Poslední aktualizace :
27/04/2026
Analgetikum   Hydromorphone hydrochloride  
injekce
Stabilita roztoků Stabilita směsí Faktory ovlivňující stabilitu Kompatibilita Způsoby aplikace Odkazy pdf
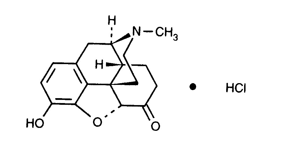
   Chemický vzorec  

Obchodní název   Obchodní název     

Trade names are indicative and excipients composition can be different depending on the country and manufacturers

Dilaudid Kanada, USA
Hydal Rakousko
Palladon Dánsko, Švýcarsko
Palladone Velká Británie
Kompatibilita   injekce   Kompatibilita : Hydromorphone hydrochloride              
Tato obrazovka ukazuje kompatibilitu nebo nekompatibilitu s, v tomto případě, typem nekompatibility (srážení, změna barvy, modifikace emulze atd.). Zde uvedené kompatibility jsou většinou pouze fyzikální, přičemž chemická stabilita každé molekuly je zřídka hodnocena. Hodnocení těchto směsí bylo studováno, aby se zvážila možnost podání Y-místa pacientovi. Tyto údaje nelze použít k přípravě směsí předem v pytlích nebo stříkačkách. Tento typ informací je k dispozici na obrazovce „Stabilita ve směsi“.
SlouËenina RozpouötÏdlo Odkazy
Kompatibilní
injekce Hydromorphone hydrochloride 0.04 mg/ml
injekce Aciclovir sodium 5 mg/ml
GlukÛza 5% 336
Kompatibilní
injekce Hydromorphone hydrochloride 0.5 mg/ml
injekce Allopurinol sodium 3 mg/ml
Chlorid sodný 0,9% 307
Kompatibilní
injekce Hydromorphone hydrochloride 0.5 mg/ml
injekce Amifostine 10 mg/ml
GlukÛza 5% 3
Kompatibilní
injekce Hydromorphone hydrochloride 0.2 mg/ml
injekce Amikacin sulfate 5 mg/ml
GlukÛza 5% 405
Kompatibilní
injekce Hydromorphone hydrochloride 10 mg/ml
injekce Amoxicillin sodium / clavulanic acid 100/10 mg/ml
3824
Kompatibilní
injekce Hydromorphone hydrochloride 2 >> 40 mg/ml
injekce Ampicillin sodium 20 & 250 mg/ml
GlukÛza 5% 226
Kompatibilní
injekce Hydromorphone hydrochloride 0.5 mg/ml
injekce Amsacrine 1 mg/ml
GlukÛza 5% 253
Kompatibilní
injekce Hydromorphone hydrochloride 0.5 mg/ml
injekce Anidulafungin 0.5 mg/ml
GlukÛza 5% 1982
Kompatibilní
injekce Hydromorphone hydrochloride 0.5 mg/ml
injekce Aztreonam 40 mg/ml
GlukÛza 5% 99
Kompatibilní
injekce Hydromorphone hydrochloride 0.5 mg/ml
injekce Bivalirudin 5 mg/ml
GlukÛza 5% 1713
Okamžitá nestabilita emulze Nekompatibilní
injekce Hydromorphone hydrochloride 0.5 mg/ml
Parenterální výživa (lipidy) 1415
Kompatibilní
injekce Hydromorphone hydrochloride 10 mg/ml
RingerŐs laktátový roztok 4603
Ztráta zákalu Nekompatibilní
injekce Hydromorphone hydrochloride 0.5 mg/ml
injekce Amphotericin B cholesteryl sulfate complex 0.83 mg/ml
GlukÛza 5% 921
Kompatibilní
injekce Hydromorphone hydrochloride 0.2 mg/ml
injekce Ampicillin sodium 20 mg/ml
GlukÛza 5% 405
Kompatibilní
injekce Hydromorphone hydrochloride 0.5 mg/ml
injekce Atropine sulfate 0.4 mg/ml
GlukÛza 5% 1974
Kompatibilní
injekce Hydromorphone hydrochloride 0,02 & 0,1 mg/ml
injekce Bupivacaine hydrochloride 0,625 & 1,25 mg/ml
Chlorid sodný 0,9% 306
Kompatibilní
injekce Hydromorphone hydrochloride
GlukÛza 5% 5073
Kompatibilní
injekce Hydromorphone hydrochloride 0,02 & 0,04 mg/ml
