Última actualização :
27/04/2026
Antálgico   Hydromorphone hydrochloride  
injetável
Estabilidade em soluções simples Estabilidade em misturas Factores que afectam a sua estabilidade Compatibilidade Método de administração Bibliografía pdf
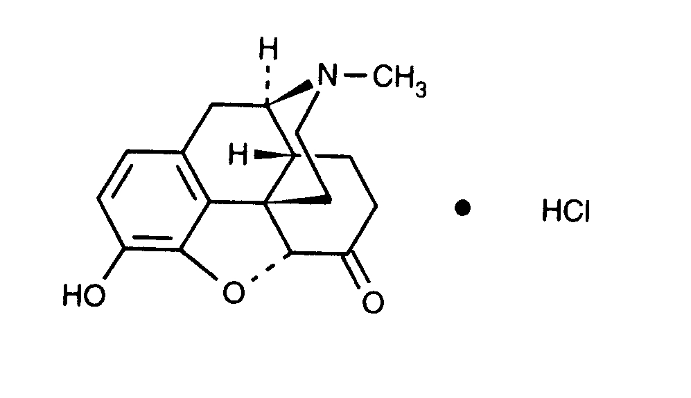
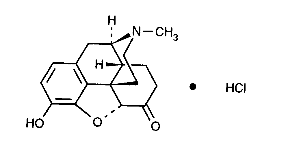
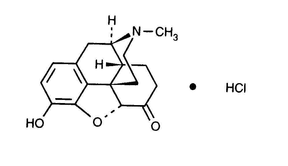
   estrutura química  

Nomes comerciais nos diversos países   Nomes comerciais nos diversos países     

OS NOMES COMERCIAIS SÃO INDICATIVOS E OS EXCIPIENTES DA FORMULAÇÃO PODEM SER DIFERENTES CONFORME O PAÍS E FABRICANTE.

Dilaudid Canadá, Estados Unidos de América
Hydal Austria
Palladon Dinamarca, Suicia
Palladone Gran-bretanha
Compatibilidade   injetável   Compatibilidade : Hydromorphone hydrochloride              
Este ecrã indica as compatibilidades ou incompatibilidades com, neste caso, o tipo de incompatibilidade (precipitação, mudança de cor, modificação de uma emulsão, etc.). As compatibilidades mostradas aqui são principalmente físicas, com a estabilidade química de cada molécula raramente sendo avaliada. A avaliação dessas misturas foi estudada para considerar a possibilidade de administração do local Y ao paciente. Estes dados não podem ser usados para fazer misturas antecipadamente em sacos ou seringas. Este tipo de informação está disponível na tela “Estabilidade na mistura».
molécula Solvente Bibliografia
Compatível
injetável Hydromorphone hydrochloride 0.04 mg/ml
injetável Aciclovir sodium 5 mg/ml
Glucose 5% 336
Compatível
injetável Hydromorphone hydrochloride 0.5 mg/ml
injetável Allopurinol sodium 3 mg/ml
cloreto de sódio 0,9% 307
Compatível
injetável Hydromorphone hydrochloride 0.5 mg/ml
injetável Amifostine 10 mg/ml
Glucose 5% 3
Compatível
injetável Hydromorphone hydrochloride 0.2 mg/ml
injetável Amikacin sulfate 5 mg/ml
Glucose 5% 405
Compatível
injetável Hydromorphone hydrochloride 10 mg/ml
injetável Amoxicillin sodium / clavulanic acid 100/10 mg/ml
3824
Compatível
injetável Hydromorphone hydrochloride 2 >> 40 mg/ml
injetável Ampicillin sodium 20 & 250 mg/ml
Glucose 5% 226
Compatível
injetável Hydromorphone hydrochloride 0.5 mg/ml
injetável Amsacrine 1 mg/ml
Glucose 5% 253
Compatível
injetável Hydromorphone hydrochloride 0.5 mg/ml
injetável Anidulafungin 0.5 mg/ml
Glucose 5% 1982
Compatível
injetável Hydromorphone hydrochloride 0.5 mg/ml
injetável Aztreonam 40 mg/ml
Glucose 5% 99
Compatível
injetável Hydromorphone hydrochloride 0.5 mg/ml
injetável Bivalirudin 5 mg/ml
Glucose 5% 1713
Instabilidade imediata da emulsão Incompatível
injetável Hydromorphone hydrochloride 0.5 mg/ml
Nutrição parenteral (com lípidos) 1415
Compatível
injetável Hydromorphone hydrochloride 10 mg/ml
Ringer lactato 4603
Perda de turbidez Incompatível
injetável Hydromorphone hydrochloride 0.5 mg/ml
injetável Amphotericin B cholesteryl sulfate complex 0.83 mg/ml
Glucose 5% 921
Compatível
injetável Hydromorphone hydrochloride 0.2 mg/ml
injetável Ampicillin sodium 20 mg/ml
Glucose 5% 405
Compatível
injetável Hydromorphone hydrochloride 0.5 mg/ml
injetável Atropine sulfate 0.4 mg/ml
Glucose 5% 1974
Compatível
injetável Hydromorphone hydrochloride 0,02 & 0,1 mg/ml
injetável Bupivacaine hydrochloride 0,625 & 1,25 mg/ml
