Pēdējā atjaunošana :
27/04/2026
Analgētiķis   Hydromorphone hydrochloride  
Injekcija
Šķīduma stabilitāte Maisījuma stabilitāte Stabilitāti ietekmējoši faktori Saderība Levadīšanas veids Literatūras saraksts pdf
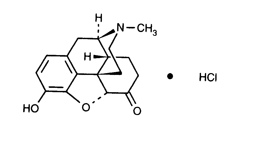
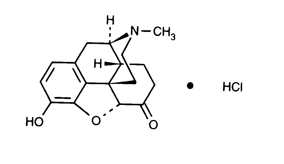
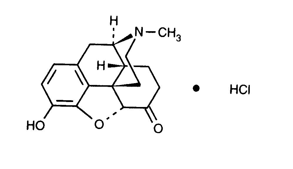
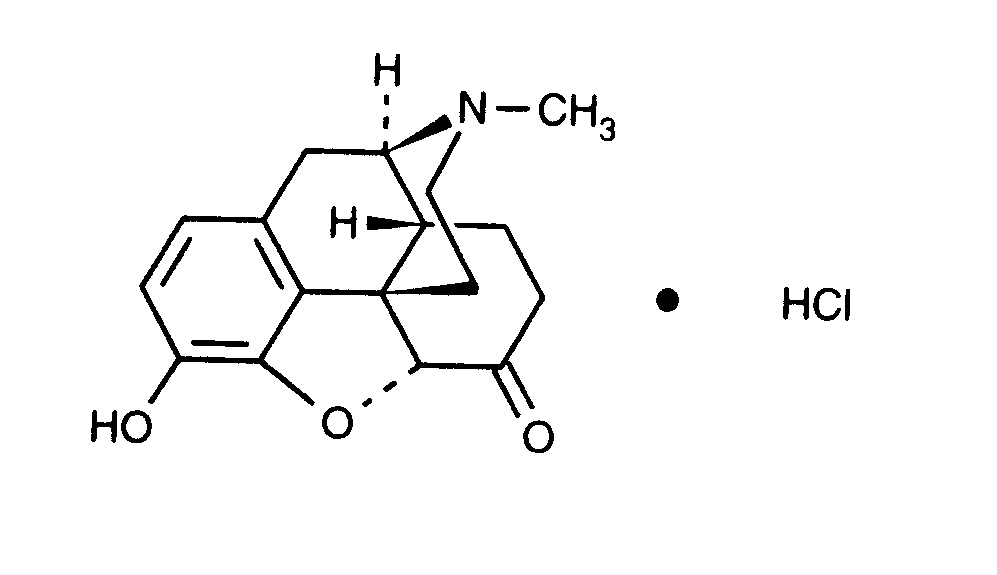
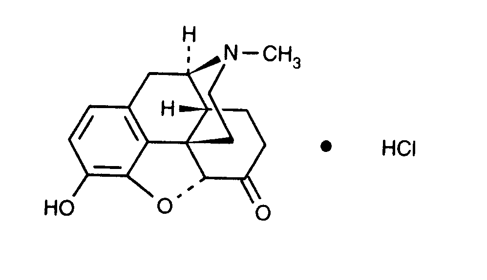
   Ķīmiskā uzbūve   

Oriģinālais nosaukums   Oriģinālais nosaukums     

Tirdzniecības nosaukumi ir apzīmējoši un palīgvielas var atšķirties dažādām valstīm un laboratorijām

Dilaudid Amerikas Savienotās Valstis, Kanāda
Hydal Austrija
Palladon Dānija, Šveice
Palladone Lielbritānija
Saderība   Injekcija   Saderība : Hydromorphone hydrochloride              
Šī tabula parāda zāļu saderību vai nesaderību, pēc iespējas arī nesaderības tipu (precipitācija, krāsas maiņa, emulsijas sadalīšanās utt). Parādītas šeit saderības ir pārsvarā tikai fizikālās, pēc iespējas tiek parādīta ķīmiskā stabilitāte katrai molekulai. Šo maisījumu analīze tikai veikta, lai izprastu iespējamību ievadīt zāles Y-savienojuma vietā sistēmā pacientam. Šie dati nevar tikt izmantoti, lai pagatavot zāļu maisījumus vēlākai lietošanai maisos vai šļircēs. Šī informācija ir pieejama sadaļā "Maisījuma stabilitāte".