injekce Bupivacaine hydrochloride 2,5 mg/ml
Chlorid sodný 0,9% 1931
Kompatibilní
injekce Hydromorphone hydrochloride 15 mg/ml
injekce Bupivacaine hydrochloride 10 mg/ml
Žádné 4200
Kompatibilní
injekce Hydromorphone hydrochloride 2,5 mg/ml
Parenterální výživa (lipidy) 4507
Kompatibilní
injekce Hydromorphone hydrochloride 25 mg/ml
injekce Bupivacaine hydrochloride 20 mg/ml
Chlorid sodný 0,9% 3131
Kompatibilní
injekce Hydromorphone hydrochloride 65 mg/ml
injekce Bupivacaine hydrochloride 7,5 mg/ml
Žádné 221
Kompatibilní
injekce Hydromorphone hydrochloride 50 mg/ml
injekce Caffeine 10 mg/ml
Žádné 3964
Kompatibilní
injekce Hydromorphone hydrochloride 1 mg/ml
injekce Caspofungin acetate 0,7 mg/ml
Chlorid sodný 0,9% 2247
Kompatibilní
injekce Hydromorphone hydrochloride 1 mg/ml
injekce Caspofungin acetate 0.5 mg/ml
Chlorid sodný 0,9% 2233
Kompatibilní
injekce Hydromorphone hydrochloride 0.2 mg/ml
injekce Cefalotin sodium 20 mg/ml
GlukÛza 5% 405
Kompatibilní
injekce Hydromorphone hydrochloride 0.2 mg/ml
injekce Cefamandole nafate 20 mg/ml
GlukÛza 5% 405
Kompatibilní
injekce Hydromorphone hydrochloride 0.2 mg/ml
injekce Cefazolin sodium 20 mg/ml
GlukÛza 5% 405
Kompatibilní
injekce Hydromorphone hydrochloride 2 >> 40 mg/ml
injekce Cefazolin sodium 20 mg/ml
GlukÛza 5% 226
Okamžité srážení Nekompatibilní
injekce Hydromorphone hydrochloride 2 >> 40 mg/ml
injekce Cefazolin sodium >200 mg/ml
GlukÛza 5% 226
Kompatibilní
injekce Hydromorphone hydrochloride 1 mg/ml
injekce Cefiderocol sulfate tosylate 20 mg/mL
Chlorid sodný 0,9% 4528
Kompatibilní
injekce Hydromorphone hydrochloride 1 mg/ml
injekce Cefiderocol sulfate tosylate 20 mg/mL
GlukÛza 5% 4528
Kompatibilní
injekce Hydromorphone hydrochloride 0.2 mg/ml
injekce Cefmetazole sodium 100 mg/ml
Voda pro injekci 93
Kompatibilní
injekce Hydromorphone hydrochloride 0.2 mg/ml
injekce Cefoperazone sodium 20 mg/ml
GlukÛza 5% 405
Kompatibilní
injekce Hydromorphone hydrochloride 0.2 mg/ml
injekce Ceforanide 20 mg/ml
GlukÛza 5% 405
Kompatibilní
injekce Hydromorphone hydrochloride 0.2 mg/ml
injekce Cefotaxime sodium 20 mg/ml
GlukÛza 5% 405
Kompatibilní
injekce Hydromorphone hydrochloride 0.2 mg/ml
injekce Cefoxitin sodium 20 mg/ml
GlukÛza 5% 405
Kompatibilní
injekce Hydromorphone hydrochloride 0,5 mg/ml
injekce Ceftaroline fosamil 2,22 mg/ml
RingerŐs laktátový roztok 3249
Kompatibilní
injekce Hydromorphone hydrochloride 0,5 mg/ml
injekce Ceftaroline fosamil 2,22 mg/ml
GlukÛza 5% 3249
Kompatibilní
injekce Hydromorphone hydrochloride 0,5 mg/ml
injekce Ceftaroline fosamil 2,22 mg/ml
Chlorid sodný 0,9% 3249
Kompatibilní
injekce Hydromorphone hydrochloride 2 >> 40 mg/ml
injekce Ceftazidime 40 & 180 mg/ml
GlukÛza 5% 226
Kompatibilní
injekce Hydromorphone hydrochloride 0.2 mg/ml
injekce Ceftizoxime sodium 20 mg/ml
GlukÛza 5% 405
Okamžité srážení Nekompatibilní
injekce Hydromorphone hydrochloride 1 mg/ml
injekce Ceftobiprole medocaril sodium 2 mg/ml
Chlorid sodný 0,9% 2269
Okamžité srážení Nekompatibilní
injekce Hydromorphone hydrochloride 1 mg/ml
injekce Ceftobiprole medocaril sodium 2 mg/ml
RingerŐs laktátový roztok 2269
