آخر تحديث :
27/04/2026
مسكن   Hydromorphone hydrochloride  
حقن
الاستقرار في حلول استقرار مخاليط العوامل التي تؤثر على الاستقرار التوافق طريقة التعاطي مراجع pdf
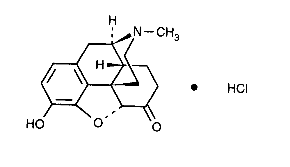
   التركيب الكيميائي  

حجز الاسم التجاري   حجز الاسم التجاري     

تحذير الأسماء التجاريه المختلفه قد تحتوي علي محتوي إضافات مختلفة حسب الدوله و المعمل

Dilaudid الولايات المتحدة, كندا
Hydal النمسا
Palladon الدنمارك, سويسرا
Palladone بريطانيا العظمي
التوافق   حقن   التوافق : Hydromorphone hydrochloride              
This screen indicates the compatibilities or incompatibilities with, in this case, the type of incompatibility (precipitation, color change, modification of an emulsion, etc.). The compatibilities shown here are mostly physical only, with the chemical stability of each molecule rarely being assessed. The evaluation of these mixtures was studied to consider the possibility of Y-site administration to the patient. These data cannot be used for making mixtures in advance in bags or syringes. This type of information is available in the screen "Stability in mixture ».
مركب مذيب مراجع
kompatibel
حقن Hydromorphone hydrochloride 0.04 mg/ml
حقن Aciclovir sodium 5 mg/ml
الجلوكوز %5 336
kompatibel
حقن Hydromorphone hydrochloride 0.5 mg/ml
حقن Allopurinol sodium 3 mg/ml
كلوريد الصوديوم 0.9% 307
kompatibel
حقن Hydromorphone hydrochloride 0.5 mg/ml
حقن Amifostine 10 mg/ml
الجلوكوز %5 3
kompatibel
حقن Hydromorphone hydrochloride 0.2 mg/ml
حقن Amikacin sulfate 5 mg/ml
الجلوكوز %5 405
kompatibel
حقن Hydromorphone hydrochloride 10 mg/ml
حقن Amoxicillin sodium / clavulanic acid 100/10 mg/ml
3824
kompatibel
حقن Hydromorphone hydrochloride 2 >> 40 mg/ml
حقن Ampicillin sodium 20 & 250 mg/ml
الجلوكوز %5 226
kompatibel
حقن Hydromorphone hydrochloride 0.5 mg/ml
حقن Amsacrine 1 mg/ml
الجلوكوز %5 253
kompatibel
حقن Hydromorphone hydrochloride 0.5 mg/ml
حقن Anidulafungin 0.5 mg/ml
الجلوكوز %5 1982
kompatibel
حقن Hydromorphone hydrochloride 0.5 mg/ml
حقن Aztreonam 40 mg/ml
الجلوكوز %5 99
kompatibel
حقن Hydromorphone hydrochloride 0.5 mg/ml
حقن Bivalirudin 5 mg/ml
الجلوكوز %5 1713
عدم استقرار فوري للمستحلب غير متوافق
حقن Hydromorphone hydrochloride 0.5 mg/ml
التغذية الوريدية (مع الدهون) 1415
kompatibel
حقن Hydromorphone hydrochloride 10 mg/ml
محلول رينجر  اللاكتات 4603
فقدان العكارة غير متوافق
حقن Hydromorphone hydrochloride 0.5 mg/ml
حقن Amphotericin B cholesteryl sulfate complex 0.83 mg/ml
الجلوكوز %5 921
kompatibel
حقن Hydromorphone hydrochloride 0.2 mg/ml
حقن Ampicillin sodium 20 mg/ml
الجلوكوز %5 405
kompatibel
حقن Hydromorphone hydrochloride 0.5 mg/ml
حقن Atropine sulfate 0.4 mg/ml
الجلوكوز %5 1974
kompatibel
حقن Hydromorphone hydrochloride 0,02 & 0,1 mg/ml
حقن Bupivacaine hydrochloride 0,625 & 1,25 mg/ml
كلوريد الصوديوم 0.9% 306
kompatibel
حقن Hydromorphone hydrochloride