cloreto de sódio 0,9% 306
Compatível
injetável Hydromorphone hydrochloride
Glucose 5% 5073
Compatível
injetável Hydromorphone hydrochloride 0,02 & 0,04 mg/ml
injetável Bupivacaine hydrochloride 2,5 mg/ml
cloreto de sódio 0,9% 1931
Compatível
injetável Hydromorphone hydrochloride 15 mg/ml
injetável Bupivacaine hydrochloride 10 mg/ml
nenhum 4200
Compatível
injetável Hydromorphone hydrochloride 2,5 mg/ml
Nutrição parenteral (com lípidos) 4507
Compatível
injetável Hydromorphone hydrochloride 25 mg/ml
injetável Bupivacaine hydrochloride 20 mg/ml
cloreto de sódio 0,9% 3131
Compatível
injetável Hydromorphone hydrochloride 65 mg/ml
injetável Bupivacaine hydrochloride 7,5 mg/ml
nenhum 221
Compatível
injetável Hydromorphone hydrochloride 50 mg/ml
injetável Caffeine 10 mg/ml
nenhum 3964
Compatível
injetável Hydromorphone hydrochloride 1 mg/ml
injetável Caspofungin acetate 0,7 mg/ml
cloreto de sódio 0,9% 2247
Compatível
injetável Hydromorphone hydrochloride 1 mg/ml
injetável Caspofungin acetate 0.5 mg/ml
cloreto de sódio 0,9% 2233
Compatível
injetável Hydromorphone hydrochloride 0.2 mg/ml
injetável Cefalotin sodium 20 mg/ml
Glucose 5% 405
Compatível
injetável Hydromorphone hydrochloride 0.2 mg/ml
injetável Cefamandole nafate 20 mg/ml
Glucose 5% 405
Compatível
injetável Hydromorphone hydrochloride 0.2 mg/ml
injetável Cefazolin sodium 20 mg/ml
Glucose 5% 405
Compatível
injetável Hydromorphone hydrochloride 2 >> 40 mg/ml
injetável Cefazolin sodium 20 mg/ml
Glucose 5% 226
Precipitação imediata Incompatível
injetável Hydromorphone hydrochloride 2 >> 40 mg/ml
injetável Cefazolin sodium >200 mg/ml
Glucose 5% 226
Compatível
injetável Hydromorphone hydrochloride 1 mg/ml
injetável Cefiderocol sulfate tosylate 20 mg/mL
cloreto de sódio 0,9% 4528
Compatível
injetável Hydromorphone hydrochloride 1 mg/ml
injetável Cefiderocol sulfate tosylate 20 mg/mL
Glucose 5% 4528
Compatível
injetável Hydromorphone hydrochloride 0.2 mg/ml
injetável Cefmetazole sodium 100 mg/ml
Agua para injectaveis 93
Compatível
injetável Hydromorphone hydrochloride 0.2 mg/ml
injetável Cefoperazone sodium 20 mg/ml
Glucose 5% 405
Compatível
injetável Hydromorphone hydrochloride 0.2 mg/ml
injetável Ceforanide 20 mg/ml
Glucose 5% 405
Compatível
injetável Hydromorphone hydrochloride 0.2 mg/ml
injetável Cefotaxime sodium 20 mg/ml
Glucose 5% 405
Compatível
injetável Hydromorphone hydrochloride 0.2 mg/ml
injetável Cefoxitin sodium 20 mg/ml
Glucose 5% 405
Compatível
injetável Hydromorphone hydrochloride 0,5 mg/ml
injetável Ceftaroline fosamil 2,22 mg/ml
Ringer lactato 3249
Compatível
injetável Hydromorphone hydrochloride 0,5 mg/ml
injetável Ceftaroline fosamil 2,22 mg/ml
Glucose 5% 3249
Compatível
injetável Hydromorphone hydrochloride 0,5 mg/ml
injetável Ceftaroline fosamil 2,22 mg/ml
cloreto de sódio 0,9% 3249
Compatível
injetável Hydromorphone hydrochloride 2 >> 40 mg/ml
injetável Ceftazidime 40 & 180 mg/ml
Glucose 5% 226
Compatível
injetável Hydromorphone hydrochloride 0.2 mg/ml
injetável Ceftizoxime sodium 20 mg/ml
Glucose 5% 405
Precipitação imediata Incompatível
injetável Hydromorphone hydrochloride 1 mg/ml
injetável Ceftobiprole medocaril sodium 2 mg/ml
cloreto de sódio 0,9% 2269
