Laatste update :
27/04/2026
geneesmiddel tegen kanker   Cyclophosphamide  
injecteerbaar geneesmiddel
Capsule Orale Oplossing
Stabiliteit in oplossing Stabiliteit in mengsels Factoren die de stabiliteit beïnvloeden Verenigbaarheden Toedieningswijze Literatuur pdf
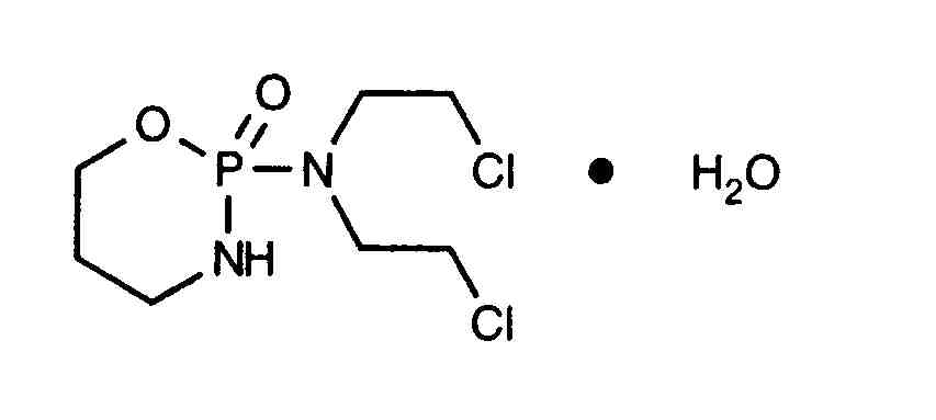
   Molecuulstructuur  

Merknamen in verschillende landen   Merknamen in verschillende landen     

Handelsnamen zijn slechts een indicatie; de samenstelling van hulpstoffen kan per land variëren afhankelijk van de fabrikant

Alkyloxan Egypte, Maleisië
Celomide Indië
Ciclofosfamida Argentinië, Chili, Roemenië
Cicloxal Spanje
Cryofaxol Mexico
Cycloblastin Australië
Cycloblastine Nederland
Cyclophosphamid Denemarken, Duitsland
Cyclophosphamide Groot Britannië, nieuw Zeeland, Saudi-Arabië, USA
Cyclostin Duitsland
Cycloxan Maleisië
Cycram Egypte
Cytoxan Canada, Hongarije, USA
Eldamide Indië
Endoxan Australië, België, Chili, Colombia, Duitsland, Ecuador, Frankrijk, Griekenland, Hongarije, Indië, Iran, Italië, Kroatië, Luxemburg, Marokko, Nederland, nieuw Zeeland, Oostenrijk, Polen, Portugal, Saudi-Arabië, Slovenië, Thailand, Tunisie, Turkije, Venezuela, Verenigde Arabische Emiraten, Zwitserland
Endoxana Groot Britannië, Ierland
Formitex Colombia, Mexico
Genoxal Spanje
Genuxal Brazilië
Hidrofosmin Mexico
Ledoxan Colombia
Ledoxina Colombia, Mexico
Neophos Egypte
Neosar USA
Procytox Canada
Sendoxan Denemarken, Finland, IJsland, Noorwegen, Zweden
Syklofosfamid Finland, Turkije
Verenigbaarheden   injecteerbaar geneesmiddel   Verenigbaarheden : Cyclophosphamide              
In dit scherm worden de verenigbaarheden en onverenigbaarheden weergegeven. In het geval van een onverenigbaarheid wordt ook het type (neerslag, kleurverandering, modificatie van een emulsie, etc) weergegeven. De weergegeven verenigbaarheden zijn meestal alleen op uiterlijk beoordeeld, er heeft zelden een chemische beoordeling van iedere component plaatsgevonden. De verenigbaarheden betreffen gelijktijdige toediening aan de patient middels de Y-site. De data kan niet gebruikt worden in de beoordeling van verenigbaarheden van componenten in infuuszakken of spuiten. Die informatie is te vinden onder ‘stabiliteit in mengsels’.