Nespecifikovaná nekompatibilita Nekompatibilní
injekce Hydromorphone hydrochloride
injekce Ceftobiprole medocaril sodium
4650
Okamžité srážení Nekompatibilní
injekce Hydromorphone hydrochloride 1 mg/ml
injekce Ceftobiprole medocaril sodium 2 mg/ml
GlukÛza 5% 2269
Kompatibilní
injekce Hydromorphone hydrochloride 1 mg/ml
injekce Ceftolozane / tazobactam 10/5 mg/ml
GlukÛza 5% 3828
Kompatibilní
injekce Hydromorphone hydrochloride 1 mg/ml
injekce Ceftolozane / tazobactam 10/5 mg/ml
Chlorid sodný 0,9% 3828
Kompatibilní
injekce Hydromorphone hydrochloride 0.2 mg/ml
injekce Cefuroxime sodium 30 mg/ml
GlukÛza 5% 405
Kompatibilní
injekce Hydromorphone hydrochloride 0.2 mg/ml
injekce Chloramphenicol sodium succinate 20 mg/ml
GlukÛza 5% 405
Kompatibilní
injekce Hydromorphone hydrochloride 0.5 mg/ml
injekce Cisatracurium besylate 0.1 >> 5 mg/ml
GlukÛza 5% 299
Kompatibilní
injekce Hydromorphone hydrochloride 0.5 mg/ml
injekce Cladribine 0.015 mg/ml
Chlorid sodný 0,9% 1496
Kompatibilní
injekce Hydromorphone hydrochloride 0.5 mg/ml
injekce Cladribine 0.5 mg/ml
NaCl 0,9% + antibakterial 1496
Kompatibilní
injekce Hydromorphone hydrochloride 10 mg/ml
injekce Cloxacillin sodium 100 mg/ml
Voda pro injekci 3012
Kompatibilní
injekce Hydromorphone hydrochloride 0.2 mg/ml
injekce Co-trimoxazole 4/0.8 mg/ml
GlukÛza 5% 405
Kompatibilní
injekce Hydromorphone hydrochloride < 10 mg/ml
injekce Dexamethasone sodium phosphate 2 >> 10 mg/ml
389
Kompatibilní
injekce Hydromorphone hydrochloride 0.5 mg/ml
injekce Dexamethasone sodium phosphate 1 mg/ml
GlukÛza 5% 1974
Kompatibilní
injekce Hydromorphone hydrochloride 1 >> 40 mg/ml
injekce Dexamethasone sodium phosphate < 2 mg/ml
389
Kompatibilní
injekce Hydromorphone hydrochloride 0.5 mg/ml
injekce Dexmedetomidine 4 µg/ml
Chlorid sodný 0,9% 1712
Srážky po 2 hodinách Nekompatibilní
injekce Hydromorphone hydrochloride
injekce Dimenhydrinate
2087
Kompatibilní
injekce Hydromorphone hydrochloride 0.5 mg/ml
Parenterální výživa (binární směs) 301
Kompatibilní
injekce Hydromorphone hydrochloride 2 mg/ml
injekce Cimetidine hydrochloride 150 mg/ml
1438
Kompatibilní
injekce Hydromorphone hydrochloride 0.2 mg/ml
injekce Clindamycin phosphate 12 mg/ml
GlukÛza 5% 405
Okamžité srážení Nekompatibilní
injekce Hydromorphone hydrochloride 2 >> 40 mg/ml
injekce Cloxacillin sodium 40 & 250 mg/ml
GlukÛza 5% 226
Okamžité srážení Nekompatibilní
injekce Hydromorphone hydrochloride
injekce Cyclizine lactate
5073
Kompatibilní
injekce Hydromorphone hydrochloride
injekce Dexamethasone sodium phosphate
5073
Okamžité srážení Nekompatibilní
injekce Hydromorphone hydrochloride > 15 mg/ml
injekce Dexamethasone sodium phosphate > 3 mg/ml
389
Kompatibilní
injekce Hydromorphone hydrochloride 0.5 mg/ml
injekce Diazepam 0.5 mg/ml
GlukÛza 5% 1974
Okamžité srážení Nekompatibilní
injekce Hydromorphone hydrochloride 2 >> 40 mg/ml
injekce Diazepam 5 mg/ml
GlukÛza 5% 226
Kompatibilní
injekce Hydromorphone hydrochloride 1 mg/ml
injekce Diltiazem hydrochloride 1 mg/ml
314
Kompatibilní
injekce Hydromorphone hydrochloride 2 >> 40 mg/ml
injekce Dimenhydrinate 50 mg/ml