Precipitação imediata Incompatível
injetável Hydromorphone hydrochloride 1 mg/ml
injetável Ceftobiprole medocaril sodium 2 mg/ml
Ringer lactato 2269
Incompatibilidade não especificada Incompatível
injetável Hydromorphone hydrochloride
injetável Ceftobiprole medocaril sodium
4650
Precipitação imediata Incompatível
injetável Hydromorphone hydrochloride 1 mg/ml
injetável Ceftobiprole medocaril sodium 2 mg/ml
Glucose 5% 2269
Compatível
injetável Hydromorphone hydrochloride 1 mg/ml
injetável Ceftolozane / tazobactam 10/5 mg/ml
Glucose 5% 3828
Compatível
injetável Hydromorphone hydrochloride 1 mg/ml
injetável Ceftolozane / tazobactam 10/5 mg/ml
cloreto de sódio 0,9% 3828
Compatível
injetável Hydromorphone hydrochloride 0.2 mg/ml
injetável Cefuroxime sodium 30 mg/ml
Glucose 5% 405
Compatível
injetável Hydromorphone hydrochloride 0.2 mg/ml
injetável Chloramphenicol sodium succinate 20 mg/ml
Glucose 5% 405
Compatível
injetável Hydromorphone hydrochloride 0.5 mg/ml
injetável Cisatracurium besylate 0.1 >> 5 mg/ml
Glucose 5% 299
Compatível
injetável Hydromorphone hydrochloride 0.5 mg/ml
injetável Cladribine 0.015 mg/ml
cloreto de sódio 0,9% 1496
Compatível
injetável Hydromorphone hydrochloride 0.5 mg/ml
injetável Cladribine 0.5 mg/ml
NaCl 0,9% + bacteriostático 1496
Compatível
injetável Hydromorphone hydrochloride 10 mg/ml
injetável Cloxacillin sodium 100 mg/ml
Agua para injectaveis 3012
Compatível
injetável Hydromorphone hydrochloride 0.2 mg/ml
injetável Co-trimoxazole 4/0.8 mg/ml
Glucose 5% 405
Compatível
injetável Hydromorphone hydrochloride < 10 mg/ml
injetável Dexamethasone sodium phosphate 2 >> 10 mg/ml
389
Compatível
injetável Hydromorphone hydrochloride 0.5 mg/ml
injetável Dexamethasone sodium phosphate 1 mg/ml
Glucose 5% 1974
Compatível
injetável Hydromorphone hydrochloride 1 >> 40 mg/ml
injetável Dexamethasone sodium phosphate < 2 mg/ml
389
Compatível
injetável Hydromorphone hydrochloride 0.5 mg/ml
injetável Dexmedetomidine 4 µg/ml
cloreto de sódio 0,9% 1712
Precipitação após 2 horas Incompatível
injetável Hydromorphone hydrochloride
injetável Dimenhydrinate
2087
Compatível
injetável Hydromorphone hydrochloride 0.5 mg/ml
Nutrição parenterica (mistura binária) 301
Compatível
injetável Hydromorphone hydrochloride 2 mg/ml
injetável Cimetidine hydrochloride 150 mg/ml
1438
Compatível
injetável Hydromorphone hydrochloride 0.2 mg/ml
injetável Clindamycin phosphate 12 mg/ml
Glucose 5% 405
Precipitação imediata Incompatível
injetável Hydromorphone hydrochloride 2 >> 40 mg/ml
injetável Cloxacillin sodium 40 & 250 mg/ml
Glucose 5% 226
Precipitação imediata Incompatível
injetável Hydromorphone hydrochloride
injetável Cyclizine lactate
5073
Compatível
injetável Hydromorphone hydrochloride
injetável Dexamethasone sodium phosphate
5073
Precipitação imediata Incompatível
injetável Hydromorphone hydrochloride > 15 mg/ml
injetável Dexamethasone sodium phosphate > 3 mg/ml
389
Compatível
injetável Hydromorphone hydrochloride 0.5 mg/ml
injetável Diazepam 0.5 mg/ml
Glucose 5% 1974
Precipitação imediata Incompatível
injetável Hydromorphone hydrochloride 2 >> 40 mg/ml
injetável Diazepam 5 mg/ml
Glucose 5% 226
Compatível
injetável Hydromorphone hydrochloride 1 mg/ml