Stof Oplosmiddel Literatuur
Verenigbaar
injecteerbaar geneesmiddel Cyclophosphamide 20 mg/ml
NaHCO3 150
Verenigbaar
injecteerbaar geneesmiddel Cyclophosphamide
Natriumchloride 0,9% 4865
Verenigbaar
injecteerbaar geneesmiddel Cyclophosphamide
NaCl 0,45% glucose 5% 4865
Verenigbaar
injecteerbaar geneesmiddel Cyclophosphamide 10 mg/ml
Parenterale voeding (zonder vet) 301
Verenigbaar
injecteerbaar geneesmiddel Cyclophosphamide 10 mg/ml
Parenterale voeding (met lipiden) 1415
Verenigbaar
injecteerbaar geneesmiddel Cyclophosphamide
Glucose 5% 4989
Verenigbaar
injecteerbaar geneesmiddel Cyclophosphamide 10 mg/ml
injecteerbaar geneesmiddel Allopurinol sodium 3 mg/ml
Natriumchloride 0,9% 307
Verenigbaar
injecteerbaar geneesmiddel Cyclophosphamide 10 mg/ml
injecteerbaar geneesmiddel Amifostine 10 mg/ml
Glucose 5% 3
Onmiddellijke troebelheid Onverenigbaar
injecteerbaar geneesmiddel Cyclophosphamide 10 mg/ml
injecteerbaar geneesmiddel Amphotericin B cholesteryl sulfate complex 0.83 mg/ml
Glucose 5% 921
Verenigbaar
injecteerbaar geneesmiddel Cyclophosphamide
Natriumchloride 0,9% 4989
Verenigbaar
injecteerbaar geneesmiddel Cyclophosphamide 10 mg/ml
injecteerbaar geneesmiddel Anidulafungin 0.5 mg/ml
Glucose 5% 1982
Verenigbaar
injecteerbaar geneesmiddel Cyclophosphamide 10 mg/ml
injecteerbaar geneesmiddel Aztreonam 40 mg/ml
Glucose 5% 99
Verenigbaar
injecteerbaar geneesmiddel Cyclophosphamide 10 mg/ml
injecteerbaar geneesmiddel Cladribine 0.5 mg/ml
NaCl 0,9% (geconserveerd) 1496
Verenigbaar
injecteerbaar geneesmiddel Cyclophosphamide 10 mg/ml
injecteerbaar geneesmiddel Cladribine 0.015 mg/ml
Natriumchloride 0,9% 1496
Verenigbaar
injecteerbaar geneesmiddel Cyclophosphamide 10 mg/ml
injecteerbaar geneesmiddel Doripenem 5 mg/ml
Glucose 5% 2262
Verenigbaar
injecteerbaar geneesmiddel Cyclophosphamide 10 mg/ml
injecteerbaar geneesmiddel Doripenem 5 mg/ml
Natriumchloride 0,9% 2262
Verenigbaar
injecteerbaar geneesmiddel Cyclophosphamide 10 mg/ml
injecteerbaar geneesmiddel Doxorubicin hydrochloride liposome peg 0.4 mg/ml
Glucose 5% 251
Verenigbaar
injecteerbaar geneesmiddel Cyclophosphamide 10 mg/ml
injecteerbaar geneesmiddel Etoposide phosphate 5 mg/ml
Glucose 5% 1410
Verenigbaar
injecteerbaar geneesmiddel Cyclophosphamide 10 mg/ml
injecteerbaar geneesmiddel Filgrastim 30 µg/ml
Glucose 5% 244
Verenigbaar
injecteerbaar geneesmiddel Cyclophosphamide 10 mg/ml
injecteerbaar geneesmiddel Fludarabine phosphate 1 mg/ml
Glucose 5% 492
Verenigbaar
injecteerbaar geneesmiddel Cyclophosphamide 20 mg/ml
injecteerbaar geneesmiddel Gallium nitrate 1 mg/ml
Natriumchloride 0,9% 91
Verenigbaar
injecteerbaar geneesmiddel Cyclophosphamide 10 mg/ml
injecteerbaar geneesmiddel Gemcitabine hydrochloride 10 mg/ml
Natriumchloride 0,9% 1423
Verenigbaar
injecteerbaar geneesmiddel Cyclophosphamide 2 mg/ml
injecteerbaar geneesmiddel Granisetron hydrochloride 1 mg/ml
Water voor injectie 57
Verenigbaar
injecteerbaar geneesmiddel Cyclophosphamide 1 mg/ml
injecteerbaar geneesmiddel Hydroxyzine dihydrochloride 0.5 mg/ml
Glucose 5% 331
Verenigbaar
injecteerbaar geneesmiddel Cyclophosphamide 4 mg/ml
injecteerbaar geneesmiddel Idarubicin hydrochloride 1 mg/ml
Natriumchloride 0,9% 491
Neerslag na 4 uur Onverenigbaar
injecteerbaar geneesmiddel Cyclophosphamide 10 mg/ml
injecteerbaar geneesmiddel Lansoprazole 0.55 mg/ml
Natriumchloride 0,9% 1625
Verenigbaar
injecteerbaar geneesmiddel Cyclophosphamide 10 mg/ml
injecteerbaar geneesmiddel Linezolid 2 mg/ml
Geen 1925
Verenigbaar
injecteerbaar geneesmiddel Cyclophosphamide 10 mg/ml
injecteerbaar geneesmiddel Melphalan 0.1 mg/ml
Natriumchloride 0,9% 169
Verenigbaar
