Последно актуализиране :
27/01/2026
противораково лекарство   Cyclophosphamide  
Инжекция/Инжекционен
Капсула Орален разтвор
Стабилност на разтвори Стабилност на смеси Фактори, повлияващи стабилността Съвместимост Път на въвеждане Библиография Pdf
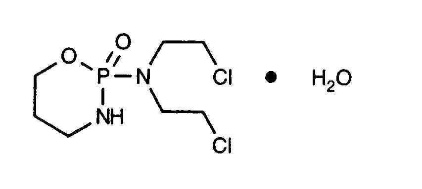
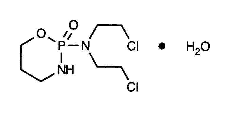
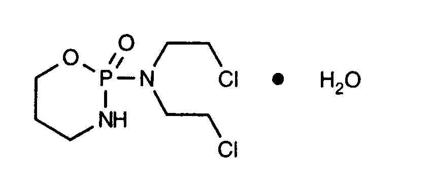
   Химична структура  

Търговско наименование   Търговско наименование     

Търговските имена са примерни и съставът на помощните вещества може да бъде различен в зависимост от държавата и лабораториите

Alkyloxan Египет, Малайзия
Celomide Индия
Ciclofosfamida Аржентина, Румъния, Чили
Cicloxal Испания
Cryofaxol Мексико
Cycloblastin Австралия
Cycloblastine Холандия
Cyclophosphamid Германия, Дания
Cyclophosphamide Великобритания, нова Зеландия, Саудитска Арабия, Съединени Американски щати / САЩ
Cyclostin Германия
Cycloxan Малайзия
Cycram Египет
Cytoxan Канада, Съединени Американски щати / САЩ, Унгария
Eldamide Индия
Endoxan Австралия, Австрия, Белгия, Венецуела, Германия, Гърция, Еквадор, Индия, Иран, Италия, Колумбия, Люксенбург, Мароко, нова Зеландия, Обединени арабски емирства, Полша, Португалия, Саудитска Арабия, Словения, Тайланд, Тунис, Турция, Унгария, Франция, Холандия, Хърватия, Чили, Швейцария
Endoxana Великобритания, Ирландия
Formitex Колумбия, Мексико
Genoxal Испания
Genuxal Бразилия
Hidrofosmin Мексико
Ledoxan Колумбия
Ledoxina Колумбия, Мексико
Neophos Египет
Neosar Съединени Американски щати / САЩ
Procytox Канада
Sendoxan Дания, Исландия, Норвегия, Финландия, Швеция
Syklofosfamid Турция, Финландия
Съвместимост   Инжекция/Инжекционен   Съвместимост : Cyclophosphamide              
Този екран показва съвместимостта или несъвместимостта с, в този случай, вида на несъвместимостта (утаяване, промяна на цвета, модификация на емулсия и др.). Показаните тук съвместимости са предимно физически, като рядко се оценява химическата стабилност на всяка молекула. Оценката на тези смеси беше проучена, за да се разгледа възможността за приложение на Y-място на пациента. Тези данни не могат да се използват за предварително приготвяне на смеси в торбички или спринцовки. Този тип информация е достъпна на екрана "Стабилност в сместа".
