 2 mg/ml
Süsteravim Cimetidine hydrochloride 150 mg/ml
1438
Ühilduv
Süsteravim Hydromorphone hydrochloride 0.2 mg/ml
Süsteravim Clindamycin phosphate 12 mg/ml
glükoos 5% 405
Kohene sade Sobimatu
Süsteravim Hydromorphone hydrochloride 2 >> 40 mg/ml
Süsteravim Cloxacillin sodium 40 & 250 mg/ml
glükoos 5% 226
Kohene sade Sobimatu
Süsteravim Hydromorphone hydrochloride
Süsteravim Cyclizine lactate
5073
Ühilduv
Süsteravim Hydromorphone hydrochloride
Süsteravim Dexamethasone sodium phosphate
5073
Kohene sade Sobimatu
Süsteravim Hydromorphone hydrochloride > 15 mg/ml
Süsteravim Dexamethasone sodium phosphate > 3 mg/ml
389
Ühilduv
Süsteravim Hydromorphone hydrochloride 0.5 mg/ml
Süsteravim Diazepam 0.5 mg/ml
glükoos 5% 1974
Kohene sade Sobimatu
Süsteravim Hydromorphone hydrochloride 2 >> 40 mg/ml
Süsteravim Diazepam 5 mg/ml
glükoos 5% 226
Ühilduv
Süsteravim Hydromorphone hydrochloride 1 mg/ml
Süsteravim Diltiazem hydrochloride 1 mg/ml
314
Ühilduv
Süsteravim Hydromorphone hydrochloride 2 >> 40 mg/ml
Süsteravim Dimenhydrinate 50 mg/ml
mitte ükski 1497
Ühilduv
Süsteravim Hydromorphone hydrochloride 0.5 mg/ml
Süsteravim Diphenhydramine hydrochloride 2 mg/ml
glükoos 5% 1974
Ühilduv
Süsteravim Hydromorphone hydrochloride 1 mg/ml
Süsteravim Dobutamine hydrochloride 4 mg/ml
314
Ühilduv
Süsteravim Hydromorphone hydrochloride 0.5 mg/ml
Süsteravim Docetaxel 0.9 mg/ml
glükoos 5% 1754
Ühilduv
Süsteravim Hydromorphone hydrochloride 1 mg/ml
Süsteravim Dopamine hydrochloride 3.2 mg/ml
314
Ühilduv
Süsteravim Hydromorphone hydrochloride 1 mg/ml
Süsteravim Doripenem 5 mg/ml
glükoos 5% 2262
Ühilduv
Süsteravim Hydromorphone hydrochloride 1 mg/ml
Süsteravim Doripenem 5 mg/ml
naatriumkloriid 0.9% 2262
Ühilduv
Süsteravim Hydromorphone hydrochloride 0.5 mg/ml
Süsteravim Doxorubicin hydrochloride liposome peg 0.4 mg/ml
glükoos 5% 251
Ühilduv
Süsteravim Hydromorphone hydrochloride 0.2 mg/ml
Süsteravim Doxycycline hyclate 1 mg/ml
glükoos 5% 405
Ühilduv
Süsteravim Hydromorphone hydrochloride 1 mg/ml
Süsteravim Epinephrine hydrochloride 20 µg/ml
314
Ühilduv
Süsteravim Hydromorphone hydrochloride 1 mg/ml
Süsteravim Eravacycline 0,6 mg/ml
naatriumkloriid 0.9% 4434
Ühilduv
Süsteravim Hydromorphone hydrochloride 0.2 mg/ml
Süsteravim Erythromycin lactobionate 5 mg/ml
glükoos 5% 405
Ühilduv
Süsteravim Hydromorphone hydrochloride 0.5 mg/ml
Süsteravim Etoposide phosphate 5 mg/ml
glükoos 5% 1410
Ühilduv
Süsteravim Hydromorphone hydrochloride 0.5 mg/ml
Süsteravim Famotidine 2 mg/ml
naatriumkloriid 0.9% 215
Ühilduv
Süsteravim Hydromorphone hydrochloride 0.5 mg/ml
Süsteravim Fenoldopam mesylate 80 µg/ml
naatriumkloriid 0.9% 1803
Ühilduv
Süsteravim Hydromorphone hydrochloride 1 mg/ml
Süsteravim Fentanyl citrate 50 µg/ml
314
Ühilduv
Süsteravim Hydromorphone hydrochloride 0.5 mg/ml