Savienojums Šķīdinātājs Literatūras saraksts
Savietojams
Injekcija Hydromorphone hydrochloride 0.04 mg/ml
Injekcija Aciclovir sodium 5 mg/ml
5% glikoze 336
Savietojams
Injekcija Hydromorphone hydrochloride 0.5 mg/ml
Injekcija Allopurinol sodium 3 mg/ml
Nātrija hlorīds 0.9% 307
Savietojams
Injekcija Hydromorphone hydrochloride 0.5 mg/ml
Injekcija Amifostine 10 mg/ml
5% glikoze 3
Savietojams
Injekcija Hydromorphone hydrochloride 0.2 mg/ml
Injekcija Amikacin sulfate 5 mg/ml
5% glikoze 405
Savietojams
Injekcija Hydromorphone hydrochloride 10 mg/ml
Injekcija Amoxicillin sodium / clavulanic acid 100/10 mg/ml
3824
Savietojams
Injekcija Hydromorphone hydrochloride 2 >> 40 mg/ml
Injekcija Ampicillin sodium 20 & 250 mg/ml
5% glikoze 226
Savietojams
Injekcija Hydromorphone hydrochloride 0.5 mg/ml
Injekcija Amsacrine 1 mg/ml
5% glikoze 253
Savietojams
Injekcija Hydromorphone hydrochloride 0.5 mg/ml
Injekcija Anidulafungin 0.5 mg/ml
5% glikoze 1982
Savietojams
Injekcija Hydromorphone hydrochloride 0.5 mg/ml
Injekcija Aztreonam 40 mg/ml
5% glikoze 99
Savietojams
Injekcija Hydromorphone hydrochloride 0.5 mg/ml
Injekcija Bivalirudin 5 mg/ml
5% glikoze 1713
Tūlītēja emulsijas nestabilitāte Nesavienojams
Injekcija Hydromorphone hydrochloride 0.5 mg/ml
Parenterāla barošana (ar lipīdiem) 1415
Savietojams
Injekcija Hydromorphone hydrochloride 10 mg/ml
Ringera laktāta šķīdums 4603
Duļķainības zudums Nesavienojams
Injekcija Hydromorphone hydrochloride 0.5 mg/ml
Injekcija Amphotericin B cholesteryl sulfate complex 0.83 mg/ml
5% glikoze 921
Savietojams
Injekcija Hydromorphone hydrochloride 0.2 mg/ml
Injekcija Ampicillin sodium 20 mg/ml
5% glikoze 405
Savietojams
Injekcija Hydromorphone hydrochloride 0.5 mg/ml
Injekcija Atropine sulfate 0.4 mg/ml
5% glikoze 1974
Savietojams
Injekcija Hydromorphone hydrochloride 0,02 & 0,1 mg/ml
Injekcija Bupivacaine hydrochloride 0,625 & 1,25 mg/ml
Nātrija hlorīds 0.9% 306
Savietojams
Injekcija Hydromorphone hydrochloride
5% glikoze 5073
Savietojams
Injekcija Hydromorphone hydrochloride 0,02 & 0,04 mg/ml
Injekcija Bupivacaine hydrochloride 2,5 mg/ml
Nātrija hlorīds 0.9% 1931
Savietojams
Injekcija Hydromorphone hydrochloride 15 mg/ml
Injekcija Bupivacaine hydrochloride 10 mg/ml
Nekāds 4200
Savietojams
Injekcija Hydromorphone hydrochloride 2,5 mg/ml
Parenterāla barošana (ar lipīdiem) 4507
Savietojams
Injekcija Hydromorphone hydrochloride 25 mg/ml
Injekcija Bupivacaine hydrochloride 20 mg/ml
Nātrija hlorīds 0.9% 3131
Savietojams
Injekcija Hydromorphone hydrochloride 65 mg/ml
Injekcija Bupivacaine hydrochloride 7,5 mg/ml
Nekāds 221
Savietojams
Injekcija Hydromorphone hydrochloride 50 mg/ml
Injekcija Caffeine 10 mg/ml
Nekāds 3964
Savietojams
Injekcija Hydromorphone hydrochloride 1 mg/ml
Injekcija Caspofungin acetate 0,7 mg/ml
Nātrija hlorīds 0.9% 2247
Savietojams
Injekcija Hydromorphone hydrochloride 1 mg/ml
Injekcija Caspofungin acetate 0.5 mg/ml
Nātrija hlorīds 0.9% 2233
Savietojams
Injekcija Hydromorphone hydrochloride 0.2 mg/ml
Injekcija Cefalotin sodium 20 mg/ml
5% glikoze 405
Savietojams
Injekcija Hydromorphone hydrochloride 0.2 mg/ml
Injekcija Cefamandole nafate 20 mg/ml
5% glikoze 405
Savietojams
Injekcija Hydromorphone hydrochloride 0.2 mg/ml
Injekcija Cefazolin sodium 20 mg/ml
5% glikoze 405
Savietojams
Injekcija Hydromorphone hydrochloride 2 >> 40 mg/ml
Injekcija Cefazolin sodium 20 mg/ml
5% glikoze 226
Tūlītēji nokrišņi Nesavienojams
Injekcija Hydromorphone hydrochloride 2 >> 40 mg/ml