Žádné 1497
Kompatibilní
injekce Hydromorphone hydrochloride 0.5 mg/ml
injekce Diphenhydramine hydrochloride 2 mg/ml
GlukÛza 5% 1974
Kompatibilní
injekce Hydromorphone hydrochloride 1 mg/ml
injekce Dobutamine hydrochloride 4 mg/ml
314
Kompatibilní
injekce Hydromorphone hydrochloride 0.5 mg/ml
injekce Docetaxel 0.9 mg/ml
GlukÛza 5% 1754
Kompatibilní
injekce Hydromorphone hydrochloride 1 mg/ml
injekce Dopamine hydrochloride 3.2 mg/ml
314
Kompatibilní
injekce Hydromorphone hydrochloride 1 mg/ml
injekce Doripenem 5 mg/ml
GlukÛza 5% 2262
Kompatibilní
injekce Hydromorphone hydrochloride 1 mg/ml
injekce Doripenem 5 mg/ml
Chlorid sodný 0,9% 2262
Kompatibilní
injekce Hydromorphone hydrochloride 0.5 mg/ml
injekce Doxorubicin hydrochloride liposome peg 0.4 mg/ml
GlukÛza 5% 251
Kompatibilní
injekce Hydromorphone hydrochloride 0.2 mg/ml
injekce Doxycycline hyclate 1 mg/ml
GlukÛza 5% 405
Kompatibilní
injekce Hydromorphone hydrochloride 1 mg/ml
injekce Epinephrine hydrochloride 20 µg/ml
314
Kompatibilní
injekce Hydromorphone hydrochloride 1 mg/ml
injekce Eravacycline 0,6 mg/ml
Chlorid sodný 0,9% 4434
Kompatibilní
injekce Hydromorphone hydrochloride 0.2 mg/ml
injekce Erythromycin lactobionate 5 mg/ml
GlukÛza 5% 405
Kompatibilní
injekce Hydromorphone hydrochloride 0.5 mg/ml
injekce Etoposide phosphate 5 mg/ml
GlukÛza 5% 1410
Kompatibilní
injekce Hydromorphone hydrochloride 0.5 mg/ml
injekce Famotidine 2 mg/ml
Chlorid sodný 0,9% 215
Kompatibilní
injekce Hydromorphone hydrochloride 0.5 mg/ml
injekce Fenoldopam mesylate 80 µg/ml
Chlorid sodný 0,9% 1803
Kompatibilní
injekce Hydromorphone hydrochloride 1 mg/ml
injekce Fentanyl citrate 50 µg/ml
314
Kompatibilní
injekce Hydromorphone hydrochloride 0.5 mg/ml
injekce Filgrastim 30 µg/ml
GlukÛza 5% 244
Kompatibilní
injekce Hydromorphone hydrochloride 0.5 mg/ml
injekce Fludarabine phosphate 1 mg/ml
GlukÛza 5% 492
Kompatibilní
injekce Hydromorphone hydrochloride 0.5 mg/ml
injekce Fluorouracil 1 & 16 mg/ml
GlukÛza 5% 513
Kompatibilní
injekce Hydromorphone hydrochloride 0.5 mg/ml
injekce Fluorouracil 1 & 16 mg/ml
Chlorid sodný 0,9% 513
Kompatibilní
injekce Hydromorphone hydrochloride 10 mg/ml
injekce Foscarnet sodium 24 mg/ml
Žádné 73
Kompatibilní
injekce Hydromorphone hydrochloride 1 mg/ml
injekce Fosfomycin 30 mg/ml
GlukÛza 5% 4055
Kompatibilní
injekce Hydromorphone hydrochloride 1 mg/ml
injekce Fosfomycin 30 mg/ml
Chlorid sodný 0,9% 4055
Kompatibilní
injekce Hydromorphone hydrochloride 1 mg/ml
injekce Furosemide 10 mg/ml
314
Zákal za 24 hodiny Nekompatibilní
injekce Hydromorphone hydrochloride 4 mg/ml
injekce Gallium nitrate 1 mg/ml
Chlorid sodný 0,9% 91
Kompatibilní
injekce Hydromorphone hydrochloride 0.5 mg/ml
injekce Gemcitabine hydrochloride 10 mg/ml
Chlorid sodný 0,9% 1423
Kompatibilní
injekce Hydromorphone hydrochloride 0.2 mg/ml
injekce Gentamicin sulfate 0.8 mg/ml
GlukÛza 5% 405
Kompatibilní
injekce Hydromorphone hydrochloride
injekce Glycopyrronium bromide
5073
Kompatibilní
injekce Hydromorphone hydrochloride 0.5 mg/ml
injekce Granisetron hydrochloride 0.056 mg/ml