Süsteravim Filgrastim 30 µg/ml
glükoos 5% 244
Ühilduv
Süsteravim Hydromorphone hydrochloride 0.5 mg/ml
Süsteravim Fludarabine phosphate 1 mg/ml
glükoos 5% 492
Ühilduv
Süsteravim Hydromorphone hydrochloride 0.5 mg/ml
Süsteravim Fluorouracil 1 & 16 mg/ml
glükoos 5% 513
Ühilduv
Süsteravim Hydromorphone hydrochloride 0.5 mg/ml
Süsteravim Fluorouracil 1 & 16 mg/ml
naatriumkloriid 0.9% 513
Ühilduv
Süsteravim Hydromorphone hydrochloride 10 mg/ml
Süsteravim Foscarnet sodium 24 mg/ml
mitte ükski 73
Ühilduv
Süsteravim Hydromorphone hydrochloride 1 mg/ml
Süsteravim Fosfomycin 30 mg/ml
glükoos 5% 4055
Ühilduv
Süsteravim Hydromorphone hydrochloride 1 mg/ml
Süsteravim Fosfomycin 30 mg/ml
naatriumkloriid 0.9% 4055
Ühilduv
Süsteravim Hydromorphone hydrochloride 1 mg/ml
Süsteravim Furosemide 10 mg/ml
314
Hägusus 24 tunniga Sobimatu
Süsteravim Hydromorphone hydrochloride 4 mg/ml
Süsteravim Gallium nitrate 1 mg/ml
naatriumkloriid 0.9% 91
Ühilduv
Süsteravim Hydromorphone hydrochloride 0.5 mg/ml
Süsteravim Gemcitabine hydrochloride 10 mg/ml
naatriumkloriid 0.9% 1423
Ühilduv
Süsteravim Hydromorphone hydrochloride 0.2 mg/ml
Süsteravim Gentamicin sulfate 0.8 mg/ml
glükoos 5% 405
Ühilduv
Süsteravim Hydromorphone hydrochloride
Süsteravim Glycopyrronium bromide
5073
Ühilduv
Süsteravim Hydromorphone hydrochloride 0.5 mg/ml
Süsteravim Granisetron hydrochloride 0.056 mg/ml
naatriumkloriid 0.9% 6
Ühilduv
Süsteravim Hydromorphone hydrochloride 0.5 mg/ml
Süsteravim Granisetron hydrochloride 1 mg/ml
naatriumkloriid 0.9% 57
Ühilduv
Süsteravim Hydromorphone hydrochloride 0.5 mg/ml
Süsteravim Granisetron hydrochloride 0.05 mg/ml
glükoos 5% 182
Ühilduv
Süsteravim Hydromorphone hydrochloride 10 mg/ml
Süsteravim Haloperidol lactate 1 mg/ml
mitte ükski 216
Ühilduv
Süsteravim Hydromorphone hydrochloride 10 mg/ml
Süsteravim Haloperidol lactate 5 mg/ml
mitte ükski 216
Ühilduv
Süsteravim Hydromorphone hydrochloride 1 mg/ml
Süsteravim Haloperidol lactate 5 mg/ml
mitte ükski 216
Ühilduv
Süsteravim Hydromorphone hydrochloride 1 mg/ml
Süsteravim Haloperidol lactate 2 mg/ml
mitte ükski 216
Ühilduv
Süsteravim Hydromorphone hydrochloride 1 mg/ml
Süsteravim Haloperidol lactate 1 mg/ml
mitte ükski 216
Ühilduv
Süsteravim Hydromorphone hydrochloride 0.5 mg/ml
Süsteravim Haloperidol lactate 0.2 mg/ml
glükoos 5% 1974
Ühilduv
Süsteravim Hydromorphone hydrochloride
Süsteravim Haloperidol lactate
5073
Ühilduv
Süsteravim Hydromorphone hydrochloride 10 mg/ml
Süsteravim Haloperidol lactate 2 mg/ml
mitte ükski 216
Ühilduv
Süsteravim Hydromorphone hydrochloride <12.5 mg/ml
Süsteravim Heparin sodium
süstevesi 66
Ühilduv
Süsteravim Hydromorphone hydrochloride <12.5 mg/ml
Süsteravim Heparin sodium
naatriumkloriid 0.9% 66
Ühilduv
Süsteravim Hydromorphone hydrochloride 1 mg/ml