Injekcija Cefazolin sodium >200 mg/ml
5% glikoze 226
Savietojams
Injekcija Hydromorphone hydrochloride 1 mg/ml
Injekcija Cefiderocol sulfate tosylate 20 mg/mL
Nātrija hlorīds 0.9% 4528
Savietojams
Injekcija Hydromorphone hydrochloride 1 mg/ml
Injekcija Cefiderocol sulfate tosylate 20 mg/mL
5% glikoze 4528
Savietojams
Injekcija Hydromorphone hydrochloride 0.2 mg/ml
Injekcija Cefmetazole sodium 100 mg/ml
Ūdens injekcijām 93
Savietojams
Injekcija Hydromorphone hydrochloride 0.2 mg/ml
Injekcija Cefoperazone sodium 20 mg/ml
5% glikoze 405
Savietojams
Injekcija Hydromorphone hydrochloride 0.2 mg/ml
Injekcija Ceforanide 20 mg/ml
5% glikoze 405
Savietojams
Injekcija Hydromorphone hydrochloride 0.2 mg/ml
Injekcija Cefotaxime sodium 20 mg/ml
5% glikoze 405
Savietojams
Injekcija Hydromorphone hydrochloride 0.2 mg/ml
Injekcija Cefoxitin sodium 20 mg/ml
5% glikoze 405
Savietojams
Injekcija Hydromorphone hydrochloride 0,5 mg/ml
Injekcija Ceftaroline fosamil 2,22 mg/ml
Ringera laktāta šķīdums 3249
Savietojams
Injekcija Hydromorphone hydrochloride 0,5 mg/ml
Injekcija Ceftaroline fosamil 2,22 mg/ml
5% glikoze 3249
Savietojams
Injekcija Hydromorphone hydrochloride 0,5 mg/ml
Injekcija Ceftaroline fosamil 2,22 mg/ml
Nātrija hlorīds 0.9% 3249
Savietojams
Injekcija Hydromorphone hydrochloride 2 >> 40 mg/ml
Injekcija Ceftazidime 40 & 180 mg/ml
5% glikoze 226
Savietojams
Injekcija Hydromorphone hydrochloride 0.2 mg/ml
Injekcija Ceftizoxime sodium 20 mg/ml
5% glikoze 405
Tūlītēji nokrišņi Nesavienojams
Injekcija Hydromorphone hydrochloride 1 mg/ml
Injekcija Ceftobiprole medocaril sodium 2 mg/ml
Nātrija hlorīds 0.9% 2269
Tūlītēji nokrišņi Nesavienojams
Injekcija Hydromorphone hydrochloride 1 mg/ml
Injekcija Ceftobiprole medocaril sodium 2 mg/ml
Ringera laktāta šķīdums 2269
Neprecizēta nesaderība Nesavienojams
Injekcija Hydromorphone hydrochloride
Injekcija Ceftobiprole medocaril sodium
4650
Tūlītēji nokrišņi Nesavienojams
Injekcija Hydromorphone hydrochloride 1 mg/ml
Injekcija Ceftobiprole medocaril sodium 2 mg/ml
5% glikoze 2269
Savietojams
Injekcija Hydromorphone hydrochloride 1 mg/ml
Injekcija Ceftolozane / tazobactam 10/5 mg/ml
5% glikoze 3828
Savietojams
Injekcija Hydromorphone hydrochloride 1 mg/ml
Injekcija Ceftolozane / tazobactam 10/5 mg/ml
Nātrija hlorīds 0.9% 3828
Savietojams
Injekcija Hydromorphone hydrochloride 0.2 mg/ml
Injekcija Cefuroxime sodium 30 mg/ml
5% glikoze 405
Savietojams
Injekcija Hydromorphone hydrochloride 0.2 mg/ml
Injekcija Chloramphenicol sodium succinate 20 mg/ml
5% glikoze 405
Savietojams
Injekcija Hydromorphone hydrochloride 0.5 mg/ml
Injekcija Cisatracurium besylate 0.1 >> 5 mg/ml
5% glikoze 299
Savietojams
Injekcija Hydromorphone hydrochloride 0.5 mg/ml
Injekcija Cladribine 0.015 mg/ml
Nātrija hlorīds 0.9% 1496
Savietojams
Injekcija Hydromorphone hydrochloride 0.5 mg/ml
Injekcija Cladribine 0.5 mg/ml
0.9% NaCl + antibakteriāls 1496
Savietojams
Injekcija Hydromorphone hydrochloride 10 mg/ml
Injekcija Cloxacillin sodium 100 mg/ml
Ūdens injekcijām 3012
Savietojams
Injekcija Hydromorphone hydrochloride 0.2 mg/ml
Injekcija Co-trimoxazole 4/0.8 mg/ml
5% glikoze 405
Savietojams
Injekcija Hydromorphone hydrochloride < 10 mg/ml
Injekcija Dexamethasone sodium phosphate 2 >> 10 mg/ml
389
Savietojams
Injekcija Hydromorphone hydrochloride 0.5 mg/ml
Injekcija Dexamethasone sodium phosphate 1 mg/ml
5% glikoze 1974
Savietojams
Injekcija Hydromorphone hydrochloride 1 >> 40 mg/ml
Injekcija Dexamethasone sodium phosphate < 2 mg/ml