الجلوكوز %5 5073
kompatibel
حقن Hydromorphone hydrochloride 0,02 & 0,04 mg/ml
حقن Bupivacaine hydrochloride 2,5 mg/ml
كلوريد الصوديوم 0.9% 1931
kompatibel
حقن Hydromorphone hydrochloride 15 mg/ml
حقن Bupivacaine hydrochloride 10 mg/ml
لا شيء 4200
kompatibel
حقن Hydromorphone hydrochloride 2,5 mg/ml
التغذية الوريدية (مع الدهون) 4507
kompatibel
حقن Hydromorphone hydrochloride 25 mg/ml
حقن Bupivacaine hydrochloride 20 mg/ml
كلوريد الصوديوم 0.9% 3131
kompatibel
حقن Hydromorphone hydrochloride 65 mg/ml
حقن Bupivacaine hydrochloride 7,5 mg/ml
لا شيء 221
kompatibel
حقن Hydromorphone hydrochloride 50 mg/ml
حقن Caffeine 10 mg/ml
لا شيء 3964
kompatibel
حقن Hydromorphone hydrochloride 1 mg/ml
حقن Caspofungin acetate 0,7 mg/ml
كلوريد الصوديوم 0.9% 2247
kompatibel
حقن Hydromorphone hydrochloride 1 mg/ml
حقن Caspofungin acetate 0.5 mg/ml
كلوريد الصوديوم 0.9% 2233
kompatibel
حقن Hydromorphone hydrochloride 0.2 mg/ml
حقن Cefalotin sodium 20 mg/ml
الجلوكوز %5 405
kompatibel
حقن Hydromorphone hydrochloride 0.2 mg/ml
حقن Cefamandole nafate 20 mg/ml
الجلوكوز %5 405
kompatibel
حقن Hydromorphone hydrochloride 0.2 mg/ml
حقن Cefazolin sodium 20 mg/ml
الجلوكوز %5 405
kompatibel
حقن Hydromorphone hydrochloride 2 >> 40 mg/ml
حقن Cefazolin sodium 20 mg/ml
الجلوكوز %5 226
هطول فوري غير متوافق
حقن Hydromorphone hydrochloride 2 >> 40 mg/ml
حقن Cefazolin sodium >200 mg/ml
الجلوكوز %5 226
kompatibel
حقن Hydromorphone hydrochloride 1 mg/ml
حقن Cefiderocol sulfate tosylate 20 mg/mL
كلوريد الصوديوم 0.9% 4528
kompatibel
حقن Hydromorphone hydrochloride 1 mg/ml
حقن Cefiderocol sulfate tosylate 20 mg/mL
الجلوكوز %5 4528
kompatibel
حقن Hydromorphone hydrochloride 0.2 mg/ml
حقن Cefmetazole sodium 100 mg/ml
حقن المياه لل 93
kompatibel
حقن Hydromorphone hydrochloride 0.2 mg/ml
حقن Cefoperazone sodium 20 mg/ml
الجلوكوز %5 405
kompatibel
حقن Hydromorphone hydrochloride 0.2 mg/ml
حقن Ceforanide 20 mg/ml
الجلوكوز %5 405
kompatibel
حقن Hydromorphone hydrochloride 0.2 mg/ml
حقن Cefotaxime sodium 20 mg/ml
الجلوكوز %5 405
kompatibel
حقن Hydromorphone hydrochloride 0.2 mg/ml
حقن Cefoxitin sodium 20 mg/ml
الجلوكوز %5 405
kompatibel
حقن Hydromorphone hydrochloride 0,5 mg/ml
حقن Ceftaroline fosamil 2,22 mg/ml
محلول رينجر  اللاكتات 3249
kompatibel
حقن Hydromorphone hydrochloride 0,5 mg/ml
حقن Ceftaroline fosamil 2,22 mg/ml
الجلوكوز %5 3249
kompatibel
حقن Hydromorphone hydrochloride 0,5 mg/ml
حقن Ceftaroline fosamil 2,22 mg/ml
كلوريد الصوديوم 0.9% 3249
kompatibel
حقن Hydromorphone hydrochloride 2 >> 40 mg/ml
حقن Ceftazidime 40 & 180 mg/ml
الجلوكوز %5 226
kompatibel
حقن Hydromorphone hydrochloride 0.2 mg/ml
حقن Ceftizoxime sodium 20 mg/ml
الجلوكوز %5 405
هطول فوري غير متوافق
حقن Hydromorphone hydrochloride 1 mg/ml
حقن Ceftobiprole medocaril sodium 2 mg/ml
كلوريد الصوديوم 0.9% 2269
هطول فوري غير متوافق
حقن Hydromorphone hydrochloride 1 mg/ml