Süsteravim Heparin sodium 100 UI/ml
314
Kohene sade Sobimatu
Süsteravim Hydromorphone hydrochloride >25 mg/ml
Süsteravim Heparin sodium <12,5 UI/ml
süstevesi 66
Kohene sade Sobimatu
Süsteravim Hydromorphone hydrochloride >10 mg/ml
Süsteravim Heparin sodium <1 UI/ml
süstevesi 66
Kohene sade Sobimatu
Süsteravim Hydromorphone hydrochloride >25 mg/ml
Süsteravim Heparin sodium <12,5 UI/ml
naatriumkloriid 0.9% 66
Ühilduv
Süsteravim Hydromorphone hydrochloride 0.5 mg/ml
Süsteravim Hetastarch 60 mg/ml
konkreetsed lahusti 1721
Keemiline ebastabiilsus Sobimatu
Süsteravim Hydromorphone hydrochloride 2 >> 40 mg/ml
Süsteravim Hyaluronidase 150 UI/ml
glükoos 5% 9
Ühilduv
Süsteravim Hydromorphone hydrochloride
Süsteravim Hyaluronidase
3184
Keemiline ebastabiilsus Sobimatu
Süsteravim Hydromorphone hydrochloride 2 >> 40 mg/ml
Süsteravim Hyaluronidase 150 UI/ml
naatriumkloriid 0.9% 9
Ühilduv
Süsteravim Hydromorphone hydrochloride 0.5 mg/ml
Süsteravim Hydroxyzine dihydrochloride 4 mg/ml
glükoos 5% 1974
Ühilduv
Süsteravim Hydromorphone hydrochloride 1 mg/ml
Süsteravim Isavuconazonium sulfate 1.5 mg/ml
naatriumkloriid 0.9% 3829
Ühilduv
Süsteravim Hydromorphone hydrochloride 1 mg/ml
Süsteravim Isavuconazonium sulfate 1.5 mg/ml
glükoos 5% 3829
Ühilduv
Süsteravim Hydromorphone hydrochloride 0.2 mg/ml
Süsteravim Kanamycin sulfate 2.5 mg/ml
glükoos 5% 405
Ühilduv
Süsteravim Hydromorphone hydrochloride
Süsteravim Ketamine hydrochloride
5073
Ühilduv
Süsteravim Hydromorphone hydrochloride 0.2 mg/ml
Süsteravim Ketamine hydrochloride 0.2 >> 1 mg/ml
naatriumkloriid 0.9% 2336
Ühilduv
Süsteravim Hydromorphone hydrochloride 0.5 mg/ml
Süsteravim Ketorolac tromethamine 1 mg/ml
glükoos 5% 1974
Ühilduv
Süsteravim Hydromorphone hydrochloride 10 mg/ml
Süsteravim Ketorolac tromethamine 15 mg/ml
mitte ükski 216
Ühilduv
Süsteravim Hydromorphone hydrochloride 1 mg/ml
Süsteravim Ketorolac tromethamine 30 mg/ml
mitte ükski 216
Ühilduv
Süsteravim Hydromorphone hydrochloride 1 mg/ml
Süsteravim Ketorolac tromethamine 15 mg/ml
mitte ükski 216
Kohene sade Sobimatu
Süsteravim Hydromorphone hydrochloride 10 mg/ml
Süsteravim Ketorolac tromethamine 30 mg/ml
mitte ükski 216
Ühilduv
Süsteravim Hydromorphone hydrochloride 1 mg/ml
Süsteravim Labetalol hydrochloride 2 mg/ml
314
Sade 1 tunni pärast Sobimatu
Süsteravim Hydromorphone hydrochloride 0.5 mg/ml
Süsteravim Lansoprazole 0.55 mg/ml
naatriumkloriid 0.9% 1625
Ühilduv
Süsteravim Hydromorphone hydrochloride 2 mg/ml
Süsteravim Levofloxacine 5 mg/ml
mitte ükski 2335
Ühilduv
Süsteravim Hydromorphone hydrochloride
Süsteravim Levomepromazine
5073
Ühilduv
Süsteravim Hydromorphone hydrochloride 10 mg/ml
Süsteravim Levosimendan 2,5 mg/ml
4389
Ühilduv
Süsteravim Hydromorphone hydrochloride 0.5 mg/ml
Süsteravim Linezolid 2 mg/ml
mitte ükski 1925
Ühilduv