injetável Diltiazem hydrochloride 1 mg/ml
314
Compatível
injetável Hydromorphone hydrochloride 2 >> 40 mg/ml
injetável Dimenhydrinate 50 mg/ml
nenhum 1497
Compatível
injetável Hydromorphone hydrochloride 0.5 mg/ml
injetável Diphenhydramine hydrochloride 2 mg/ml
Glucose 5% 1974
Compatível
injetável Hydromorphone hydrochloride 1 mg/ml
injetável Dobutamine hydrochloride 4 mg/ml
314
Compatível
injetável Hydromorphone hydrochloride 0.5 mg/ml
injetável Docetaxel 0.9 mg/ml
Glucose 5% 1754
Compatível
injetável Hydromorphone hydrochloride 1 mg/ml
injetável Dopamine hydrochloride 3.2 mg/ml
314
Compatível
injetável Hydromorphone hydrochloride 1 mg/ml
injetável Doripenem 5 mg/ml
Glucose 5% 2262
Compatível
injetável Hydromorphone hydrochloride 1 mg/ml
injetável Doripenem 5 mg/ml
cloreto de sódio 0,9% 2262
Compatível
injetável Hydromorphone hydrochloride 0.5 mg/ml
injetável Doxorubicin hydrochloride liposome peg 0.4 mg/ml
Glucose 5% 251
Compatível
injetável Hydromorphone hydrochloride 0.2 mg/ml
injetável Doxycycline hyclate 1 mg/ml
Glucose 5% 405
Compatível
injetável Hydromorphone hydrochloride 1 mg/ml
injetável Epinephrine hydrochloride 20 µg/ml
314
Compatível
injetável Hydromorphone hydrochloride 1 mg/ml
injetável Eravacycline 0,6 mg/ml
cloreto de sódio 0,9% 4434
Compatível
injetável Hydromorphone hydrochloride 0.2 mg/ml
injetável Erythromycin lactobionate 5 mg/ml
Glucose 5% 405
Compatível
injetável Hydromorphone hydrochloride 0.5 mg/ml
injetável Etoposide phosphate 5 mg/ml
Glucose 5% 1410
Compatível
injetável Hydromorphone hydrochloride 0.5 mg/ml
injetável Famotidine 2 mg/ml
cloreto de sódio 0,9% 215
Compatível
injetável Hydromorphone hydrochloride 0.5 mg/ml
injetável Fenoldopam mesylate 80 µg/ml
cloreto de sódio 0,9% 1803
Compatível
injetável Hydromorphone hydrochloride 1 mg/ml
injetável Fentanyl citrate 50 µg/ml
314
Compatível
injetável Hydromorphone hydrochloride 0.5 mg/ml
injetável Filgrastim 30 µg/ml
Glucose 5% 244
Compatível
injetável Hydromorphone hydrochloride 0.5 mg/ml
injetável Fludarabine phosphate 1 mg/ml
Glucose 5% 492
Compatível
injetável Hydromorphone hydrochloride 0.5 mg/ml
injetável Fluorouracil 1 & 16 mg/ml
Glucose 5% 513
Compatível
injetável Hydromorphone hydrochloride 0.5 mg/ml
injetável Fluorouracil 1 & 16 mg/ml
cloreto de sódio 0,9% 513
Compatível
injetável Hydromorphone hydrochloride 10 mg/ml
injetável Foscarnet sodium 24 mg/ml
nenhum 73
Compatível
injetável Hydromorphone hydrochloride 1 mg/ml
injetável Fosfomycin 30 mg/ml
Glucose 5% 4055
Compatível
injetável Hydromorphone hydrochloride 1 mg/ml
injetável Fosfomycin 30 mg/ml
cloreto de sódio 0,9% 4055
Compatível
injetável Hydromorphone hydrochloride 1 mg/ml
injetável Furosemide 10 mg/ml
314
Turbidez em 24 horas Incompatível
injetável Hydromorphone hydrochloride 4 mg/ml
injetável Gallium nitrate 1 mg/ml
cloreto de sódio 0,9% 91
Compatível
injetável Hydromorphone hydrochloride 0.5 mg/ml
injetável Gemcitabine hydrochloride 10 mg/ml
cloreto de sódio 0,9% 1423
Compatível
injetável Hydromorphone hydrochloride 0.2 mg/ml
injetável Gentamicin sulfate 0.8 mg/ml
Glucose 5% 405
Compatível
injetável Hydromorphone hydrochloride
injetável Glycopyrronium bromide
5073
Compatível