حقن Ceftobiprole medocaril sodium 2 mg/ml
محلول رينجر  اللاكتات 2269
عدم توافق غير محدد غير متوافق
حقن Hydromorphone hydrochloride
حقن Ceftobiprole medocaril sodium
4650
هطول فوري غير متوافق
حقن Hydromorphone hydrochloride 1 mg/ml
حقن Ceftobiprole medocaril sodium 2 mg/ml
الجلوكوز %5 2269
kompatibel
حقن Hydromorphone hydrochloride 1 mg/ml
حقن Ceftolozane / tazobactam 10/5 mg/ml
الجلوكوز %5 3828
kompatibel
حقن Hydromorphone hydrochloride 1 mg/ml
حقن Ceftolozane / tazobactam 10/5 mg/ml
كلوريد الصوديوم 0.9% 3828
kompatibel
حقن Hydromorphone hydrochloride 0.2 mg/ml
حقن Cefuroxime sodium 30 mg/ml
الجلوكوز %5 405
kompatibel
حقن Hydromorphone hydrochloride 0.2 mg/ml
حقن Chloramphenicol sodium succinate 20 mg/ml
الجلوكوز %5 405
kompatibel
حقن Hydromorphone hydrochloride 0.5 mg/ml
حقن Cisatracurium besylate 0.1 >> 5 mg/ml
الجلوكوز %5 299
kompatibel
حقن Hydromorphone hydrochloride 0.5 mg/ml
حقن Cladribine 0.015 mg/ml
كلوريد الصوديوم 0.9% 1496
kompatibel
حقن Hydromorphone hydrochloride 0.5 mg/ml
حقن Cladribine 0.5 mg/ml
كلوريد الصوديوم 0.9% + مضاد للجراثيم 1496
kompatibel
حقن Hydromorphone hydrochloride 10 mg/ml
حقن Cloxacillin sodium 100 mg/ml
حقن المياه لل 3012
kompatibel
حقن Hydromorphone hydrochloride 0.2 mg/ml
حقن Co-trimoxazole 4/0.8 mg/ml
الجلوكوز %5 405
kompatibel
حقن Hydromorphone hydrochloride < 10 mg/ml
حقن Dexamethasone sodium phosphate 2 >> 10 mg/ml
389
kompatibel
حقن Hydromorphone hydrochloride 0.5 mg/ml
حقن Dexamethasone sodium phosphate 1 mg/ml
الجلوكوز %5 1974
kompatibel
حقن Hydromorphone hydrochloride 1 >> 40 mg/ml
حقن Dexamethasone sodium phosphate < 2 mg/ml
389
kompatibel
حقن Hydromorphone hydrochloride 0.5 mg/ml
حقن Dexmedetomidine 4 µg/ml
كلوريد الصوديوم 0.9% 1712
هطول الأمطار بعد 2 ساعات غير متوافق
حقن Hydromorphone hydrochloride
حقن Dimenhydrinate
2087
kompatibel
حقن Hydromorphone hydrochloride 0.5 mg/ml
 التغذية الوريدية (خالية من الدهن) 301
kompatibel
حقن Hydromorphone hydrochloride 2 mg/ml
حقن Cimetidine hydrochloride 150 mg/ml
1438
kompatibel
حقن Hydromorphone hydrochloride 0.2 mg/ml
حقن Clindamycin phosphate 12 mg/ml
الجلوكوز %5 405
هطول فوري غير متوافق
حقن Hydromorphone hydrochloride 2 >> 40 mg/ml
حقن Cloxacillin sodium 40 & 250 mg/ml
الجلوكوز %5 226
هطول فوري غير متوافق
حقن Hydromorphone hydrochloride
حقن Cyclizine lactate
5073
kompatibel
حقن Hydromorphone hydrochloride
حقن Dexamethasone sodium phosphate
5073
هطول فوري غير متوافق
حقن Hydromorphone hydrochloride > 15 mg/ml
حقن Dexamethasone sodium phosphate > 3 mg/ml
389
kompatibel
حقن Hydromorphone hydrochloride 0.5 mg/ml
حقن Diazepam 0.5 mg/ml
الجلوكوز %5 1974
هطول فوري غير متوافق
حقن Hydromorphone hydrochloride 2 >> 40 mg/ml
حقن Diazepam 5 mg/ml
الجلوكوز %5 226
kompatibel
حقن Hydromorphone hydrochloride 1 mg/ml
حقن Diltiazem hydrochloride 1 mg/ml
314
kompatibel