Süsteravim Hydromorphone hydrochloride 0.5 mg/ml
Süsteravim Lorazepam 0.1 mg/ml
glükoos 5% 1974
Ühilduv
Süsteravim Hydromorphone hydrochloride 2 >> 40 mg/ml
Süsteravim Lorazepam 4 mg/ml
mitte ükski 1497
Ühilduv
Süsteravim Hydromorphone hydrochloride 1 mg/ml
Süsteravim Lorazepam 0.5 mg/ml
314
Ühilduv
Süsteravim Hydromorphone hydrochloride 2 mg/ml
Süsteravim Magnesium sulfate 16,67 >> 100 mg/ml
glükoos 5% 517
Ühilduv
Süsteravim Hydromorphone hydrochloride 0.5 mg/ml
Süsteravim Melphalan 0.1 mg/ml
naatriumkloriid 0.9% 169
Ühilduv
Süsteravim Hydromorphone hydrochloride 10 mg/ml
Süsteravim Meropenem 50 mg/ml
süstevesi 4319
Keemiline ebastabiilsus Sobimatu
Süsteravim Hydromorphone hydrochloride
Süsteravim Metamizol sodium
2364
Ühilduv
Süsteravim Hydromorphone hydrochloride
Süsteravim Metoclopramide hydrochloride
5073
Ühilduv
Süsteravim Hydromorphone hydrochloride 0.5 mg/ml
Süsteravim Metoclopramide hydrochloride 5 mg/ml
glükoos 5% 1974
Ühilduv
Süsteravim Hydromorphone hydrochloride 0.2 mg/ml
Süsteravim Metronidazole 5 mg/ml
glükoos 5% 405
Ühilduv
Süsteravim Hydromorphone hydrochloride 0.5 mg/ml
Süsteravim Micafungin 1.5 mg/ml
naatriumkloriid 0.9% 2108
Ühilduv
Süsteravim Hydromorphone hydrochloride
Süsteravim Midazolam hydrochloride
5073
Ühilduv
Süsteravim Hydromorphone hydrochloride 0.5 mg/ml
Süsteravim Midazolam hydrochloride 0.2 mg/ml
glükoos 5% 1974
Ühilduv
Süsteravim Hydromorphone hydrochloride 0.5 >> 45 mg/ml
Süsteravim Midazolam hydrochloride 0.1 >> 4.5 mg/ml
glükoos 5% 345
Ühilduv
Süsteravim Hydromorphone hydrochloride 1 mg/ml
Süsteravim Midazolam hydrochloride 2 mg/ml
314
Ühilduv
Süsteravim Hydromorphone hydrochloride 0.5 >> 45 mg/ml
Süsteravim Midazolam hydrochloride 0.1 >> 4.5 mg/ml
naatriumkloriid 0.9% 345
Ühilduv
Süsteravim Hydromorphone hydrochloride 1 mg/ml
Süsteravim Milrinone lactate 0.2 mg/ml
314
Värvi muutus 1 tunni pärast Sobimatu
Süsteravim Hydromorphone hydrochloride 0.2 mg/ml
Süsteravim Minocycline hydrochloride 0.2 mg/ml
glükoos 5% 405
Ühilduv
Süsteravim Hydromorphone hydrochloride 1 mg/ml
Süsteravim Morphine sulfate 2 mg/ml
314
Ühilduv
Süsteravim Hydromorphone hydrochloride 0.2 mg/ml
Süsteravim Moxalactam 20 mg/ml
glükoos 5% 405
Ühilduv
Süsteravim Hydromorphone hydrochloride 0.2 mg/ml
Süsteravim Nafcillin sodium 20 mg/ml
glükoos 5% 405
Ühilduv
Süsteravim Hydromorphone hydrochloride 10 mg/ml
Süsteravim Naloxone hydrochloride 0.4 mg/ml
mitte ükski 3408
Ühilduv
Süsteravim Hydromorphone hydrochloride 1 mg/ml
Süsteravim Nicardipine hydrochloride 1 mg/ml
314
Ühilduv
Süsteravim Hydromorphone hydrochloride 1 mg/ml
Süsteravim Nitroglycerin 0.4 mg/ml
314
Ühilduv
Süsteravim Hydromorphone hydrochloride 1 mg/ml
Süsteravim Norepinephrine bitartrate 0.128 mg/ml
314
Ühilduv
Süsteravim Hydromorphone hydrochloride 0,5 mg/ml