Chlorid sodný 0,9% 6
Kompatibilní
injekce Hydromorphone hydrochloride 0.5 mg/ml
injekce Granisetron hydrochloride 1 mg/ml
Chlorid sodný 0,9% 57
Kompatibilní
injekce Hydromorphone hydrochloride 0.5 mg/ml
injekce Granisetron hydrochloride 0.05 mg/ml
GlukÛza 5% 182
Kompatibilní
injekce Hydromorphone hydrochloride 10 mg/ml
injekce Haloperidol lactate 1 mg/ml
Žádné 216
Kompatibilní
injekce Hydromorphone hydrochloride 10 mg/ml
injekce Haloperidol lactate 5 mg/ml
Žádné 216
Kompatibilní
injekce Hydromorphone hydrochloride 1 mg/ml
injekce Haloperidol lactate 5 mg/ml
Žádné 216
Kompatibilní
injekce Hydromorphone hydrochloride 1 mg/ml
injekce Haloperidol lactate 2 mg/ml
Žádné 216
Kompatibilní
injekce Hydromorphone hydrochloride 1 mg/ml
injekce Haloperidol lactate 1 mg/ml
Žádné 216
Kompatibilní
injekce Hydromorphone hydrochloride 0.5 mg/ml
injekce Haloperidol lactate 0.2 mg/ml
GlukÛza 5% 1974
Kompatibilní
injekce Hydromorphone hydrochloride
injekce Haloperidol lactate
5073
Kompatibilní
injekce Hydromorphone hydrochloride 10 mg/ml
injekce Haloperidol lactate 2 mg/ml
Žádné 216
Kompatibilní
injekce Hydromorphone hydrochloride <12.5 mg/ml
injekce Heparin sodium
Voda pro injekci 66
Kompatibilní
injekce Hydromorphone hydrochloride <12.5 mg/ml
injekce Heparin sodium
Chlorid sodný 0,9% 66
Kompatibilní
injekce Hydromorphone hydrochloride 1 mg/ml
injekce Heparin sodium 100 UI/ml
314
Okamžité srážení Nekompatibilní
injekce Hydromorphone hydrochloride >25 mg/ml
injekce Heparin sodium <12,5 UI/ml
Voda pro injekci 66
Okamžité srážení Nekompatibilní
injekce Hydromorphone hydrochloride >10 mg/ml
injekce Heparin sodium <1 UI/ml
Voda pro injekci 66
Okamžité srážení Nekompatibilní
injekce Hydromorphone hydrochloride >25 mg/ml
injekce Heparin sodium <12,5 UI/ml
Chlorid sodný 0,9% 66
Kompatibilní
injekce Hydromorphone hydrochloride 0.5 mg/ml
injekce Hetastarch 60 mg/ml
Zvláštní rozpouštědla 1721
Chemická nestabilita Nekompatibilní
injekce Hydromorphone hydrochloride 2 >> 40 mg/ml
injekce Hyaluronidase 150 UI/ml
GlukÛza 5% 9
Kompatibilní
injekce Hydromorphone hydrochloride
injekce Hyaluronidase
3184
Chemická nestabilita Nekompatibilní
injekce Hydromorphone hydrochloride 2 >> 40 mg/ml
injekce Hyaluronidase 150 UI/ml
Chlorid sodný 0,9% 9
Kompatibilní
injekce Hydromorphone hydrochloride 0.5 mg/ml
injekce Hydroxyzine dihydrochloride 4 mg/ml
GlukÛza 5% 1974
Kompatibilní
injekce Hydromorphone hydrochloride 1 mg/ml
injekce Isavuconazonium sulfate 1.5 mg/ml
Chlorid sodný 0,9% 3829
Kompatibilní
injekce Hydromorphone hydrochloride 1 mg/ml
injekce Isavuconazonium sulfate 1.5 mg/ml
GlukÛza 5% 3829
Kompatibilní
injekce Hydromorphone hydrochloride 0.2 mg/ml
injekce Kanamycin sulfate 2.5 mg/ml
GlukÛza 5% 405
Kompatibilní
injekce Hydromorphone hydrochloride
injekce Ketamine hydrochloride
5073
Kompatibilní
injekce Hydromorphone hydrochloride 0.2 mg/ml
injekce Ketamine hydrochloride 0.2 >> 1 mg/ml
Chlorid sodný 0,9% 2336
Kompatibilní
injekce Hydromorphone hydrochloride 0.5 mg/ml
injekce Ketorolac tromethamine 1 mg/ml
GlukÛza 5% 1974
Kompatibilní
injekce Hydromorphone hydrochloride 10 mg/ml