389
Savietojams
Injekcija Hydromorphone hydrochloride 0.5 mg/ml
Injekcija Dexmedetomidine 4 µg/ml
Nātrija hlorīds 0.9% 1712
Nokrišņi pēc 2 stundām Nesavienojams
Injekcija Hydromorphone hydrochloride
Injekcija Dimenhydrinate
2087
Savietojams
Injekcija Hydromorphone hydrochloride 0.5 mg/ml
Parenterāla barošana (lipīdu-free) 301
Savietojams
Injekcija Hydromorphone hydrochloride 2 mg/ml
Injekcija Cimetidine hydrochloride 150 mg/ml
1438
Savietojams
Injekcija Hydromorphone hydrochloride 0.2 mg/ml
Injekcija Clindamycin phosphate 12 mg/ml
5% glikoze 405
Tūlītēji nokrišņi Nesavienojams
Injekcija Hydromorphone hydrochloride 2 >> 40 mg/ml
Injekcija Cloxacillin sodium 40 & 250 mg/ml
5% glikoze 226
Tūlītēji nokrišņi Nesavienojams
Injekcija Hydromorphone hydrochloride
Injekcija Cyclizine lactate
5073
Savietojams
Injekcija Hydromorphone hydrochloride
Injekcija Dexamethasone sodium phosphate
5073
Tūlītēji nokrišņi Nesavienojams
Injekcija Hydromorphone hydrochloride > 15 mg/ml
Injekcija Dexamethasone sodium phosphate > 3 mg/ml
389
Savietojams
Injekcija Hydromorphone hydrochloride 0.5 mg/ml
Injekcija Diazepam 0.5 mg/ml
5% glikoze 1974
Tūlītēji nokrišņi Nesavienojams
Injekcija Hydromorphone hydrochloride 2 >> 40 mg/ml
Injekcija Diazepam 5 mg/ml
5% glikoze 226
Savietojams
Injekcija Hydromorphone hydrochloride 1 mg/ml
Injekcija Diltiazem hydrochloride 1 mg/ml
314
Savietojams
Injekcija Hydromorphone hydrochloride 2 >> 40 mg/ml
Injekcija Dimenhydrinate 50 mg/ml
Nekāds 1497
Savietojams
Injekcija Hydromorphone hydrochloride 0.5 mg/ml
Injekcija Diphenhydramine hydrochloride 2 mg/ml
5% glikoze 1974
Savietojams
Injekcija Hydromorphone hydrochloride 1 mg/ml
Injekcija Dobutamine hydrochloride 4 mg/ml
314
Savietojams
Injekcija Hydromorphone hydrochloride 0.5 mg/ml
Injekcija Docetaxel 0.9 mg/ml
5% glikoze 1754
Savietojams
Injekcija Hydromorphone hydrochloride 1 mg/ml
Injekcija Dopamine hydrochloride 3.2 mg/ml
314
Savietojams
Injekcija Hydromorphone hydrochloride 1 mg/ml
Injekcija Doripenem 5 mg/ml
5% glikoze 2262
Savietojams
Injekcija Hydromorphone hydrochloride 1 mg/ml
Injekcija Doripenem 5 mg/ml
Nātrija hlorīds 0.9% 2262
Savietojams
Injekcija Hydromorphone hydrochloride 0.5 mg/ml
Injekcija Doxorubicin hydrochloride liposome peg 0.4 mg/ml
5% glikoze 251
Savietojams
Injekcija Hydromorphone hydrochloride 0.2 mg/ml
Injekcija Doxycycline hyclate 1 mg/ml
5% glikoze 405
Savietojams
Injekcija Hydromorphone hydrochloride 1 mg/ml
Injekcija Epinephrine hydrochloride 20 µg/ml
314
Savietojams
Injekcija Hydromorphone hydrochloride 1 mg/ml
Injekcija Eravacycline 0,6 mg/ml
Nātrija hlorīds 0.9% 4434
Savietojams
Injekcija Hydromorphone hydrochloride 0.2 mg/ml
Injekcija Erythromycin lactobionate 5 mg/ml
5% glikoze 405
Savietojams
Injekcija Hydromorphone hydrochloride 0.5 mg/ml
Injekcija Etoposide phosphate 5 mg/ml
5% glikoze 1410
Savietojams
Injekcija Hydromorphone hydrochloride 0.5 mg/ml
Injekcija Famotidine 2 mg/ml
Nātrija hlorīds 0.9% 215
Savietojams
Injekcija Hydromorphone hydrochloride 0.5 mg/ml
Injekcija Fenoldopam mesylate 80 µg/ml
Nātrija hlorīds 0.9% 1803
Savietojams
Injekcija Hydromorphone hydrochloride 1 mg/ml
Injekcija Fentanyl citrate 50 µg/ml
314
Savietojams
Injekcija Hydromorphone hydrochloride 0.5 mg/ml
Injekcija Filgrastim 30 µg/ml
5% glikoze 244
Savietojams
Injekcija Hydromorphone hydrochloride 0.5 mg/ml
Injekcija Fludarabine phosphate 1 mg/ml
5% glikoze 492
Savietojams
Injekcija Hydromorphone hydrochloride 0.5 mg/ml