Süsteravim Ondansetron hydrochloride 0,1 & 1 mg/ml
naatriumkloriid 0.9% 6
Ühilduv
Süsteravim Hydromorphone hydrochloride 0.5 mg/ml
Süsteravim Ondansetron hydrochloride 1 mg/ml
naatriumkloriid 0.9% 334
Ühilduv
Süsteravim Hydromorphone hydrochloride 0.2 mg/ml
Süsteravim Oxacillin sodium 20 mg/ml
glükoos 5% 405
Ühilduv
Süsteravim Hydromorphone hydrochloride 0,5 mg/ml
Süsteravim Oxaliplatin 0,5 mg/ml
glükoos 5% 1662
Ühilduv
Süsteravim Hydromorphone hydrochloride 0.5 mg/ml
Süsteravim Paclitaxel 1.2 mg/ml
glükoos 5% 248
Ühilduv
Süsteravim Hydromorphone hydrochloride 0.5 mg/ml
Süsteravim Palonosetron hydrochloride 50 µg/ml
glükoos 5% 2196
Sade 4 tunni pärast Sobimatu
Süsteravim Hydromorphone hydrochloride
Süsteravim Pantoprazole sodium
2090
Ühilduv
Süsteravim Hydromorphone hydrochloride 10 mg/ml
Süsteravim Paracetamol 10 mg/ml
4742
Ühilduv
Süsteravim Hydromorphone hydrochloride 2 mg/ml
Süsteravim Paracetamol 10 mg/ml
mitte ükski 3571
Täpsustamata sobimatus Sobimatu
Süsteravim Hydromorphone hydrochloride
Süsteravim Parecoxib sodium
3504
Ühilduv
Süsteravim Hydromorphone hydrochloride 0.5 mg/ml
Süsteravim Pemetrexed disodium 20 mg/ml
naatriumkloriid 0.9% 1953
Ühilduv
Süsteravim Hydromorphone hydrochloride 0.2 mg/ml
Süsteravim Penicillin G potassium 0.1 MUI/ml
glükoos 5% 405
Kohene sade Sobimatu
Süsteravim Hydromorphone hydrochloride 2 >> 40 mg/ml
Süsteravim Phenobarbital sodium 120 mg/ml
glükoos 5% 226
Ühilduv
Süsteravim Hydromorphone hydrochloride 0.5 mg/ml
Süsteravim Phenobarbital sodium 2 mg/ml
glükoos 5% 1974
Kohene sade Sobimatu
Süsteravim Hydromorphone hydrochloride 2 >> 40 mg/ml
Süsteravim Phenytoin sodium 50 mg/ml
glükoos 5% 226
Sade 1 tunni pärast Sobimatu
Süsteravim Hydromorphone hydrochloride 0.5 mg/ml
Süsteravim Phenytoin sodium 2 mg/ml
glükoos 5% 1974
Ühilduv
Süsteravim Hydromorphone hydrochloride 0.2 mg/ml
Süsteravim Piperacillin sodium 60 mg/ml
glükoos 5% 405
Ühilduv
Süsteravim Hydromorphone hydrochloride 0.5 mg/ml
Süsteravim Piperacillin sodium / tazobactam 40/5 mg/ml
glükoos 5% 81
Ühilduv
Süsteravim Hydromorphone hydrochloride 1 mg/ml
Süsteravim Plazomicin sulfate 24 mg/ml
naatriumkloriid 0.9% 4145
Ühilduv
Süsteravim Hydromorphone hydrochloride
Süsteravim Posaconazole
4380
Ühilduv
Süsteravim Hydromorphone hydrochloride 25 mg/ml
Süsteravim Potassium chloride 1000 mEq/l
süstevesi 66
Ühilduv
Süsteravim Hydromorphone hydrochloride 5 >> 20 mg/ml
Süsteravim Potassium chloride 500 & 1000 mEq/l
glükoos 5% 66
Ühilduv
Süsteravim Hydromorphone hydrochloride 2 >> 40 mg/ml
Süsteravim Prochlorperazine edysilate 5 mg/ml
mitte ükski 1497
Ühilduv
Süsteravim Hydromorphone hydrochloride 0,5 mg/ml
Süsteravim Prochlorperazine edysilate 1,5 mg/ml
naatriumkloriid 0.9% 767
Ühilduv
Süsteravim Hydromorphone hydrochloride 1 mg/ml