injekce Ketorolac tromethamine 15 mg/ml
Žádné 216
Kompatibilní
injekce Hydromorphone hydrochloride 1 mg/ml
injekce Ketorolac tromethamine 30 mg/ml
Žádné 216
Kompatibilní
injekce Hydromorphone hydrochloride 1 mg/ml
injekce Ketorolac tromethamine 15 mg/ml
Žádné 216
Okamžité srážení Nekompatibilní
injekce Hydromorphone hydrochloride 10 mg/ml
injekce Ketorolac tromethamine 30 mg/ml
Žádné 216
Kompatibilní
injekce Hydromorphone hydrochloride 1 mg/ml
injekce Labetalol hydrochloride 2 mg/ml
314
Srážky po 1 hodině Nekompatibilní
injekce Hydromorphone hydrochloride 0.5 mg/ml
injekce Lansoprazole 0.55 mg/ml
Chlorid sodný 0,9% 1625
Kompatibilní
injekce Hydromorphone hydrochloride 2 mg/ml
injekce Levofloxacine 5 mg/ml
Žádné 2335
Kompatibilní
injekce Hydromorphone hydrochloride
injekce Levomepromazine
5073
Kompatibilní
injekce Hydromorphone hydrochloride 10 mg/ml
injekce Levosimendan 2,5 mg/ml
4389
Kompatibilní
injekce Hydromorphone hydrochloride 0.5 mg/ml
injekce Linezolid 2 mg/ml
Žádné 1925
Kompatibilní
injekce Hydromorphone hydrochloride 0.5 mg/ml
injekce Lorazepam 0.1 mg/ml
GlukÛza 5% 1974
Kompatibilní
injekce Hydromorphone hydrochloride 2 >> 40 mg/ml
injekce Lorazepam 4 mg/ml
Žádné 1497
Kompatibilní
injekce Hydromorphone hydrochloride 1 mg/ml
injekce Lorazepam 0.5 mg/ml
314
Kompatibilní
injekce Hydromorphone hydrochloride 2 mg/ml
injekce Magnesium sulfate 16,67 >> 100 mg/ml
GlukÛza 5% 517
Kompatibilní
injekce Hydromorphone hydrochloride 0.5 mg/ml
injekce Melphalan 0.1 mg/ml
Chlorid sodný 0,9% 169
Kompatibilní
injekce Hydromorphone hydrochloride 10 mg/ml
injekce Meropenem 50 mg/ml
Voda pro injekci 4319
Chemická nestabilita Nekompatibilní
injekce Hydromorphone hydrochloride
injekce Metamizol sodium
2364
Kompatibilní
injekce Hydromorphone hydrochloride
injekce Metoclopramide hydrochloride
5073
Kompatibilní
injekce Hydromorphone hydrochloride 0.5 mg/ml
injekce Metoclopramide hydrochloride 5 mg/ml
GlukÛza 5% 1974
Kompatibilní
injekce Hydromorphone hydrochloride 0.2 mg/ml
injekce Metronidazole 5 mg/ml
GlukÛza 5% 405
Kompatibilní
injekce Hydromorphone hydrochloride 0.5 mg/ml
injekce Micafungin 1.5 mg/ml
Chlorid sodný 0,9% 2108
Kompatibilní
injekce Hydromorphone hydrochloride
injekce Midazolam hydrochloride
5073
Kompatibilní
injekce Hydromorphone hydrochloride 0.5 mg/ml
injekce Midazolam hydrochloride 0.2 mg/ml
GlukÛza 5% 1974
Kompatibilní
injekce Hydromorphone hydrochloride 0.5 >> 45 mg/ml
injekce Midazolam hydrochloride 0.1 >> 4.5 mg/ml
GlukÛza 5% 345
Kompatibilní
injekce Hydromorphone hydrochloride 1 mg/ml
injekce Midazolam hydrochloride 2 mg/ml
314
Kompatibilní
injekce Hydromorphone hydrochloride 0.5 >> 45 mg/ml
injekce Midazolam hydrochloride 0.1 >> 4.5 mg/ml
Chlorid sodný 0,9% 345
Kompatibilní
injekce Hydromorphone hydrochloride 1 mg/ml
injekce Milrinone lactate 0.2 mg/ml
314
Změna barvy po 1 hodině Nekompatibilní
injekce Hydromorphone hydrochloride 0.2 mg/ml
injekce Minocycline hydrochloride 0.2 mg/ml
GlukÛza 5% 405
Kompatibilní
injekce Hydromorphone hydrochloride 1 mg/ml
injekce Morphine sulfate 2 mg/ml
314
Kompatibilní