injetável Hydromorphone hydrochloride 0.5 mg/ml
injetável Granisetron hydrochloride 0.056 mg/ml
cloreto de sódio 0,9% 6
Compatível
injetável Hydromorphone hydrochloride 0.5 mg/ml
injetável Granisetron hydrochloride 1 mg/ml
cloreto de sódio 0,9% 57
Compatível
injetável Hydromorphone hydrochloride 0.5 mg/ml
injetável Granisetron hydrochloride 0.05 mg/ml
Glucose 5% 182
Compatível
injetável Hydromorphone hydrochloride 10 mg/ml
injetável Haloperidol lactate 1 mg/ml
nenhum 216
Compatível
injetável Hydromorphone hydrochloride 10 mg/ml
injetável Haloperidol lactate 5 mg/ml
nenhum 216
Compatível
injetável Hydromorphone hydrochloride 1 mg/ml
injetável Haloperidol lactate 5 mg/ml
nenhum 216
Compatível
injetável Hydromorphone hydrochloride 1 mg/ml
injetável Haloperidol lactate 2 mg/ml
nenhum 216
Compatível
injetável Hydromorphone hydrochloride 1 mg/ml
injetável Haloperidol lactate 1 mg/ml
nenhum 216
Compatível
injetável Hydromorphone hydrochloride 0.5 mg/ml
injetável Haloperidol lactate 0.2 mg/ml
Glucose 5% 1974
Compatível
injetável Hydromorphone hydrochloride
injetável Haloperidol lactate
5073
Compatível
injetável Hydromorphone hydrochloride 10 mg/ml
injetável Haloperidol lactate 2 mg/ml
nenhum 216
Compatível
injetável Hydromorphone hydrochloride <12.5 mg/ml
injetável Heparin sodium
Agua para injectaveis 66
Compatível
injetável Hydromorphone hydrochloride <12.5 mg/ml
injetável Heparin sodium
cloreto de sódio 0,9% 66
Compatível
injetável Hydromorphone hydrochloride 1 mg/ml
injetável Heparin sodium 100 UI/ml
314
Precipitação imediata Incompatível
injetável Hydromorphone hydrochloride >25 mg/ml
injetável Heparin sodium <12,5 UI/ml
Agua para injectaveis 66
Precipitação imediata Incompatível
injetável Hydromorphone hydrochloride >10 mg/ml
injetável Heparin sodium <1 UI/ml
Agua para injectaveis 66
Precipitação imediata Incompatível
injetável Hydromorphone hydrochloride >25 mg/ml
injetável Heparin sodium <12,5 UI/ml
cloreto de sódio 0,9% 66
Compatível
injetável Hydromorphone hydrochloride 0.5 mg/ml
injetável Hetastarch 60 mg/ml
solvente específico 1721
Instabilidade química Incompatível
injetável Hydromorphone hydrochloride 2 >> 40 mg/ml
injetável Hyaluronidase 150 UI/ml
Glucose 5% 9
Compatível
injetável Hydromorphone hydrochloride
injetável Hyaluronidase
3184
Instabilidade química Incompatível
injetável Hydromorphone hydrochloride 2 >> 40 mg/ml
injetável Hyaluronidase 150 UI/ml
cloreto de sódio 0,9% 9
Compatível
injetável Hydromorphone hydrochloride 0.5 mg/ml
injetável Hydroxyzine dihydrochloride 4 mg/ml
Glucose 5% 1974
Compatível
injetável Hydromorphone hydrochloride 1 mg/ml
injetável Isavuconazonium sulfate 1.5 mg/ml
cloreto de sódio 0,9% 3829
Compatível
injetável Hydromorphone hydrochloride 1 mg/ml
injetável Isavuconazonium sulfate 1.5 mg/ml
Glucose 5% 3829
Compatível
injetável Hydromorphone hydrochloride 0.2 mg/ml
injetável Kanamycin sulfate 2.5 mg/ml
Glucose 5% 405
Compatível
injetável Hydromorphone hydrochloride
injetável Ketamine hydrochloride
5073
Compatível
injetável Hydromorphone hydrochloride 0.2 mg/ml
injetável Ketamine hydrochloride 0.2 >> 1 mg/ml
cloreto de sódio 0,9% 2336
Compatível
injetável Hydromorphone hydrochloride 0.5 mg/ml
injetável Ketorolac tromethamine 1 mg/ml