حقن Hydromorphone hydrochloride 2 >> 40 mg/ml
حقن Dimenhydrinate 50 mg/ml
لا شيء 1497
kompatibel
حقن Hydromorphone hydrochloride 0.5 mg/ml
حقن Diphenhydramine hydrochloride 2 mg/ml
الجلوكوز %5 1974
kompatibel
حقن Hydromorphone hydrochloride 1 mg/ml
حقن Dobutamine hydrochloride 4 mg/ml
314
kompatibel
حقن Hydromorphone hydrochloride 0.5 mg/ml
حقن Docetaxel 0.9 mg/ml
الجلوكوز %5 1754
kompatibel
حقن Hydromorphone hydrochloride 1 mg/ml
حقن Dopamine hydrochloride 3.2 mg/ml
314
kompatibel
حقن Hydromorphone hydrochloride 1 mg/ml
حقن Doripenem 5 mg/ml
الجلوكوز %5 2262
kompatibel
حقن Hydromorphone hydrochloride 1 mg/ml
حقن Doripenem 5 mg/ml
كلوريد الصوديوم 0.9% 2262
kompatibel
حقن Hydromorphone hydrochloride 0.5 mg/ml
حقن Doxorubicin hydrochloride liposome peg 0.4 mg/ml
الجلوكوز %5 251
kompatibel
حقن Hydromorphone hydrochloride 0.2 mg/ml
حقن Doxycycline hyclate 1 mg/ml
الجلوكوز %5 405
kompatibel
حقن Hydromorphone hydrochloride 1 mg/ml
حقن Epinephrine hydrochloride 20 µg/ml
314
kompatibel
حقن Hydromorphone hydrochloride 1 mg/ml
حقن Eravacycline 0,6 mg/ml
كلوريد الصوديوم 0.9% 4434
kompatibel
حقن Hydromorphone hydrochloride 0.2 mg/ml
حقن Erythromycin lactobionate 5 mg/ml
الجلوكوز %5 405
kompatibel
حقن Hydromorphone hydrochloride 0.5 mg/ml
حقن Etoposide phosphate 5 mg/ml
الجلوكوز %5 1410
kompatibel
حقن Hydromorphone hydrochloride 0.5 mg/ml
حقن Famotidine 2 mg/ml
كلوريد الصوديوم 0.9% 215
kompatibel
حقن Hydromorphone hydrochloride 0.5 mg/ml
حقن Fenoldopam mesylate 80 µg/ml
كلوريد الصوديوم 0.9% 1803
kompatibel
حقن Hydromorphone hydrochloride 1 mg/ml
حقن Fentanyl citrate 50 µg/ml
314
kompatibel
حقن Hydromorphone hydrochloride 0.5 mg/ml
حقن Filgrastim 30 µg/ml
الجلوكوز %5 244
kompatibel
حقن Hydromorphone hydrochloride 0.5 mg/ml
حقن Fludarabine phosphate 1 mg/ml
الجلوكوز %5 492
kompatibel
حقن Hydromorphone hydrochloride 0.5 mg/ml
حقن Fluorouracil 1 & 16 mg/ml
الجلوكوز %5 513
kompatibel
حقن Hydromorphone hydrochloride 0.5 mg/ml
حقن Fluorouracil 1 & 16 mg/ml
كلوريد الصوديوم 0.9% 513
kompatibel
حقن Hydromorphone hydrochloride 10 mg/ml
حقن Foscarnet sodium 24 mg/ml
لا شيء 73
kompatibel
حقن Hydromorphone hydrochloride 1 mg/ml
حقن Fosfomycin 30 mg/ml
الجلوكوز %5 4055
kompatibel
حقن Hydromorphone hydrochloride 1 mg/ml
حقن Fosfomycin 30 mg/ml
كلوريد الصوديوم 0.9% 4055
kompatibel
حقن Hydromorphone hydrochloride 1 mg/ml
حقن Furosemide 10 mg/ml
314
العكارة في 24 ساعة غير متوافق
حقن Hydromorphone hydrochloride 4 mg/ml
حقن Gallium nitrate 1 mg/ml
كلوريد الصوديوم 0.9% 91
kompatibel
حقن Hydromorphone hydrochloride 0.5 mg/ml
حقن Gemcitabine hydrochloride 10 mg/ml
كلوريد الصوديوم 0.9% 1423
kompatibel
حقن Hydromorphone hydrochloride 0.2 mg/ml
حقن Gentamicin sulfate 0.8 mg/ml
الجلوكوز %5 405
kompatibel
حقن Hydromorphone hydrochloride
حقن Glycopyrronium bromide
5073
kompatibel
حقن Hydromorphone hydrochloride 0.5 mg/ml