injekce Hydromorphone hydrochloride 0.2 mg/ml
injekce Moxalactam 20 mg/ml
GlukÛza 5% 405
Kompatibilní
injekce Hydromorphone hydrochloride 0.2 mg/ml
injekce Nafcillin sodium 20 mg/ml
GlukÛza 5% 405
Kompatibilní
injekce Hydromorphone hydrochloride 10 mg/ml
injekce Naloxone hydrochloride 0.4 mg/ml
Žádné 3408
Kompatibilní
injekce Hydromorphone hydrochloride 1 mg/ml
injekce Nicardipine hydrochloride 1 mg/ml
314
Kompatibilní
injekce Hydromorphone hydrochloride 1 mg/ml
injekce Nitroglycerin 0.4 mg/ml
314
Kompatibilní
injekce Hydromorphone hydrochloride 1 mg/ml
injekce Norepinephrine bitartrate 0.128 mg/ml
314
Kompatibilní
injekce Hydromorphone hydrochloride 0,5 mg/ml
injekce Ondansetron hydrochloride 0,1 & 1 mg/ml
Chlorid sodný 0,9% 6
Kompatibilní
injekce Hydromorphone hydrochloride 0.5 mg/ml
injekce Ondansetron hydrochloride 1 mg/ml
Chlorid sodný 0,9% 334
Kompatibilní
injekce Hydromorphone hydrochloride 0.2 mg/ml
injekce Oxacillin sodium 20 mg/ml
GlukÛza 5% 405
Kompatibilní
injekce Hydromorphone hydrochloride 0,5 mg/ml
injekce Oxaliplatin 0,5 mg/ml
GlukÛza 5% 1662
Kompatibilní
injekce Hydromorphone hydrochloride 0.5 mg/ml
injekce Paclitaxel 1.2 mg/ml
GlukÛza 5% 248
Kompatibilní
injekce Hydromorphone hydrochloride 0.5 mg/ml
injekce Palonosetron hydrochloride 50 µg/ml
GlukÛza 5% 2196
Srážky po 4 hodinách Nekompatibilní
injekce Hydromorphone hydrochloride
injekce Pantoprazole sodium
2090
Kompatibilní
injekce Hydromorphone hydrochloride 10 mg/ml
injekce Paracetamol 10 mg/ml
4742
Kompatibilní
injekce Hydromorphone hydrochloride 2 mg/ml
injekce Paracetamol 10 mg/ml
Žádné 3571
Nespecifikovaná nekompatibilita Nekompatibilní
injekce Hydromorphone hydrochloride
injekce Parecoxib sodium
3504
Kompatibilní
injekce Hydromorphone hydrochloride 0.5 mg/ml
injekce Pemetrexed disodium 20 mg/ml
Chlorid sodný 0,9% 1953
Kompatibilní
injekce Hydromorphone hydrochloride 0.2 mg/ml
injekce Penicillin G potassium 0.1 MUI/ml
GlukÛza 5% 405
Okamžité srážení Nekompatibilní
injekce Hydromorphone hydrochloride 2 >> 40 mg/ml
injekce Phenobarbital sodium 120 mg/ml
GlukÛza 5% 226
Kompatibilní
injekce Hydromorphone hydrochloride 0.5 mg/ml
injekce Phenobarbital sodium 2 mg/ml
GlukÛza 5% 1974
Okamžité srážení Nekompatibilní
injekce Hydromorphone hydrochloride 2 >> 40 mg/ml
injekce Phenytoin sodium 50 mg/ml
GlukÛza 5% 226
Srážky po 1 hodině Nekompatibilní
injekce Hydromorphone hydrochloride 0.5 mg/ml
injekce Phenytoin sodium 2 mg/ml
GlukÛza 5% 1974
Kompatibilní
injekce Hydromorphone hydrochloride 0.2 mg/ml
injekce Piperacillin sodium 60 mg/ml
GlukÛza 5% 405
Kompatibilní
injekce Hydromorphone hydrochloride 0.5 mg/ml
injekce Piperacillin sodium / tazobactam 40/5 mg/ml
GlukÛza 5% 81
Kompatibilní
injekce Hydromorphone hydrochloride 1 mg/ml
injekce Plazomicin sulfate 24 mg/ml
Chlorid sodný 0,9% 4145
Kompatibilní
injekce Hydromorphone hydrochloride
injekce Posaconazole
4380
Kompatibilní
injekce Hydromorphone hydrochloride 25 mg/ml
injekce Potassium chloride 1000 mEq/l
Voda pro injekci 66
Kompatibilní
injekce Hydromorphone hydrochloride 5 >> 20 mg/ml