Glucose 5% 1974
Compatível
injetável Hydromorphone hydrochloride 10 mg/ml
injetável Ketorolac tromethamine 15 mg/ml
nenhum 216
Compatível
injetável Hydromorphone hydrochloride 1 mg/ml
injetável Ketorolac tromethamine 30 mg/ml
nenhum 216
Compatível
injetável Hydromorphone hydrochloride 1 mg/ml
injetável Ketorolac tromethamine 15 mg/ml
nenhum 216
Precipitação imediata Incompatível
injetável Hydromorphone hydrochloride 10 mg/ml
injetável Ketorolac tromethamine 30 mg/ml
nenhum 216
Compatível
injetável Hydromorphone hydrochloride 1 mg/ml
injetável Labetalol hydrochloride 2 mg/ml
314
Precipitação após 1 hora Incompatível
injetável Hydromorphone hydrochloride 0.5 mg/ml
injetável Lansoprazole 0.55 mg/ml
cloreto de sódio 0,9% 1625
Compatível
injetável Hydromorphone hydrochloride 2 mg/ml
injetável Levofloxacine 5 mg/ml
nenhum 2335
Compatível
injetável Hydromorphone hydrochloride
injetável Levomepromazine
5073
Compatível
injetável Hydromorphone hydrochloride 10 mg/ml
injetável Levosimendan 2,5 mg/ml
4389
Compatível
injetável Hydromorphone hydrochloride 0.5 mg/ml
injetável Linezolid 2 mg/ml
nenhum 1925
Compatível
injetável Hydromorphone hydrochloride 0.5 mg/ml
injetável Lorazepam 0.1 mg/ml
Glucose 5% 1974
Compatível
injetável Hydromorphone hydrochloride 2 >> 40 mg/ml
injetável Lorazepam 4 mg/ml
nenhum 1497
Compatível
injetável Hydromorphone hydrochloride 1 mg/ml
injetável Lorazepam 0.5 mg/ml
314
Compatível
injetável Hydromorphone hydrochloride 2 mg/ml
injetável Magnesium sulfate 16,67 >> 100 mg/ml
Glucose 5% 517
Compatível
injetável Hydromorphone hydrochloride 0.5 mg/ml
injetável Melphalan 0.1 mg/ml
cloreto de sódio 0,9% 169
Compatível
injetável Hydromorphone hydrochloride 10 mg/ml
injetável Meropenem 50 mg/ml
Agua para injectaveis 4319
Instabilidade química Incompatível
injetável Hydromorphone hydrochloride
injetável Metamizol sodium
2364
Compatível
injetável Hydromorphone hydrochloride
injetável Metoclopramide hydrochloride
5073
Compatível
injetável Hydromorphone hydrochloride 0.5 mg/ml
injetável Metoclopramide hydrochloride 5 mg/ml
Glucose 5% 1974
Compatível
injetável Hydromorphone hydrochloride 0.2 mg/ml
injetável Metronidazole 5 mg/ml
Glucose 5% 405
Compatível
injetável Hydromorphone hydrochloride 0.5 mg/ml
injetável Micafungin 1.5 mg/ml
cloreto de sódio 0,9% 2108
Compatível
injetável Hydromorphone hydrochloride
injetável Midazolam hydrochloride
5073
Compatível
injetável Hydromorphone hydrochloride 0.5 mg/ml
injetável Midazolam hydrochloride 0.2 mg/ml
Glucose 5% 1974
Compatível
injetável Hydromorphone hydrochloride 0.5 >> 45 mg/ml
injetável Midazolam hydrochloride 0.1 >> 4.5 mg/ml
Glucose 5% 345
Compatível
injetável Hydromorphone hydrochloride 1 mg/ml
injetável Midazolam hydrochloride 2 mg/ml
314
Compatível
injetável Hydromorphone hydrochloride 0.5 >> 45 mg/ml
injetável Midazolam hydrochloride 0.1 >> 4.5 mg/ml
cloreto de sódio 0,9% 345
Compatível
injetável Hydromorphone hydrochloride 1 mg/ml
injetável Milrinone lactate 0.2 mg/ml
314
Mudança de cor após 1 hora Incompatível
injetável Hydromorphone hydrochloride 0.2 mg/ml
injetável Minocycline hydrochloride 0.2 mg/ml
Glucose 5% 405
Compatível
injetável Hydromorphone hydrochloride 1 mg/ml