Състав / молекула Разтворител Библиография
съвместим
Инжекция/Инжекционен Cyclophosphamide 20 mg/ml
NaHCO3 150
съвместим
Инжекция/Инжекционен Cyclophosphamide
Sodium chloride 0,9% 4865
съвместим
Инжекция/Инжекционен Cyclophosphamide
NaCl 0,45% Glucose 5% 4865
съвместим
Инжекция/Инжекционен Cyclophosphamide 10 mg/ml
Парентерално хранене (липидите безплатно) 301
съвместим
Инжекция/Инжекционен Cyclophosphamide 10 mg/ml
Парентерално хранене (с липиди) 1415
съвместим
Инжекция/Инжекционен Cyclophosphamide
Glucose 5% 4989
съвместим
Инжекция/Инжекционен Cyclophosphamide 10 mg/ml
Инжекция/Инжекционен Allopurinol sodium 3 mg/ml
Sodium chloride 0,9% 307
съвместим
Инжекция/Инжекционен Cyclophosphamide 10 mg/ml
Инжекция/Инжекционен Amifostine 10 mg/ml
Glucose 5% 3
Незабавна мътност Несъвместим
Инжекция/Инжекционен Cyclophosphamide 10 mg/ml
Инжекция/Инжекционен Amphotericin B cholesteryl sulfate complex 0.83 mg/ml
Glucose 5% 921
съвместим
Инжекция/Инжекционен Cyclophosphamide
Sodium chloride 0,9% 4989
съвместим
Инжекция/Инжекционен Cyclophosphamide 10 mg/ml
Инжекция/Инжекционен Anidulafungin 0.5 mg/ml
Glucose 5% 1982
съвместим
Инжекция/Инжекционен Cyclophosphamide 10 mg/ml
Инжекция/Инжекционен Aztreonam 40 mg/ml
Glucose 5% 99
съвместим
Инжекция/Инжекционен Cyclophosphamide 10 mg/ml
Инжекция/Инжекционен Cladribine 0.5 mg/ml
NaCl 0,9% + антибактериално 1496
съвместим
Инжекция/Инжекционен Cyclophosphamide 10 mg/ml
Инжекция/Инжекционен Cladribine 0.015 mg/ml
Sodium chloride 0,9% 1496
съвместим
Инжекция/Инжекционен Cyclophosphamide 10 mg/ml
Инжекция/Инжекционен Doripenem 5 mg/ml
Glucose 5% 2262
съвместим
Инжекция/Инжекционен Cyclophosphamide 10 mg/ml
Инжекция/Инжекционен Doripenem 5 mg/ml
Sodium chloride 0,9% 2262
съвместим
Инжекция/Инжекционен Cyclophosphamide 10 mg/ml
Инжекция/Инжекционен Doxorubicin hydrochloride liposome peg 0.4 mg/ml
Glucose 5% 251
съвместим
Инжекция/Инжекционен Cyclophosphamide 10 mg/ml
Инжекция/Инжекционен Etoposide phosphate 5 mg/ml
Glucose 5% 1410
съвместим
Инжекция/Инжекционен Cyclophosphamide 10 mg/ml
Инжекция/Инжекционен Filgrastim 30 µg/ml
Glucose 5% 244
съвместим
Инжекция/Инжекционен Cyclophosphamide 10 mg/ml
Инжекция/Инжекционен Fludarabine phosphate 1 mg/ml
Glucose 5% 492
съвместим
Инжекция/Инжекционен Cyclophosphamide 20 mg/ml
Инжекция/Инжекционен Gallium nitrate 1 mg/ml
Sodium chloride 0,9% 91
съвместим
Инжекция/Инжекционен Cyclophosphamide 10 mg/ml
Инжекция/Инжекционен Gemcitabine hydrochloride 10 mg/ml
Sodium chloride 0,9% 1423
съвместим
Инжекция/Инжекционен Cyclophosphamide 2 mg/ml
Инжекция/Инжекционен Granisetron hydrochloride 1 mg/ml
Вода за инжекции 57
съвместим
Инжекция/Инжекционен Cyclophosphamide 1 mg/ml
Инжекция/Инжекционен Hydroxyzine dihydrochloride 0.5 mg/ml
Glucose 5% 331
съвместим
Инжекция/Инжекционен Cyclophosphamide 4 mg/ml
Инжекция/Инжекционен Idarubicin hydrochloride 1 mg/ml
Sodium chloride 0,9% 491
Валежи след 4 часа Несъвместим
Инжекция/Инжекционен Cyclophosphamide 10 mg/ml
Инжекция/Инжекционен Lansoprazole 0.55 mg/ml
Sodium chloride 0,9% 1625
съвместим
Инжекция/Инжекционен Cyclophosphamide 10 mg/ml
Инжекция/Инжекционен Linezolid 2 mg/ml
Няма 1925
съвместим
Инжекция/Инжекционен Cyclophosphamide 10 mg/ml
Инжекция/Инжекционен Melphalan 0.1 mg/ml
Sodium chloride 0,9% 169