injecteerbaar geneesmiddel Cyclophosphamide 1.8 mg/ml
injecteerbaar geneesmiddel Mesna 0.54 mg/ml
Glucose 5% 1833
Verenigbaar
injecteerbaar geneesmiddel Cyclophosphamide 10.8 mg/ml
injecteerbaar geneesmiddel Mesna 3.2 mg/ml
Glucose 5% 1833
Verenigbaar
injecteerbaar geneesmiddel Cyclophosphamide 1 >> 10 mg/ml
injecteerbaar geneesmiddel Mesna 0.2 >> 10 mg/ml
Natriumchloride 0,9% 2104
Verenigbaar
injecteerbaar geneesmiddel Cyclophosphamide 20 mg/ml
injecteerbaar geneesmiddel Methotrexate sodium 30 mg/ml
Natriumchloride 0,9% 150
Niet-gespecificeerde incompatibiliteit Onverenigbaar
injecteerbaar geneesmiddel Cyclophosphamide
injecteerbaar geneesmiddel Mitomycin
4471
Chemische instabiliteit Onverenigbaar
injecteerbaar geneesmiddel Cyclophosphamide
injecteerbaar geneesmiddel Mitomycin
3128
Verenigbaar
injecteerbaar geneesmiddel Cyclophosphamide 2 mg/ml
injecteerbaar geneesmiddel Ondansetron hydrochloride 0,4 mg/ml
Natriumchloride 0,9% 50
Verenigbaar
injecteerbaar geneesmiddel Cyclophosphamide 0,3 mg/ml
injecteerbaar geneesmiddel Ondansetron hydrochloride 0,05 mg/ml
Natriumchloride 0,9% 50
Verenigbaar
injecteerbaar geneesmiddel Cyclophosphamide 20 mg/ml
injecteerbaar geneesmiddel Ondansetron hydrochloride 0,016 >> 0,16 mg/ml
Water voor injectie 3574
Verenigbaar
injecteerbaar geneesmiddel Cyclophosphamide 0,3 mg/ml
injecteerbaar geneesmiddel Ondansetron hydrochloride 0,05 mg/ml
Glucose 5% 50
Verenigbaar
injecteerbaar geneesmiddel Cyclophosphamide 2 mg/ml
injecteerbaar geneesmiddel Ondansetron hydrochloride 0,4 mg/ml
Glucose 5% 50
Verenigbaar
injecteerbaar geneesmiddel Cyclophosphamide 10 mg/ml
injecteerbaar geneesmiddel Ondansetron hydrochloride 1 mg/ml
Natriumchloride 0,9% 334
Verenigbaar
injecteerbaar geneesmiddel Cyclophosphamide 10 mg/ml
injecteerbaar geneesmiddel Oxaliplatin 0,5 mg/ml
Glucose 5% 1662
Verenigbaar
injecteerbaar geneesmiddel Cyclophosphamide 10 mg/ml
injecteerbaar geneesmiddel Paclitaxel 1.2 mg/ml
Glucose 5% 85
Verenigbaar
injecteerbaar geneesmiddel Cyclophosphamide 10 mg/ml
injecteerbaar geneesmiddel Palonosetron hydrochloride 50 µg/ml
Glucose 5% 2016
Verenigbaar
injecteerbaar geneesmiddel Cyclophosphamide 10 mg/ml
injecteerbaar geneesmiddel Pemetrexed disodium 20 mg/ml
Natriumchloride 0,9% 1953
Verenigbaar
injecteerbaar geneesmiddel Cyclophosphamide 10 mg/ml
injecteerbaar geneesmiddel Piperacillin sodium / tazobactam 40/5 mg/ml
Glucose 5% 81
Verenigbaar
injecteerbaar geneesmiddel Cyclophosphamide 10 mg/ml
injecteerbaar geneesmiddel Propofol 10 mg/ml
Geen 300
Instabiliteit van de emulsie na 24 uur Onverenigbaar
injecteerbaar geneesmiddel Cyclophosphamide 4 mg/ml
injecteerbaar geneesmiddel Propofol
660
Verenigbaar
injecteerbaar geneesmiddel Cyclophosphamide 10 mg/ml
injecteerbaar geneesmiddel Sargramostim 10 µg/ml
Natriumchloride 0,9% 335
Verenigbaar
injecteerbaar geneesmiddel Cyclophosphamide 20 mg/ml
injecteerbaar geneesmiddel Sodium bicarbonate 14 mg/ml
Geen 150
Verenigbaar
injecteerbaar geneesmiddel Cyclophosphamide 10 mg/ml
injecteerbaar geneesmiddel Teniposide 0.1 mg/ml
Glucose 5% 905
Verenigbaar
injecteerbaar geneesmiddel Cyclophosphamide 10 mg/ml
injecteerbaar geneesmiddel Thiotepa 1 mg/ml
Glucose 5% 249
Verenigbaar
injecteerbaar geneesmiddel Cyclophosphamide 20 mg/ml
injecteerbaar geneesmiddel Topotecan 0.056 mg/ml
Glucose 5% 1026
Verenigbaar
injecteerbaar geneesmiddel Cyclophosphamide 20 mg/ml
injecteerbaar geneesmiddel Topotecan 0.056 mg/ml
Natriumchloride 0,9% 1026
Verenigbaar
injecteerbaar geneesmiddel Cyclophosphamide 10 mg/ml
injecteerbaar geneesmiddel Vinorelbine tartrate 1 mg/ml
Natriumchloride 0,9% 84

  Mentions Légales