حقن Granisetron hydrochloride 0.056 mg/ml
كلوريد الصوديوم 0.9% 6
kompatibel
حقن Hydromorphone hydrochloride 0.5 mg/ml
حقن Granisetron hydrochloride 1 mg/ml
كلوريد الصوديوم 0.9% 57
kompatibel
حقن Hydromorphone hydrochloride 0.5 mg/ml
حقن Granisetron hydrochloride 0.05 mg/ml
الجلوكوز %5 182
kompatibel
حقن Hydromorphone hydrochloride 10 mg/ml
حقن Haloperidol lactate 1 mg/ml
لا شيء 216
kompatibel
حقن Hydromorphone hydrochloride 10 mg/ml
حقن Haloperidol lactate 5 mg/ml
لا شيء 216
kompatibel
حقن Hydromorphone hydrochloride 1 mg/ml
حقن Haloperidol lactate 5 mg/ml
لا شيء 216
kompatibel
حقن Hydromorphone hydrochloride 1 mg/ml
حقن Haloperidol lactate 2 mg/ml
لا شيء 216
kompatibel
حقن Hydromorphone hydrochloride 1 mg/ml
حقن Haloperidol lactate 1 mg/ml
لا شيء 216
kompatibel
حقن Hydromorphone hydrochloride 0.5 mg/ml
حقن Haloperidol lactate 0.2 mg/ml
الجلوكوز %5 1974
kompatibel
حقن Hydromorphone hydrochloride
حقن Haloperidol lactate
5073
kompatibel
حقن Hydromorphone hydrochloride 10 mg/ml
حقن Haloperidol lactate 2 mg/ml
لا شيء 216
kompatibel
حقن Hydromorphone hydrochloride <12.5 mg/ml
حقن Heparin sodium
حقن المياه لل 66
kompatibel
حقن Hydromorphone hydrochloride <12.5 mg/ml
حقن Heparin sodium
كلوريد الصوديوم 0.9% 66
kompatibel
حقن Hydromorphone hydrochloride 1 mg/ml
حقن Heparin sodium 100 UI/ml
314
هطول فوري غير متوافق
حقن Hydromorphone hydrochloride >25 mg/ml
حقن Heparin sodium <12,5 UI/ml
حقن المياه لل 66
هطول فوري غير متوافق
حقن Hydromorphone hydrochloride >10 mg/ml
حقن Heparin sodium <1 UI/ml
حقن المياه لل 66
هطول فوري غير متوافق
حقن Hydromorphone hydrochloride >25 mg/ml
حقن Heparin sodium <12,5 UI/ml
كلوريد الصوديوم 0.9% 66
kompatibel
حقن Hydromorphone hydrochloride 0.5 mg/ml
حقن Hetastarch 60 mg/ml
مذيب معين 1721
عدم الاستقرار الكيميائي غير متوافق
حقن Hydromorphone hydrochloride 2 >> 40 mg/ml
حقن Hyaluronidase 150 UI/ml
الجلوكوز %5 9
kompatibel
حقن Hydromorphone hydrochloride
حقن Hyaluronidase
3184
عدم الاستقرار الكيميائي غير متوافق
حقن Hydromorphone hydrochloride 2 >> 40 mg/ml
حقن Hyaluronidase 150 UI/ml
كلوريد الصوديوم 0.9% 9
kompatibel
حقن Hydromorphone hydrochloride 0.5 mg/ml
حقن Hydroxyzine dihydrochloride 4 mg/ml
الجلوكوز %5 1974
kompatibel
حقن Hydromorphone hydrochloride 1 mg/ml
حقن Isavuconazonium sulfate 1.5 mg/ml
كلوريد الصوديوم 0.9% 3829
kompatibel
حقن Hydromorphone hydrochloride 1 mg/ml
حقن Isavuconazonium sulfate 1.5 mg/ml
الجلوكوز %5 3829
kompatibel
حقن Hydromorphone hydrochloride 0.2 mg/ml
حقن Kanamycin sulfate 2.5 mg/ml
الجلوكوز %5 405
kompatibel
حقن Hydromorphone hydrochloride
حقن Ketamine hydrochloride
5073
kompatibel
حقن Hydromorphone hydrochloride 0.2 mg/ml
حقن Ketamine hydrochloride 0.2 >> 1 mg/ml
كلوريد الصوديوم 0.9% 2336
kompatibel
حقن Hydromorphone hydrochloride 0.5 mg/ml
حقن Ketorolac tromethamine 1 mg/ml
الجلوكوز %5 1974
kompatibel