Injekcija Fluorouracil 1 & 16 mg/ml
5% glikoze 513
Savietojams
Injekcija Hydromorphone hydrochloride 0.5 mg/ml
Injekcija Fluorouracil 1 & 16 mg/ml
Nātrija hlorīds 0.9% 513
Savietojams
Injekcija Hydromorphone hydrochloride 10 mg/ml
Injekcija Foscarnet sodium 24 mg/ml
Nekāds 73
Savietojams
Injekcija Hydromorphone hydrochloride 1 mg/ml
Injekcija Fosfomycin 30 mg/ml
5% glikoze 4055
Savietojams
Injekcija Hydromorphone hydrochloride 1 mg/ml
Injekcija Fosfomycin 30 mg/ml
Nātrija hlorīds 0.9% 4055
Savietojams
Injekcija Hydromorphone hydrochloride 1 mg/ml
Injekcija Furosemide 10 mg/ml
314
Drumstumas per 24 valandas Nesavienojams
Injekcija Hydromorphone hydrochloride 4 mg/ml
Injekcija Gallium nitrate 1 mg/ml
Nātrija hlorīds 0.9% 91
Savietojams
Injekcija Hydromorphone hydrochloride 0.5 mg/ml
Injekcija Gemcitabine hydrochloride 10 mg/ml
Nātrija hlorīds 0.9% 1423
Savietojams
Injekcija Hydromorphone hydrochloride 0.2 mg/ml
Injekcija Gentamicin sulfate 0.8 mg/ml
5% glikoze 405
Savietojams
Injekcija Hydromorphone hydrochloride
Injekcija Glycopyrronium bromide
5073
Savietojams
Injekcija Hydromorphone hydrochloride 0.5 mg/ml
Injekcija Granisetron hydrochloride 0.056 mg/ml
Nātrija hlorīds 0.9% 6
Savietojams
Injekcija Hydromorphone hydrochloride 0.5 mg/ml
Injekcija Granisetron hydrochloride 1 mg/ml
Nātrija hlorīds 0.9% 57
Savietojams
Injekcija Hydromorphone hydrochloride 0.5 mg/ml
Injekcija Granisetron hydrochloride 0.05 mg/ml
5% glikoze 182
Savietojams
Injekcija Hydromorphone hydrochloride 10 mg/ml
Injekcija Haloperidol lactate 1 mg/ml
Nekāds 216
Savietojams
Injekcija Hydromorphone hydrochloride 10 mg/ml
Injekcija Haloperidol lactate 5 mg/ml
Nekāds 216
Savietojams
Injekcija Hydromorphone hydrochloride 1 mg/ml
Injekcija Haloperidol lactate 5 mg/ml
Nekāds 216
Savietojams
Injekcija Hydromorphone hydrochloride 1 mg/ml
Injekcija Haloperidol lactate 2 mg/ml
Nekāds 216
Savietojams
Injekcija Hydromorphone hydrochloride 1 mg/ml
Injekcija Haloperidol lactate 1 mg/ml
Nekāds 216
Savietojams
Injekcija Hydromorphone hydrochloride 0.5 mg/ml
Injekcija Haloperidol lactate 0.2 mg/ml
5% glikoze 1974
Savietojams
Injekcija Hydromorphone hydrochloride
Injekcija Haloperidol lactate
5073
Savietojams
Injekcija Hydromorphone hydrochloride 10 mg/ml
Injekcija Haloperidol lactate 2 mg/ml
Nekāds 216
Savietojams
Injekcija Hydromorphone hydrochloride <12.5 mg/ml
Injekcija Heparin sodium
Ūdens injekcijām 66
Savietojams
Injekcija Hydromorphone hydrochloride <12.5 mg/ml
Injekcija Heparin sodium
Nātrija hlorīds 0.9% 66
Savietojams
Injekcija Hydromorphone hydrochloride 1 mg/ml
Injekcija Heparin sodium 100 UI/ml
314
Tūlītēji nokrišņi Nesavienojams
Injekcija Hydromorphone hydrochloride >25 mg/ml
Injekcija Heparin sodium <12,5 UI/ml
Ūdens injekcijām 66
Tūlītēji nokrišņi Nesavienojams
Injekcija Hydromorphone hydrochloride >10 mg/ml
Injekcija Heparin sodium <1 UI/ml
Ūdens injekcijām 66
Tūlītēji nokrišņi Nesavienojams
Injekcija Hydromorphone hydrochloride >25 mg/ml
Injekcija Heparin sodium <12,5 UI/ml
Nātrija hlorīds 0.9% 66
Savietojams
Injekcija Hydromorphone hydrochloride 0.5 mg/ml
Injekcija Hetastarch 60 mg/ml
īpašu šķīdinātāju 1721
Ķīmiskā nestabilitāte Nesavienojams
Injekcija Hydromorphone hydrochloride 2 >> 40 mg/ml
Injekcija Hyaluronidase 150 UI/ml
5% glikoze 9
Savietojams
Injekcija Hydromorphone hydrochloride
Injekcija Hyaluronidase
3184
Ķīmiskā nestabilitāte Nesavienojams
Injekcija Hydromorphone hydrochloride 2 >> 40 mg/ml
Injekcija Hyaluronidase 150 UI/ml
Nātrija hlorīds 0.9% 9