Süsteravim Promethazine hydrochloride 0.3 mg/ml
naatriumkloriid 0.9% 795
Ühilduv
Süsteravim Hydromorphone hydrochloride 0.5 mg/ml
Süsteravim Propofol 10 mg/ml
mitte ükski 300
Ühilduv
Süsteravim Hydromorphone hydrochloride 1 mg/ml
Süsteravim Ranitidine hydrochloride 1 mg/ml
314
Ühilduv
Süsteravim Hydromorphone hydrochloride 2 mg/ml
Süsteravim Ranitidine hydrochloride 25 mg/ml
mitte ükski 58
Ühilduv
Süsteravim Hydromorphone hydrochloride 1 mg/ml
Süsteravim Remdesivir 1 mg/ml
naatriumkloriid 0.9% 4768
Ühilduv
Süsteravim Hydromorphone hydrochloride 10 mg/ml
Süsteravim Salbutamol sulfate 1 mg/ml
mitte ükski 3216
Sademed 30 minuti pärast Sobimatu
Süsteravim Hydromorphone hydrochloride 0.5 mg/ml
Süsteravim Sargramostim 10 µg/ml
naatriumkloriid 0.9% 335
Ühilduv
Süsteravim Hydromorphone hydrochloride 0.5 mg/ml
Süsteravim Scopolamine hydrobromide 0.05 mg/ml
glükoos 5% 1974
Ühilduv
Süsteravim Hydromorphone hydrochloride
Süsteravim Scopolamine hydrobromide
5073
Ühilduv
Süsteravim Hydromorphone hydrochloride 0,1 & 1 mg/ml
Süsteravim Tacrolimus 5 & 20 µg/ml
glükoos 5% 814
Ühilduv
Süsteravim Hydromorphone hydrochloride 1 mg/ml
Süsteravim Tedizolid phosphate 0.8 mg/ml
naatriumkloriid 0.9% 3827
Ühilduv
Süsteravim Hydromorphone hydrochloride 0.5 mg/ml
Süsteravim Teniposide 0.1 mg/ml
glükoos 5% 905
Kohene sade Sobimatu
Süsteravim Hydromorphone hydrochloride 10 mg/ml
Süsteravim Thiopental sodium 25 mg/ml
naatriumkloriid 0.9% 3767
Sade 4 tunni pärast Sobimatu
Süsteravim Hydromorphone hydrochloride 1 mg/ml
Süsteravim Thiopental sodium 25 mg/ml
314
Ühilduv
Süsteravim Hydromorphone hydrochloride 0.5 mg/ml
Süsteravim Thiotepa 1 mg/ml
glükoos 5% 249
Ühilduv
Süsteravim Hydromorphone hydrochloride
naatriumkloriid 0.9% 5073
Ühilduv
Süsteravim Hydromorphone hydrochloride
Süsteravim Scopolamine N-butyl bromide
5073
Ühilduv
Süsteravim Hydromorphone hydrochloride 1 mg/ml
Süsteravim Sulbactam/durlobactam 15/15 mg/ml
naatriumkloriid 0.9% 4801
Ühilduv
Süsteravim Hydromorphone hydrochloride 0.2 mg/ml
Süsteravim Tobramycin sulfate 0.8 mg/ml
glükoos 5% 405
Ühilduv
Süsteravim Hydromorphone hydrochloride 0.2 mg/ml
Süsteravim Vancomycin hydrochloride 5 mg/ml
glükoos 5% 405
Ühilduv
Süsteravim Hydromorphone hydrochloride 2 mg/ml
Süsteravim Vancomycin hydrochloride 4 mg/ml
naatriumkloriid 0.9% 2335
Ühilduv
Süsteravim Hydromorphone hydrochloride 1 mg/ml
Süsteravim Vecuronium bromide 1 mg/ml
314
Ühilduv
Süsteravim Hydromorphone hydrochloride 0.016 mg/ml
Süsteravim Verapamil hydrochloride 0.08 mg/ml
naatriumkloriid 0.9% 1057
Ühilduv
Süsteravim Hydromorphone hydrochloride 0.016 mg/ml
Süsteravim Verapamil hydrochloride 0.08 mg/ml
glükoos 5% 1057
Ühilduv
Süsteravim Hydromorphone hydrochloride 0.5 mg/ml
Süsteravim Vinorelbine tartrate 1 mg/ml
naatriumkloriid 0.9% 84

  Mentions Légales