Ultimo aggiornamento :
27/04/2026
farmaco contro il cancro   Cyclophosphamide  
Iniezione
Capsula Soluzione orale
Stabilità in soluzione Stabilità in miscela Fattori che influenzano la stabilità Compatibilità metodo di iniezione Bibliografia pdf
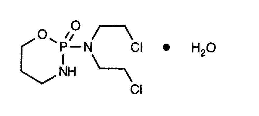
   Struttura chimica  

Nome commerciale   Nome commerciale     

Trade names are indicative and excipients composition can be different depending on the country and manufacturers

Alkyloxan Egitto, Malaysia
Celomide India
Ciclofosfamida Argentina, Chile, Romania
Cicloxal Spagna
Cryofaxol Messico
Cycloblastin Australia
Cycloblastine Paesi Bassi
Cyclophosphamid Danimarca, Germania
Cyclophosphamide Arabia Saudita, Gran Bretagna, nuova Zelanda, Stati Uniti d’America
Cyclostin Germania
Cycloxan Malaysia
Cycram Egitto
Cytoxan Canada, Stati Uniti d’America, Ungheria
Eldamide India
Endoxan Arabia Saudita, Australia, Austria, Belgio, Chile, Colombia, Croazia, Ecuador, Emirati Arabi Uniti, Francia, Germania, Grecia, India, Iran, Italia, Lussemburgo, Marocco, nuova Zelanda, Paesi Bassi, Polonia, Portogallo, Slovenia, Svizzera, Tailandia, Tunisia, Turchia, Ungheria, Venezuela
Endoxana Gran Bretagna, Irlanda
Formitex Colombia, Messico
Genoxal Spagna
Genuxal Brasile
Hidrofosmin Messico
Ledoxan Colombia
Ledoxina Colombia, Messico
Neophos Egitto
Neosar Stati Uniti d’America
Procytox Canada
Sendoxan Danimarca, Finlandia, Islanda, Norvegia, Svezia
Syklofosfamid Finlandia, Turchia
Compatibilità   Iniezione   Compatibilità : Cyclophosphamide              
explication_incompatibilite_molecules
Molecola Solvente Bibliografia
Compatibile
Iniezione Cyclophosphamide 20 mg/ml
NaHCO3 150
Compatibile
Iniezione Cyclophosphamide
Cloruro di sodio 0,9% 4865
Compatibile
Iniezione Cyclophosphamide
NaCl 0,45% Glucosio 5% 4865
Compatibile
Iniezione Cyclophosphamide 10 mg/ml
Nutrizione parenterale (privo di lipidi) 301
Compatibile
Iniezione Cyclophosphamide 10 mg/ml
Nutrizione parenterale (con lipidi) 1415
Compatibile
Iniezione Cyclophosphamide
Glucosio 5% 4989
Compatibile
Iniezione Cyclophosphamide 10 mg/ml
Iniezione Allopurinol sodium 3 mg/ml
Cloruro di sodio 0,9% 307
Compatibile
Iniezione Cyclophosphamide 10 mg/ml
Iniezione Amifostine 10 mg/ml
Glucosio 5% 3
Torbidità immediata Incompatibile
Iniezione Cyclophosphamide 10 mg/ml
Iniezione Amphotericin B cholesteryl sulfate complex 0.83 mg/ml
Glucosio 5% 921
Compatibile
Iniezione Cyclophosphamide
Cloruro di sodio 0,9% 4989
Compatibile
Iniezione Cyclophosphamide 10 mg/ml
Iniezione Anidulafungin 0.5 mg/ml
Glucosio 5% 1982
Compatibile
Iniezione Cyclophosphamide 10 mg/ml
Iniezione Aztreonam 40 mg/ml
Glucosio 5% 99
Compatibile
Iniezione Cyclophosphamide 10 mg/ml
Iniezione Cladribine 0.5 mg/ml
NaCl 0,9% + sostanza batteriostatica 1496
Compatibile
Iniezione Cyclophosphamide 10 mg/ml
Iniezione Cladribine 0.015 mg/ml
Cloruro di sodio 0,9% 1496
Compatibile
Iniezione Cyclophosphamide 10 mg/ml
Iniezione Doripenem 5 mg/ml
Glucosio 5% 2262
Compatibile
Iniezione Cyclophosphamide 10 mg/ml
Iniezione Doripenem 5 mg/ml
Cloruro di sodio 0,9% 2262
Compatibile
Iniezione Cyclophosphamide 10 mg/ml
Iniezione Doxorubicin hydrochloride liposome peg 0.4 mg/ml
Glucosio 5% 251
Compatibile
Iniezione Cyclophosphamide 10 mg/ml
Iniezione Etoposide phosphate 5 mg/ml
Glucosio 5% 1410
Compatibile
Iniezione Cyclophosphamide 10 mg/ml
Iniezione Filgrastim 30 µg/ml
Glucosio 5% 244
Compatibile
Iniezione Cyclophosphamide 10 mg/ml
Iniezione Fludarabine phosphate 1 mg/ml
Glucosio 5% 492
Compatibile
Iniezione Cyclophosphamide 20 mg/ml
Iniezione Gallium nitrate 1 mg/ml