injekce Potassium chloride 500 & 1000 mEq/l
GlukÛza 5% 66
Kompatibilní
injekce Hydromorphone hydrochloride 2 >> 40 mg/ml
injekce Prochlorperazine edysilate 5 mg/ml
Žádné 1497
Kompatibilní
injekce Hydromorphone hydrochloride 0,5 mg/ml
injekce Prochlorperazine edysilate 1,5 mg/ml
Chlorid sodný 0,9% 767
Kompatibilní
injekce Hydromorphone hydrochloride 1 mg/ml
injekce Promethazine hydrochloride 0.3 mg/ml
Chlorid sodný 0,9% 795
Kompatibilní
injekce Hydromorphone hydrochloride 0.5 mg/ml
injekce Propofol 10 mg/ml
Žádné 300
Kompatibilní
injekce Hydromorphone hydrochloride 1 mg/ml
injekce Ranitidine hydrochloride 1 mg/ml
314
Kompatibilní
injekce Hydromorphone hydrochloride 2 mg/ml
injekce Ranitidine hydrochloride 25 mg/ml
Žádné 58
Kompatibilní
injekce Hydromorphone hydrochloride 1 mg/ml
injekce Remdesivir 1 mg/ml
Chlorid sodný 0,9% 4768
Kompatibilní
injekce Hydromorphone hydrochloride 10 mg/ml
injekce Salbutamol sulfate 1 mg/ml
Žádné 3216
Srážení po 30 minutách Nekompatibilní
injekce Hydromorphone hydrochloride 0.5 mg/ml
injekce Sargramostim 10 µg/ml
Chlorid sodný 0,9% 335
Kompatibilní
injekce Hydromorphone hydrochloride 0.5 mg/ml
injekce Scopolamine hydrobromide 0.05 mg/ml
GlukÛza 5% 1974
Kompatibilní
injekce Hydromorphone hydrochloride
injekce Scopolamine hydrobromide
5073
Kompatibilní
injekce Hydromorphone hydrochloride 0,1 & 1 mg/ml
injekce Tacrolimus 5 & 20 µg/ml
GlukÛza 5% 814
Kompatibilní
injekce Hydromorphone hydrochloride 1 mg/ml
injekce Tedizolid phosphate 0.8 mg/ml
Chlorid sodný 0,9% 3827
Kompatibilní
injekce Hydromorphone hydrochloride 0.5 mg/ml
injekce Teniposide 0.1 mg/ml
GlukÛza 5% 905
Okamžité srážení Nekompatibilní
injekce Hydromorphone hydrochloride 10 mg/ml
injekce Thiopental sodium 25 mg/ml
Chlorid sodný 0,9% 3767
Srážky po 4 hodinách Nekompatibilní
injekce Hydromorphone hydrochloride 1 mg/ml
injekce Thiopental sodium 25 mg/ml
314
Kompatibilní
injekce Hydromorphone hydrochloride 0.5 mg/ml
injekce Thiotepa 1 mg/ml
GlukÛza 5% 249
Kompatibilní
injekce Hydromorphone hydrochloride
Chlorid sodný 0,9% 5073
Kompatibilní
injekce Hydromorphone hydrochloride
injekce Scopolamine N-butyl bromide
5073
Kompatibilní
injekce Hydromorphone hydrochloride 1 mg/ml
injekce Sulbactam/durlobactam 15/15 mg/ml
Chlorid sodný 0,9% 4801
Kompatibilní
injekce Hydromorphone hydrochloride 0.2 mg/ml
injekce Tobramycin sulfate 0.8 mg/ml
GlukÛza 5% 405
Kompatibilní
injekce Hydromorphone hydrochloride 0.2 mg/ml
injekce Vancomycin hydrochloride 5 mg/ml
GlukÛza 5% 405
Kompatibilní
injekce Hydromorphone hydrochloride 2 mg/ml
injekce Vancomycin hydrochloride 4 mg/ml
Chlorid sodný 0,9% 2335
Kompatibilní
injekce Hydromorphone hydrochloride 1 mg/ml
injekce Vecuronium bromide 1 mg/ml
314
Kompatibilní
injekce Hydromorphone hydrochloride 0.016 mg/ml
injekce Verapamil hydrochloride 0.08 mg/ml
Chlorid sodný 0,9% 1057
Kompatibilní
injekce Hydromorphone hydrochloride 0.016 mg/ml
injekce Verapamil hydrochloride 0.08 mg/ml
GlukÛza 5% 1057
Kompatibilní
injekce Hydromorphone hydrochloride 0.5 mg/ml
injekce Vinorelbine tartrate 1 mg/ml
Chlorid sodný 0,9% 84

  Mentions Légales