Savietojams
Injekcija Hydromorphone hydrochloride 0.5 mg/ml
Injekcija Hydroxyzine dihydrochloride 4 mg/ml
5% glikoze 1974
Savietojams
Injekcija Hydromorphone hydrochloride 1 mg/ml
Injekcija Isavuconazonium sulfate 1.5 mg/ml
Nātrija hlorīds 0.9% 3829
Savietojams
Injekcija Hydromorphone hydrochloride 1 mg/ml
Injekcija Isavuconazonium sulfate 1.5 mg/ml
5% glikoze 3829
Savietojams
Injekcija Hydromorphone hydrochloride 0.2 mg/ml
Injekcija Kanamycin sulfate 2.5 mg/ml
5% glikoze 405
Savietojams
Injekcija Hydromorphone hydrochloride
Injekcija Ketamine hydrochloride
5073
Savietojams
Injekcija Hydromorphone hydrochloride 0.2 mg/ml
Injekcija Ketamine hydrochloride 0.2 >> 1 mg/ml
Nātrija hlorīds 0.9% 2336
Savietojams
Injekcija Hydromorphone hydrochloride 0.5 mg/ml
Injekcija Ketorolac tromethamine 1 mg/ml
5% glikoze 1974
Savietojams
Injekcija Hydromorphone hydrochloride 10 mg/ml
Injekcija Ketorolac tromethamine 15 mg/ml
Nekāds 216
Savietojams
Injekcija Hydromorphone hydrochloride 1 mg/ml
Injekcija Ketorolac tromethamine 30 mg/ml
Nekāds 216
Savietojams
Injekcija Hydromorphone hydrochloride 1 mg/ml
Injekcija Ketorolac tromethamine 15 mg/ml
Nekāds 216
Tūlītēji nokrišņi Nesavienojams
Injekcija Hydromorphone hydrochloride 10 mg/ml
Injekcija Ketorolac tromethamine 30 mg/ml
Nekāds 216
Savietojams
Injekcija Hydromorphone hydrochloride 1 mg/ml
Injekcija Labetalol hydrochloride 2 mg/ml
314
Nokrišņi pēc 1 stundas Nesavienojams
Injekcija Hydromorphone hydrochloride 0.5 mg/ml
Injekcija Lansoprazole 0.55 mg/ml
Nātrija hlorīds 0.9% 1625
Savietojams
Injekcija Hydromorphone hydrochloride 2 mg/ml
Injekcija Levofloxacine 5 mg/ml
Nekāds 2335
Savietojams
Injekcija Hydromorphone hydrochloride
Injekcija Levomepromazine
5073
Savietojams
Injekcija Hydromorphone hydrochloride 10 mg/ml
Injekcija Levosimendan 2,5 mg/ml
4389
Savietojams
Injekcija Hydromorphone hydrochloride 0.5 mg/ml
Injekcija Linezolid 2 mg/ml
Nekāds 1925
Savietojams
Injekcija Hydromorphone hydrochloride 0.5 mg/ml
Injekcija Lorazepam 0.1 mg/ml
5% glikoze 1974
Savietojams
Injekcija Hydromorphone hydrochloride 2 >> 40 mg/ml
Injekcija Lorazepam 4 mg/ml
Nekāds 1497
Savietojams
Injekcija Hydromorphone hydrochloride 1 mg/ml
Injekcija Lorazepam 0.5 mg/ml
314
Savietojams
Injekcija Hydromorphone hydrochloride 2 mg/ml
Injekcija Magnesium sulfate 16,67 >> 100 mg/ml
5% glikoze 517
Savietojams
Injekcija Hydromorphone hydrochloride 0.5 mg/ml
Injekcija Melphalan 0.1 mg/ml
Nātrija hlorīds 0.9% 169
Savietojams
Injekcija Hydromorphone hydrochloride 10 mg/ml
Injekcija Meropenem 50 mg/ml
Ūdens injekcijām 4319
Ķīmiskā nestabilitāte Nesavienojams
Injekcija Hydromorphone hydrochloride
Injekcija Metamizol sodium
2364
Savietojams
Injekcija Hydromorphone hydrochloride
Injekcija Metoclopramide hydrochloride
5073
Savietojams
Injekcija Hydromorphone hydrochloride 0.5 mg/ml
Injekcija Metoclopramide hydrochloride 5 mg/ml
5% glikoze 1974
Savietojams
Injekcija Hydromorphone hydrochloride 0.2 mg/ml
Injekcija Metronidazole 5 mg/ml
5% glikoze 405
Savietojams
Injekcija Hydromorphone hydrochloride 0.5 mg/ml
Injekcija Micafungin 1.5 mg/ml
Nātrija hlorīds 0.9% 2108
Savietojams
Injekcija Hydromorphone hydrochloride
Injekcija Midazolam hydrochloride
5073
Savietojams
Injekcija Hydromorphone hydrochloride 0.5 mg/ml
Injekcija Midazolam hydrochloride 0.2 mg/ml
5% glikoze 1974
Savietojams
Injekcija Hydromorphone hydrochloride 0.5 >> 45 mg/ml
Injekcija Midazolam hydrochloride 0.1 >> 4.5 mg/ml
5% glikoze 345
Savietojams