Cloruro di sodio 0,9% 91
Compatibile
Iniezione Cyclophosphamide 10 mg/ml
Iniezione Gemcitabine hydrochloride 10 mg/ml
Cloruro di sodio 0,9% 1423
Compatibile
Iniezione Cyclophosphamide 2 mg/ml
Iniezione Granisetron hydrochloride 1 mg/ml
Acqua per preparato iniettabile 57
Compatibile
Iniezione Cyclophosphamide 1 mg/ml
Iniezione Hydroxyzine dihydrochloride 0.5 mg/ml
Glucosio 5% 331
Compatibile
Iniezione Cyclophosphamide 4 mg/ml
Iniezione Idarubicin hydrochloride 1 mg/ml
Cloruro di sodio 0,9% 491
Precipitazioni dopo 4 ore Incompatibile
Iniezione Cyclophosphamide 10 mg/ml
Iniezione Lansoprazole 0.55 mg/ml
Cloruro di sodio 0,9% 1625
Compatibile
Iniezione Cyclophosphamide 10 mg/ml
Iniezione Linezolid 2 mg/ml
Nessuno 1925
Compatibile
Iniezione Cyclophosphamide 10 mg/ml
Iniezione Melphalan 0.1 mg/ml
Cloruro di sodio 0,9% 169
Compatibile
Iniezione Cyclophosphamide 1.8 mg/ml
Iniezione Mesna 0.54 mg/ml
Glucosio 5% 1833
Compatibile
Iniezione Cyclophosphamide 10.8 mg/ml
Iniezione Mesna 3.2 mg/ml
Glucosio 5% 1833
Compatibile
Iniezione Cyclophosphamide 1 >> 10 mg/ml
Iniezione Mesna 0.2 >> 10 mg/ml
Cloruro di sodio 0,9% 2104
Compatibile
Iniezione Cyclophosphamide 20 mg/ml
Iniezione Methotrexate sodium 30 mg/ml
Cloruro di sodio 0,9% 150
Incompatibilità non specificata Incompatibile
Iniezione Cyclophosphamide
Iniezione Mitomycin
4471
Instabilità chimica Incompatibile
Iniezione Cyclophosphamide
Iniezione Mitomycin
3128
Compatibile
Iniezione Cyclophosphamide 2 mg/ml
Iniezione Ondansetron hydrochloride 0,4 mg/ml
Cloruro di sodio 0,9% 50
Compatibile
Iniezione Cyclophosphamide 0,3 mg/ml
Iniezione Ondansetron hydrochloride 0,05 mg/ml
Cloruro di sodio 0,9% 50
Compatibile
Iniezione Cyclophosphamide 20 mg/ml
Iniezione Ondansetron hydrochloride 0,016 >> 0,16 mg/ml
Acqua per preparato iniettabile 3574
Compatibile
Iniezione Cyclophosphamide 0,3 mg/ml
Iniezione Ondansetron hydrochloride 0,05 mg/ml
Glucosio 5% 50
Compatibile
Iniezione Cyclophosphamide 2 mg/ml
Iniezione Ondansetron hydrochloride 0,4 mg/ml
Glucosio 5% 50
Compatibile
Iniezione Cyclophosphamide 10 mg/ml
Iniezione Ondansetron hydrochloride 1 mg/ml
Cloruro di sodio 0,9% 334
Compatibile
Iniezione Cyclophosphamide 10 mg/ml
Iniezione Oxaliplatin 0,5 mg/ml
Glucosio 5% 1662
Compatibile
Iniezione Cyclophosphamide 10 mg/ml
Iniezione Paclitaxel 1.2 mg/ml
Glucosio 5% 85
Compatibile
Iniezione Cyclophosphamide 10 mg/ml
Iniezione Palonosetron hydrochloride 50 µg/ml
Glucosio 5% 2016
Compatibile
Iniezione Cyclophosphamide 10 mg/ml
Iniezione Pemetrexed disodium 20 mg/ml
Cloruro di sodio 0,9% 1953
Compatibile
Iniezione Cyclophosphamide 10 mg/ml
Iniezione Piperacillin sodium / tazobactam 40/5 mg/ml
Glucosio 5% 81
Compatibile
Iniezione Cyclophosphamide 10 mg/ml
Iniezione Propofol 10 mg/ml
Nessuno 300
Instabilità dell'emulsione dopo 24 ore Incompatibile
Iniezione Cyclophosphamide 4 mg/ml
Iniezione Propofol
660
Compatibile
Iniezione Cyclophosphamide 10 mg/ml
Iniezione Sargramostim 10 µg/ml
Cloruro di sodio 0,9% 335
Compatibile
Iniezione Cyclophosphamide 20 mg/ml
Iniezione Sodium bicarbonate 14 mg/ml
Nessuno 150
Compatibile
Iniezione Cyclophosphamide 10 mg/ml
Iniezione Teniposide 0.1 mg/ml
Glucosio 5% 905
Compatibile
Iniezione Cyclophosphamide 10 mg/ml
Iniezione Thiotepa 1 mg/ml
Glucosio 5% 249
Compatibile
Iniezione Cyclophosphamide 20 mg/ml
Iniezione Topotecan 0.056 mg/ml
Glucosio 5% 1026
Compatibile
Iniezione Cyclophosphamide 20 mg/ml
Iniezione Topotecan 0.056 mg/ml
Cloruro di sodio 0,9% 1026
Compatibile
Iniezione Cyclophosphamide 10 mg/ml
Iniezione Vinorelbine tartrate 1 mg/ml
Cloruro di sodio 0,9% 84

  Mentions Légales