حقن Hydromorphone hydrochloride 10 mg/ml
حقن Ketorolac tromethamine 15 mg/ml
لا شيء 216
kompatibel
حقن Hydromorphone hydrochloride 1 mg/ml
حقن Ketorolac tromethamine 30 mg/ml
لا شيء 216
kompatibel
حقن Hydromorphone hydrochloride 1 mg/ml
حقن Ketorolac tromethamine 15 mg/ml
لا شيء 216
هطول فوري غير متوافق
حقن Hydromorphone hydrochloride 10 mg/ml
حقن Ketorolac tromethamine 30 mg/ml
لا شيء 216
kompatibel
حقن Hydromorphone hydrochloride 1 mg/ml
حقن Labetalol hydrochloride 2 mg/ml
314
هطول الأمطار بعد 1 ساعة غير متوافق
حقن Hydromorphone hydrochloride 0.5 mg/ml
حقن Lansoprazole 0.55 mg/ml
كلوريد الصوديوم 0.9% 1625
kompatibel
حقن Hydromorphone hydrochloride 2 mg/ml
حقن Levofloxacine 5 mg/ml
لا شيء 2335
kompatibel
حقن Hydromorphone hydrochloride
حقن Levomepromazine
5073
kompatibel
حقن Hydromorphone hydrochloride 10 mg/ml
حقن Levosimendan 2,5 mg/ml
4389
kompatibel
حقن Hydromorphone hydrochloride 0.5 mg/ml
حقن Linezolid 2 mg/ml
لا شيء 1925
kompatibel
حقن Hydromorphone hydrochloride 0.5 mg/ml
حقن Lorazepam 0.1 mg/ml
الجلوكوز %5 1974
kompatibel
حقن Hydromorphone hydrochloride 2 >> 40 mg/ml
حقن Lorazepam 4 mg/ml
لا شيء 1497
kompatibel
حقن Hydromorphone hydrochloride 1 mg/ml
حقن Lorazepam 0.5 mg/ml
314
kompatibel
حقن Hydromorphone hydrochloride 2 mg/ml
حقن Magnesium sulfate 16,67 >> 100 mg/ml
الجلوكوز %5 517
kompatibel
حقن Hydromorphone hydrochloride 0.5 mg/ml
حقن Melphalan 0.1 mg/ml
كلوريد الصوديوم 0.9% 169
kompatibel
حقن Hydromorphone hydrochloride 10 mg/ml
حقن Meropenem 50 mg/ml
حقن المياه لل 4319
عدم الاستقرار الكيميائي غير متوافق
حقن Hydromorphone hydrochloride
حقن Metamizol sodium
2364
kompatibel
حقن Hydromorphone hydrochloride
حقن Metoclopramide hydrochloride
5073
kompatibel
حقن Hydromorphone hydrochloride 0.5 mg/ml
حقن Metoclopramide hydrochloride 5 mg/ml
الجلوكوز %5 1974
kompatibel
حقن Hydromorphone hydrochloride 0.2 mg/ml
حقن Metronidazole 5 mg/ml
الجلوكوز %5 405
kompatibel
حقن Hydromorphone hydrochloride 0.5 mg/ml
حقن Micafungin 1.5 mg/ml
كلوريد الصوديوم 0.9% 2108
kompatibel
حقن Hydromorphone hydrochloride
حقن Midazolam hydrochloride
5073
kompatibel
حقن Hydromorphone hydrochloride 0.5 mg/ml
حقن Midazolam hydrochloride 0.2 mg/ml
الجلوكوز %5 1974
kompatibel
حقن Hydromorphone hydrochloride 0.5 >> 45 mg/ml
حقن Midazolam hydrochloride 0.1 >> 4.5 mg/ml
الجلوكوز %5 345
kompatibel
حقن Hydromorphone hydrochloride 1 mg/ml
حقن Midazolam hydrochloride 2 mg/ml
314
kompatibel
حقن Hydromorphone hydrochloride 0.5 >> 45 mg/ml
حقن Midazolam hydrochloride 0.1 >> 4.5 mg/ml
كلوريد الصوديوم 0.9% 345
kompatibel
حقن Hydromorphone hydrochloride 1 mg/ml
حقن Milrinone lactate 0.2 mg/ml
314
تغير اللون بعد ساعة واحدة غير متوافق
حقن Hydromorphone hydrochloride 0.2 mg/ml
حقن Minocycline hydrochloride 0.2 mg/ml
الجلوكوز %5 405
kompatibel
حقن Hydromorphone hydrochloride 1 mg/ml
حقن Morphine sulfate 2 mg/ml
314