injetável Morphine sulfate 2 mg/ml
314
Compatível
injetável Hydromorphone hydrochloride 0.2 mg/ml
injetável Moxalactam 20 mg/ml
Glucose 5% 405
Compatível
injetável Hydromorphone hydrochloride 0.2 mg/ml
injetável Nafcillin sodium 20 mg/ml
Glucose 5% 405
Compatível
injetável Hydromorphone hydrochloride 10 mg/ml
injetável Naloxone hydrochloride 0.4 mg/ml
nenhum 3408
Compatível
injetável Hydromorphone hydrochloride 1 mg/ml
injetável Nicardipine hydrochloride 1 mg/ml
314
Compatível
injetável Hydromorphone hydrochloride 1 mg/ml
injetável Nitroglycerin 0.4 mg/ml
314
Compatível
injetável Hydromorphone hydrochloride 1 mg/ml
injetável Norepinephrine bitartrate 0.128 mg/ml
314
Compatível
injetável Hydromorphone hydrochloride 0,5 mg/ml
injetável Ondansetron hydrochloride 0,1 & 1 mg/ml
cloreto de sódio 0,9% 6
Compatível
injetável Hydromorphone hydrochloride 0.5 mg/ml
injetável Ondansetron hydrochloride 1 mg/ml
cloreto de sódio 0,9% 334
Compatível
injetável Hydromorphone hydrochloride 0.2 mg/ml
injetável Oxacillin sodium 20 mg/ml
Glucose 5% 405
Compatível
injetável Hydromorphone hydrochloride 0,5 mg/ml
injetável Oxaliplatin 0,5 mg/ml
Glucose 5% 1662
Compatível
injetável Hydromorphone hydrochloride 0.5 mg/ml
injetável Paclitaxel 1.2 mg/ml
Glucose 5% 248
Compatível
injetável Hydromorphone hydrochloride 0.5 mg/ml
injetável Palonosetron hydrochloride 50 µg/ml
Glucose 5% 2196
Precipitação após 4 horas Incompatível
injetável Hydromorphone hydrochloride
injetável Pantoprazole sodium
2090
Compatível
injetável Hydromorphone hydrochloride 10 mg/ml
injetável Paracetamol 10 mg/ml
4742
Compatível
injetável Hydromorphone hydrochloride 2 mg/ml
injetável Paracetamol 10 mg/ml
nenhum 3571
Incompatibilidade não especificada Incompatível
injetável Hydromorphone hydrochloride
injetável Parecoxib sodium
3504
Compatível
injetável Hydromorphone hydrochloride 0.5 mg/ml
injetável Pemetrexed disodium 20 mg/ml
cloreto de sódio 0,9% 1953
Compatível
injetável Hydromorphone hydrochloride 0.2 mg/ml
injetável Penicillin G potassium 0.1 MUI/ml
Glucose 5% 405
Precipitação imediata Incompatível
injetável Hydromorphone hydrochloride 2 >> 40 mg/ml
injetável Phenobarbital sodium 120 mg/ml
Glucose 5% 226
Compatível
injetável Hydromorphone hydrochloride 0.5 mg/ml
injetável Phenobarbital sodium 2 mg/ml
Glucose 5% 1974
Precipitação imediata Incompatível
injetável Hydromorphone hydrochloride 2 >> 40 mg/ml
injetável Phenytoin sodium 50 mg/ml
Glucose 5% 226
Precipitação após 1 hora Incompatível
injetável Hydromorphone hydrochloride 0.5 mg/ml
injetável Phenytoin sodium 2 mg/ml
Glucose 5% 1974
Compatível
injetável Hydromorphone hydrochloride 0.2 mg/ml
injetável Piperacillin sodium 60 mg/ml
Glucose 5% 405
Compatível
injetável Hydromorphone hydrochloride 0.5 mg/ml
injetável Piperacillin sodium / tazobactam 40/5 mg/ml
Glucose 5% 81
Compatível
injetável Hydromorphone hydrochloride 1 mg/ml
injetável Plazomicin sulfate 24 mg/ml
cloreto de sódio 0,9% 4145
Compatível
injetável Hydromorphone hydrochloride
injetável Posaconazole
4380
Compatível
injetável Hydromorphone hydrochloride 25 mg/ml
injetável Potassium chloride 1000 mEq/l
Agua para injectaveis 66
Compatível
injetável Hydromorphone hydrochloride 5 >> 20 mg/ml