съвместим
Инжекция/Инжекционен Cyclophosphamide 1.8 mg/ml
Инжекция/Инжекционен Mesna 0.54 mg/ml
Glucose 5% 1833
съвместим
Инжекция/Инжекционен Cyclophosphamide 10.8 mg/ml
Инжекция/Инжекционен Mesna 3.2 mg/ml
Glucose 5% 1833
съвместим
Инжекция/Инжекционен Cyclophosphamide 1 >> 10 mg/ml
Инжекция/Инжекционен Mesna 0.2 >> 10 mg/ml
Sodium chloride 0,9% 2104
съвместим
Инжекция/Инжекционен Cyclophosphamide 20 mg/ml
Инжекция/Инжекционен Methotrexate sodium 30 mg/ml
Sodium chloride 0,9% 150
Неопределена несъвместимост Несъвместим
Инжекция/Инжекционен Cyclophosphamide
Инжекция/Инжекционен Mitomycin
4471
Химическа нестабилност Несъвместим
Инжекция/Инжекционен Cyclophosphamide
Инжекция/Инжекционен Mitomycin
3128
съвместим
Инжекция/Инжекционен Cyclophosphamide 2 mg/ml
Инжекция/Инжекционен Ondansetron hydrochloride 0,4 mg/ml
Sodium chloride 0,9% 50
съвместим
Инжекция/Инжекционен Cyclophosphamide 0,3 mg/ml
Инжекция/Инжекционен Ondansetron hydrochloride 0,05 mg/ml
Sodium chloride 0,9% 50
съвместим
Инжекция/Инжекционен Cyclophosphamide 20 mg/ml
Инжекция/Инжекционен Ondansetron hydrochloride 0,016 >> 0,16 mg/ml
Вода за инжекции 3574
съвместим
Инжекция/Инжекционен Cyclophosphamide 0,3 mg/ml
Инжекция/Инжекционен Ondansetron hydrochloride 0,05 mg/ml
Glucose 5% 50
съвместим
Инжекция/Инжекционен Cyclophosphamide 2 mg/ml
Инжекция/Инжекционен Ondansetron hydrochloride 0,4 mg/ml
Glucose 5% 50
съвместим
Инжекция/Инжекционен Cyclophosphamide 10 mg/ml
Инжекция/Инжекционен Ondansetron hydrochloride 1 mg/ml
Sodium chloride 0,9% 334
съвместим
Инжекция/Инжекционен Cyclophosphamide 10 mg/ml
Инжекция/Инжекционен Oxaliplatin 0,5 mg/ml
Glucose 5% 1662
съвместим
Инжекция/Инжекционен Cyclophosphamide 10 mg/ml
Инжекция/Инжекционен Paclitaxel 1.2 mg/ml
Glucose 5% 85
съвместим
Инжекция/Инжекционен Cyclophosphamide 10 mg/ml
Инжекция/Инжекционен Palonosetron hydrochloride 50 µg/ml
Glucose 5% 2016
съвместим
Инжекция/Инжекционен Cyclophosphamide 10 mg/ml
Инжекция/Инжекционен Pemetrexed disodium 20 mg/ml
Sodium chloride 0,9% 1953
съвместим
Инжекция/Инжекционен Cyclophosphamide 10 mg/ml
Инжекция/Инжекционен Piperacillin sodium / tazobactam 40/5 mg/ml
Glucose 5% 81
съвместим
Инжекция/Инжекционен Cyclophosphamide 10 mg/ml
Инжекция/Инжекционен Propofol 10 mg/ml
Няма 300
Нестабилност на емулсията след 24 часа Несъвместим
Инжекция/Инжекционен Cyclophosphamide 4 mg/ml
Инжекция/Инжекционен Propofol
660
съвместим
Инжекция/Инжекционен Cyclophosphamide 10 mg/ml
Инжекция/Инжекционен Sargramostim 10 µg/ml
Sodium chloride 0,9% 335
съвместим
Инжекция/Инжекционен Cyclophosphamide 20 mg/ml
Инжекция/Инжекционен Sodium bicarbonate 14 mg/ml
Няма 150
съвместим
Инжекция/Инжекционен Cyclophosphamide 10 mg/ml
Инжекция/Инжекционен Teniposide 0.1 mg/ml
Glucose 5% 905
съвместим
Инжекция/Инжекционен Cyclophosphamide 10 mg/ml
Инжекция/Инжекционен Thiotepa 1 mg/ml
Glucose 5% 249
съвместим
Инжекция/Инжекционен Cyclophosphamide 20 mg/ml
Инжекция/Инжекционен Topotecan 0.056 mg/ml
Glucose 5% 1026
съвместим
Инжекция/Инжекционен Cyclophosphamide 20 mg/ml
Инжекция/Инжекционен Topotecan 0.056 mg/ml
Sodium chloride 0,9% 1026
съвместим
Инжекция/Инжекционен Cyclophosphamide 10 mg/ml
Инжекция/Инжекционен Vinorelbine tartrate 1 mg/ml
Sodium chloride 0,9% 84

  Mentions Légales