kompatibel
حقن Hydromorphone hydrochloride 0.2 mg/ml
حقن Moxalactam 20 mg/ml
الجلوكوز %5 405
kompatibel
حقن Hydromorphone hydrochloride 0.2 mg/ml
حقن Nafcillin sodium 20 mg/ml
الجلوكوز %5 405
kompatibel
حقن Hydromorphone hydrochloride 10 mg/ml
حقن Naloxone hydrochloride 0.4 mg/ml
لا شيء 3408
kompatibel
حقن Hydromorphone hydrochloride 1 mg/ml
حقن Nicardipine hydrochloride 1 mg/ml
314
kompatibel
حقن Hydromorphone hydrochloride 1 mg/ml
حقن Nitroglycerin 0.4 mg/ml
314
kompatibel
حقن Hydromorphone hydrochloride 1 mg/ml
حقن Norepinephrine bitartrate 0.128 mg/ml
314
kompatibel
حقن Hydromorphone hydrochloride 0,5 mg/ml
حقن Ondansetron hydrochloride 0,1 & 1 mg/ml
كلوريد الصوديوم 0.9% 6
kompatibel
حقن Hydromorphone hydrochloride 0.5 mg/ml
حقن Ondansetron hydrochloride 1 mg/ml
كلوريد الصوديوم 0.9% 334
kompatibel
حقن Hydromorphone hydrochloride 0.2 mg/ml
حقن Oxacillin sodium 20 mg/ml
الجلوكوز %5 405
kompatibel
حقن Hydromorphone hydrochloride 0,5 mg/ml
حقن Oxaliplatin 0,5 mg/ml
الجلوكوز %5 1662
kompatibel
حقن Hydromorphone hydrochloride 0.5 mg/ml
حقن Paclitaxel 1.2 mg/ml
الجلوكوز %5 248
kompatibel
حقن Hydromorphone hydrochloride 0.5 mg/ml
حقن Palonosetron hydrochloride 50 µg/ml
الجلوكوز %5 2196
هطول الأمطار بعد 4 ساعات غير متوافق
حقن Hydromorphone hydrochloride
حقن Pantoprazole sodium
2090
kompatibel
حقن Hydromorphone hydrochloride 10 mg/ml
حقن Paracetamol 10 mg/ml
4742
kompatibel
حقن Hydromorphone hydrochloride 2 mg/ml
حقن Paracetamol 10 mg/ml
لا شيء 3571
عدم توافق غير محدد غير متوافق
حقن Hydromorphone hydrochloride
حقن Parecoxib sodium
3504
kompatibel
حقن Hydromorphone hydrochloride 0.5 mg/ml
حقن Pemetrexed disodium 20 mg/ml
كلوريد الصوديوم 0.9% 1953
kompatibel
حقن Hydromorphone hydrochloride 0.2 mg/ml
حقن Penicillin G potassium 0.1 MUI/ml
الجلوكوز %5 405
هطول فوري غير متوافق
حقن Hydromorphone hydrochloride 2 >> 40 mg/ml
حقن Phenobarbital sodium 120 mg/ml
الجلوكوز %5 226
kompatibel
حقن Hydromorphone hydrochloride 0.5 mg/ml
حقن Phenobarbital sodium 2 mg/ml
الجلوكوز %5 1974
هطول فوري غير متوافق
حقن Hydromorphone hydrochloride 2 >> 40 mg/ml
حقن Phenytoin sodium 50 mg/ml
الجلوكوز %5 226
هطول الأمطار بعد 1 ساعة غير متوافق
حقن Hydromorphone hydrochloride 0.5 mg/ml
حقن Phenytoin sodium 2 mg/ml
الجلوكوز %5 1974
kompatibel
حقن Hydromorphone hydrochloride 0.2 mg/ml
حقن Piperacillin sodium 60 mg/ml
الجلوكوز %5 405
kompatibel
حقن Hydromorphone hydrochloride 0.5 mg/ml
حقن Piperacillin sodium / tazobactam 40/5 mg/ml
الجلوكوز %5 81
kompatibel
حقن Hydromorphone hydrochloride 1 mg/ml
حقن Plazomicin sulfate 24 mg/ml
كلوريد الصوديوم 0.9% 4145
kompatibel
حقن Hydromorphone hydrochloride
حقن Posaconazole
4380
kompatibel
حقن Hydromorphone hydrochloride 25 mg/ml
حقن Potassium chloride 1000 mEq/l
حقن المياه لل 66
kompatibel
حقن Hydromorphone hydrochloride 5 >> 20 mg/ml
حقن Potassium chloride 500 & 1000 mEq/l