Injekcija Hydromorphone hydrochloride 1 mg/ml
Injekcija Midazolam hydrochloride 2 mg/ml
314
Savietojams
Injekcija Hydromorphone hydrochloride 0.5 >> 45 mg/ml
Injekcija Midazolam hydrochloride 0.1 >> 4.5 mg/ml
Nātrija hlorīds 0.9% 345
Savietojams
Injekcija Hydromorphone hydrochloride 1 mg/ml
Injekcija Milrinone lactate 0.2 mg/ml
314
Krāsas maiņa pēc 1 stundas Nesavienojams
Injekcija Hydromorphone hydrochloride 0.2 mg/ml
Injekcija Minocycline hydrochloride 0.2 mg/ml
5% glikoze 405
Savietojams
Injekcija Hydromorphone hydrochloride 1 mg/ml
Injekcija Morphine sulfate 2 mg/ml
314
Savietojams
Injekcija Hydromorphone hydrochloride 0.2 mg/ml
Injekcija Moxalactam 20 mg/ml
5% glikoze 405
Savietojams
Injekcija Hydromorphone hydrochloride 0.2 mg/ml
Injekcija Nafcillin sodium 20 mg/ml
5% glikoze 405
Savietojams
Injekcija Hydromorphone hydrochloride 10 mg/ml
Injekcija Naloxone hydrochloride 0.4 mg/ml
Nekāds 3408
Savietojams
Injekcija Hydromorphone hydrochloride 1 mg/ml
Injekcija Nicardipine hydrochloride 1 mg/ml
314
Savietojams
Injekcija Hydromorphone hydrochloride 1 mg/ml
Injekcija Nitroglycerin 0.4 mg/ml
314
Savietojams
Injekcija Hydromorphone hydrochloride 1 mg/ml
Injekcija Norepinephrine bitartrate 0.128 mg/ml
314
Savietojams
Injekcija Hydromorphone hydrochloride 0,5 mg/ml
Injekcija Ondansetron hydrochloride 0,1 & 1 mg/ml
Nātrija hlorīds 0.9% 6
Savietojams
Injekcija Hydromorphone hydrochloride 0.5 mg/ml
Injekcija Ondansetron hydrochloride 1 mg/ml
Nātrija hlorīds 0.9% 334
Savietojams
Injekcija Hydromorphone hydrochloride 0.2 mg/ml
Injekcija Oxacillin sodium 20 mg/ml
5% glikoze 405
Savietojams
Injekcija Hydromorphone hydrochloride 0,5 mg/ml
Injekcija Oxaliplatin 0,5 mg/ml
5% glikoze 1662
Savietojams
Injekcija Hydromorphone hydrochloride 0.5 mg/ml
Injekcija Paclitaxel 1.2 mg/ml
5% glikoze 248
Savietojams
Injekcija Hydromorphone hydrochloride 0.5 mg/ml
Injekcija Palonosetron hydrochloride 50 µg/ml
5% glikoze 2196
Nokrišņi pēc 4 stundām Nesavienojams
Injekcija Hydromorphone hydrochloride
Injekcija Pantoprazole sodium
2090
Savietojams
Injekcija Hydromorphone hydrochloride 10 mg/ml
Injekcija Paracetamol 10 mg/ml
4742
Savietojams
Injekcija Hydromorphone hydrochloride 2 mg/ml
Injekcija Paracetamol 10 mg/ml
Nekāds 3571
Neprecizēta nesaderība Nesavienojams
Injekcija Hydromorphone hydrochloride
Injekcija Parecoxib sodium
3504
Savietojams
Injekcija Hydromorphone hydrochloride 0.5 mg/ml
Injekcija Pemetrexed disodium 20 mg/ml
Nātrija hlorīds 0.9% 1953
Savietojams
Injekcija Hydromorphone hydrochloride 0.2 mg/ml
Injekcija Penicillin G potassium 0.1 MUI/ml
5% glikoze 405
Tūlītēji nokrišņi Nesavienojams
Injekcija Hydromorphone hydrochloride 2 >> 40 mg/ml
Injekcija Phenobarbital sodium 120 mg/ml
5% glikoze 226
Savietojams
Injekcija Hydromorphone hydrochloride 0.5 mg/ml
Injekcija Phenobarbital sodium 2 mg/ml
5% glikoze 1974
Tūlītēji nokrišņi Nesavienojams
Injekcija Hydromorphone hydrochloride 2 >> 40 mg/ml
Injekcija Phenytoin sodium 50 mg/ml
5% glikoze 226
Nokrišņi pēc 1 stundas Nesavienojams
Injekcija Hydromorphone hydrochloride 0.5 mg/ml
Injekcija Phenytoin sodium 2 mg/ml
5% glikoze 1974
Savietojams
Injekcija Hydromorphone hydrochloride 0.2 mg/ml
Injekcija Piperacillin sodium 60 mg/ml
5% glikoze 405
Savietojams
Injekcija Hydromorphone hydrochloride 0.5 mg/ml
Injekcija Piperacillin sodium / tazobactam 40/5 mg/ml
5% glikoze 81
Savietojams
Injekcija Hydromorphone hydrochloride 1 mg/ml
Injekcija Plazomicin sulfate 24 mg/ml
Nātrija hlorīds 0.9% 4145