injetável Potassium chloride 500 & 1000 mEq/l
Glucose 5% 66
Compatível
injetável Hydromorphone hydrochloride 2 >> 40 mg/ml
injetável Prochlorperazine edysilate 5 mg/ml
nenhum 1497
Compatível
injetável Hydromorphone hydrochloride 0,5 mg/ml
injetável Prochlorperazine edysilate 1,5 mg/ml
cloreto de sódio 0,9% 767
Compatível
injetável Hydromorphone hydrochloride 1 mg/ml
injetável Promethazine hydrochloride 0.3 mg/ml
cloreto de sódio 0,9% 795
Compatível
injetável Hydromorphone hydrochloride 0.5 mg/ml
injetável Propofol 10 mg/ml
nenhum 300
Compatível
injetável Hydromorphone hydrochloride 1 mg/ml
injetável Ranitidine hydrochloride 1 mg/ml
314
Compatível
injetável Hydromorphone hydrochloride 2 mg/ml
injetável Ranitidine hydrochloride 25 mg/ml
nenhum 58
Compatível
injetável Hydromorphone hydrochloride 1 mg/ml
injetável Remdesivir 1 mg/ml
cloreto de sódio 0,9% 4768
Compatível
injetável Hydromorphone hydrochloride 10 mg/ml
injetável Salbutamol sulfate 1 mg/ml
nenhum 3216
Precipitação após 30 minutos Incompatível
injetável Hydromorphone hydrochloride 0.5 mg/ml
injetável Sargramostim 10 µg/ml
cloreto de sódio 0,9% 335
Compatível
injetável Hydromorphone hydrochloride 0.5 mg/ml
injetável Scopolamine hydrobromide 0.05 mg/ml
Glucose 5% 1974
Compatível
injetável Hydromorphone hydrochloride
injetável Scopolamine hydrobromide
5073
Compatível
injetável Hydromorphone hydrochloride 0,1 & 1 mg/ml
injetável Tacrolimus 5 & 20 µg/ml
Glucose 5% 814
Compatível
injetável Hydromorphone hydrochloride 1 mg/ml
injetável Tedizolid phosphate 0.8 mg/ml
cloreto de sódio 0,9% 3827
Compatível
injetável Hydromorphone hydrochloride 0.5 mg/ml
injetável Teniposide 0.1 mg/ml
Glucose 5% 905
Precipitação imediata Incompatível
injetável Hydromorphone hydrochloride 10 mg/ml
injetável Thiopental sodium 25 mg/ml
cloreto de sódio 0,9% 3767
Precipitação após 4 horas Incompatível
injetável Hydromorphone hydrochloride 1 mg/ml
injetável Thiopental sodium 25 mg/ml
314
Compatível
injetável Hydromorphone hydrochloride 0.5 mg/ml
injetável Thiotepa 1 mg/ml
Glucose 5% 249
Compatível
injetável Hydromorphone hydrochloride
cloreto de sódio 0,9% 5073
Compatível
injetável Hydromorphone hydrochloride
injetável Scopolamine N-butyl bromide
5073
Compatível
injetável Hydromorphone hydrochloride 1 mg/ml
injetável Sulbactam/durlobactam 15/15 mg/ml
cloreto de sódio 0,9% 4801
Compatível
injetável Hydromorphone hydrochloride 0.2 mg/ml
injetável Tobramycin sulfate 0.8 mg/ml
Glucose 5% 405
Compatível
injetável Hydromorphone hydrochloride 0.2 mg/ml
injetável Vancomycin hydrochloride 5 mg/ml
Glucose 5% 405
Compatível
injetável Hydromorphone hydrochloride 2 mg/ml
injetável Vancomycin hydrochloride 4 mg/ml
cloreto de sódio 0,9% 2335
Compatível
injetável Hydromorphone hydrochloride 1 mg/ml
injetável Vecuronium bromide 1 mg/ml
314
Compatível
injetável Hydromorphone hydrochloride 0.016 mg/ml
injetável Verapamil hydrochloride 0.08 mg/ml
cloreto de sódio 0,9% 1057
Compatível
injetável Hydromorphone hydrochloride 0.016 mg/ml
injetável Verapamil hydrochloride 0.08 mg/ml
Glucose 5% 1057
Compatível
injetável Hydromorphone hydrochloride 0.5 mg/ml
injetável Vinorelbine tartrate 1 mg/ml
cloreto de sódio 0,9% 84

  Mentions Légales