الجلوكوز %5 66
kompatibel
حقن Hydromorphone hydrochloride 2 >> 40 mg/ml
حقن Prochlorperazine edysilate 5 mg/ml
لا شيء 1497
kompatibel
حقن Hydromorphone hydrochloride 0,5 mg/ml
حقن Prochlorperazine edysilate 1,5 mg/ml
كلوريد الصوديوم 0.9% 767
kompatibel
حقن Hydromorphone hydrochloride 1 mg/ml
حقن Promethazine hydrochloride 0.3 mg/ml
كلوريد الصوديوم 0.9% 795
kompatibel
حقن Hydromorphone hydrochloride 0.5 mg/ml
حقن Propofol 10 mg/ml
لا شيء 300
kompatibel
حقن Hydromorphone hydrochloride 1 mg/ml
حقن Ranitidine hydrochloride 1 mg/ml
314
kompatibel
حقن Hydromorphone hydrochloride 2 mg/ml
حقن Ranitidine hydrochloride 25 mg/ml
لا شيء 58
kompatibel
حقن Hydromorphone hydrochloride 1 mg/ml
حقن Remdesivir 1 mg/ml
كلوريد الصوديوم 0.9% 4768
kompatibel
حقن Hydromorphone hydrochloride 10 mg/ml
حقن Salbutamol sulfate 1 mg/ml
لا شيء 3216
هطول الأمطار بعد 30 دقيقة غير متوافق
حقن Hydromorphone hydrochloride 0.5 mg/ml
حقن Sargramostim 10 µg/ml
كلوريد الصوديوم 0.9% 335
kompatibel
حقن Hydromorphone hydrochloride 0.5 mg/ml
حقن Scopolamine hydrobromide 0.05 mg/ml
الجلوكوز %5 1974
kompatibel
حقن Hydromorphone hydrochloride
حقن Scopolamine hydrobromide
5073
kompatibel
حقن Hydromorphone hydrochloride 0,1 & 1 mg/ml
حقن Tacrolimus 5 & 20 µg/ml
الجلوكوز %5 814
kompatibel
حقن Hydromorphone hydrochloride 1 mg/ml
حقن Tedizolid phosphate 0.8 mg/ml
كلوريد الصوديوم 0.9% 3827
kompatibel
حقن Hydromorphone hydrochloride 0.5 mg/ml
حقن Teniposide 0.1 mg/ml
الجلوكوز %5 905
هطول فوري غير متوافق
حقن Hydromorphone hydrochloride 10 mg/ml
حقن Thiopental sodium 25 mg/ml
كلوريد الصوديوم 0.9% 3767
هطول الأمطار بعد 4 ساعات غير متوافق
حقن Hydromorphone hydrochloride 1 mg/ml
حقن Thiopental sodium 25 mg/ml
314
kompatibel
حقن Hydromorphone hydrochloride 0.5 mg/ml
حقن Thiotepa 1 mg/ml
الجلوكوز %5 249
kompatibel
حقن Hydromorphone hydrochloride
كلوريد الصوديوم 0.9% 5073
kompatibel
حقن Hydromorphone hydrochloride
حقن Scopolamine N-butyl bromide
5073
kompatibel
حقن Hydromorphone hydrochloride 1 mg/ml
حقن Sulbactam/durlobactam 15/15 mg/ml
كلوريد الصوديوم 0.9% 4801
kompatibel
حقن Hydromorphone hydrochloride 0.2 mg/ml
حقن Tobramycin sulfate 0.8 mg/ml
الجلوكوز %5 405
kompatibel
حقن Hydromorphone hydrochloride 0.2 mg/ml
حقن Vancomycin hydrochloride 5 mg/ml
الجلوكوز %5 405
kompatibel
حقن Hydromorphone hydrochloride 2 mg/ml
حقن Vancomycin hydrochloride 4 mg/ml
كلوريد الصوديوم 0.9% 2335
kompatibel
حقن Hydromorphone hydrochloride 1 mg/ml
حقن Vecuronium bromide 1 mg/ml
314
kompatibel
حقن Hydromorphone hydrochloride 0.016 mg/ml
حقن Verapamil hydrochloride 0.08 mg/ml
كلوريد الصوديوم 0.9% 1057
kompatibel
حقن Hydromorphone hydrochloride 0.016 mg/ml
حقن Verapamil hydrochloride 0.08 mg/ml
الجلوكوز %5 1057
kompatibel
حقن Hydromorphone hydrochloride 0.5 mg/ml
حقن Vinorelbine tartrate 1 mg/ml
كلوريد الصوديوم 0.9% 84

  Mentions Légales