Savietojams
Injekcija Hydromorphone hydrochloride
Injekcija Posaconazole
4380
Savietojams
Injekcija Hydromorphone hydrochloride 25 mg/ml
Injekcija Potassium chloride 1000 mEq/l
Ūdens injekcijām 66
Savietojams
Injekcija Hydromorphone hydrochloride 5 >> 20 mg/ml
Injekcija Potassium chloride 500 & 1000 mEq/l
5% glikoze 66
Savietojams
Injekcija Hydromorphone hydrochloride 2 >> 40 mg/ml
Injekcija Prochlorperazine edysilate 5 mg/ml
Nekāds 1497
Savietojams
Injekcija Hydromorphone hydrochloride 0,5 mg/ml
Injekcija Prochlorperazine edysilate 1,5 mg/ml
Nātrija hlorīds 0.9% 767
Savietojams
Injekcija Hydromorphone hydrochloride 1 mg/ml
Injekcija Promethazine hydrochloride 0.3 mg/ml
Nātrija hlorīds 0.9% 795
Savietojams
Injekcija Hydromorphone hydrochloride 0.5 mg/ml
Injekcija Propofol 10 mg/ml
Nekāds 300
Savietojams
Injekcija Hydromorphone hydrochloride 1 mg/ml
Injekcija Ranitidine hydrochloride 1 mg/ml
314
Savietojams
Injekcija Hydromorphone hydrochloride 2 mg/ml
Injekcija Ranitidine hydrochloride 25 mg/ml
Nekāds 58
Savietojams
Injekcija Hydromorphone hydrochloride 1 mg/ml
Injekcija Remdesivir 1 mg/ml
Nātrija hlorīds 0.9% 4768
Savietojams
Injekcija Hydromorphone hydrochloride 10 mg/ml
Injekcija Salbutamol sulfate 1 mg/ml
Nekāds 3216
Nokrišņi pēc 30 minūtēm Nesavienojams
Injekcija Hydromorphone hydrochloride 0.5 mg/ml
Injekcija Sargramostim 10 µg/ml
Nātrija hlorīds 0.9% 335
Savietojams
Injekcija Hydromorphone hydrochloride 0.5 mg/ml
Injekcija Scopolamine hydrobromide 0.05 mg/ml
5% glikoze 1974
Savietojams
Injekcija Hydromorphone hydrochloride
Injekcija Scopolamine hydrobromide
5073
Savietojams
Injekcija Hydromorphone hydrochloride 0,1 & 1 mg/ml
Injekcija Tacrolimus 5 & 20 µg/ml
5% glikoze 814
Savietojams
Injekcija Hydromorphone hydrochloride 1 mg/ml
Injekcija Tedizolid phosphate 0.8 mg/ml
Nātrija hlorīds 0.9% 3827
Savietojams
Injekcija Hydromorphone hydrochloride 0.5 mg/ml
Injekcija Teniposide 0.1 mg/ml
5% glikoze 905
Tūlītēji nokrišņi Nesavienojams
Injekcija Hydromorphone hydrochloride 10 mg/ml
Injekcija Thiopental sodium 25 mg/ml
Nātrija hlorīds 0.9% 3767
Nokrišņi pēc 4 stundām Nesavienojams
Injekcija Hydromorphone hydrochloride 1 mg/ml
Injekcija Thiopental sodium 25 mg/ml
314
Savietojams
Injekcija Hydromorphone hydrochloride 0.5 mg/ml
Injekcija Thiotepa 1 mg/ml
5% glikoze 249
Savietojams
Injekcija Hydromorphone hydrochloride
Nātrija hlorīds 0.9% 5073
Savietojams
Injekcija Hydromorphone hydrochloride
Injekcija Scopolamine N-butyl bromide
5073
Savietojams
Injekcija Hydromorphone hydrochloride 1 mg/ml
Injekcija Sulbactam/durlobactam 15/15 mg/ml
Nātrija hlorīds 0.9% 4801
Savietojams
Injekcija Hydromorphone hydrochloride 0.2 mg/ml
Injekcija Tobramycin sulfate 0.8 mg/ml
5% glikoze 405
Savietojams
Injekcija Hydromorphone hydrochloride 0.2 mg/ml
Injekcija Vancomycin hydrochloride 5 mg/ml
5% glikoze 405
Savietojams
Injekcija Hydromorphone hydrochloride 2 mg/ml
Injekcija Vancomycin hydrochloride 4 mg/ml
Nātrija hlorīds 0.9% 2335
Savietojams
Injekcija Hydromorphone hydrochloride 1 mg/ml
Injekcija Vecuronium bromide 1 mg/ml
314
Savietojams
Injekcija Hydromorphone hydrochloride 0.016 mg/ml
Injekcija Verapamil hydrochloride 0.08 mg/ml
Nātrija hlorīds 0.9% 1057
Savietojams
Injekcija Hydromorphone hydrochloride 0.016 mg/ml
Injekcija Verapamil hydrochloride 0.08 mg/ml
5% glikoze 1057
Savietojams
Injekcija Hydromorphone hydrochloride 0.5 mg/ml
Injekcija Vinorelbine tartrate 1 mg/ml
Nātrija hlorīds 0.9% 84

  Mentions Légales