Utolsó frissítés :
27/04/2026
rákellenes gyógyszer   Cyclophosphamide  
Injekció
belsőleges oldat kapszula
Az oldatok stabilitása A keverékek stabilitása Stabilitást befolyásoló tényezők Kompatibilitás Az alkalmazás módja Irodalom pdf
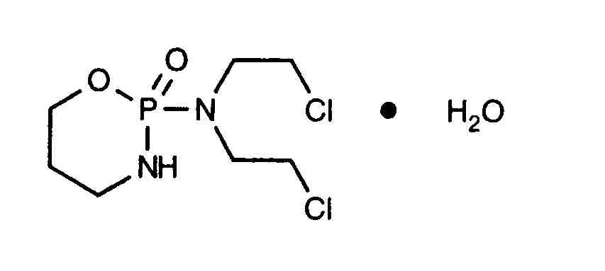
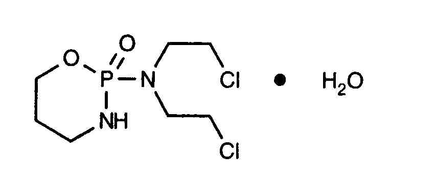
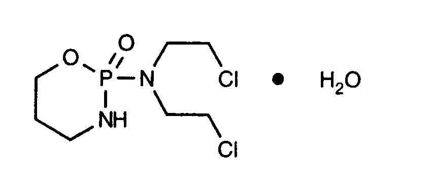
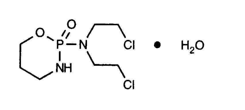
   Kémiai szerkezet   

Kereskedelmi név   Kereskedelmi név     

A kereskedelmi név meghatározó jelentőségű: a készítmények összetétele országonként, előállítóként eltérő lehet

Alkyloxan Egyiptom, Malaysia
Celomide India
Ciclofosfamida Argentína, Chile, Románia
Cicloxal Spanyolország
Cryofaxol Mexikó
Cycloblastin Ausztrália
Cycloblastine Hollandia
Cyclophosphamid Dánia, Németország
Cyclophosphamide Amerikai Egyesült Államok, Nagy-Britannia, Szaúd-Arábiában, új-Zéland
Cyclostin Németország
Cycloxan Malaysia
Cycram Egyiptom
Cytoxan Amerikai Egyesült Államok, Kanada, Magyarország
Eldamide India
Endoxan Ausztrália, Ausztria, Belgium, Chile, Colombia, Ecuador, Egyesült Arab Emírségek, Franciaország, Görögország, Hollandia, Horvátország, India, Irán, Lengyelország, Luxemburg, Magyarország, Marokkó, Németország, Olaszország, Portugália, Svájc, Szaúd-Arábiában, Szlovénia, Thaiföld, Törökország, Tunézia, új-Zéland, Venezuela
Endoxana Írország, Nagy-Britannia
Formitex Colombia, Mexikó
Genoxal Spanyolország
Genuxal Brazília
Hidrofosmin Mexikó
Ledoxan Colombia
Ledoxina Colombia, Mexikó
Neophos Egyiptom
Neosar Amerikai Egyesült Államok
Procytox Kanada
Sendoxan Dánia, Finnország, Izland, Norvégia, Svédország
Syklofosfamid Finnország, Törökország
Kompatibilitás   Injekció   Kompatibilitás : Cyclophosphamide              
Ovdje su prikazane kompatibilnosti ili nekompatibilnosti s tipom nekompatibilnosti (taloženje, promjena boje, modifikacija emulzije itd.) u ovom slučaju. Kompatibilnosti prikazane ovdje najčešće su fizikalne dok se kemijska stabilnost molekule rijetko procjenjuje. Procjena ovih mikstura je proučavana kako bi se razmotrila mogućnost primjene lijeka putem Y-mjesta. Ovi se podaci ne smiju koristiti za pripremu mikstura unaprijed u vrećicama ili štrcaljkama. Ova vrsta informacije se može pronaći u odjeljku « stabilnost u miksturama ».
Vegyület Oldószer Irodalom
Összeegyeztethető
Injekció Cyclophosphamide 20 mg/ml
NaHCO3 150
Összeegyeztethető
Injekció Cyclophosphamide
0,9% nátrium-klorid 4865
Összeegyeztethető
Injekció Cyclophosphamide
0,45% NaCl 5% glükóz 4865
Összeegyeztethető
Injekció Cyclophosphamide 10 mg/ml
Parenterális táplálás (lipid-mentes) 301
Összeegyeztethető
Injekció Cyclophosphamide 10 mg/ml
Parenterális táplálás (lipid) 1415
Összeegyeztethető
Injekció Cyclophosphamide
5% glükóz 4989
Összeegyeztethető
Injekció Cyclophosphamide 10 mg/ml
Injekció Allopurinol sodium 3 mg/ml
0,9% nátrium-klorid 307
Összeegyeztethető
Injekció Cyclophosphamide 10 mg/ml
Injekció Amifostine 10 mg/ml
5% glükóz 3
Azonnali zavarosság Összeegyeztethetetlen
Injekció Cyclophosphamide 10 mg/ml
Injekció Amphotericin B cholesteryl sulfate complex 0.83 mg/ml
5% glükóz 921
Összeegyeztethető
Injekció Cyclophosphamide
0,9% nátrium-klorid 4989
Összeegyeztethető
Injekció Cyclophosphamide 10 mg/ml
Injekció Anidulafungin 0.5 mg/ml
5% glükóz 1982
Összeegyeztethető
Injekció Cyclophosphamide 10 mg/ml
Injekció Aztreonam 40 mg/ml
5% glükóz 99
Összeegyeztethető
Injekció Cyclophosphamide 10 mg/ml
Injekció Cladribine 0.5 mg/ml
0,9% NaCl + antibakteriális szer 1496
Összeegyeztethető
Injekció Cyclophosphamide 10 mg/ml
Injekció Cladribine 0.015 mg/ml
0,9% nátrium-klorid 1496
Összeegyeztethető
Injekció Cyclophosphamide 10 mg/ml
Injekció Doripenem 5 mg/ml
5% glükóz 2262
Összeegyeztethető
Injekció Cyclophosphamide 10 mg/ml
Injekció Doripenem 5 mg/ml
0,9% nátrium-klorid 2262
Összeegyeztethető
Injekció Cyclophosphamide 10 mg/ml
Injekció Doxorubicin hydrochloride liposome peg 0.4 mg/ml
5% glükóz 251
Összeegyeztethető
Injekció Cyclophosphamide 10 mg/ml
Injekció Etoposide phosphate 5 mg/ml
5% glükóz 1410
Összeegyeztethető
Injekció Cyclophosphamide 10 mg/ml
Injekció Filgrastim 30 µg/ml
5% glükóz 244
Összeegyeztethető
Injekció Cyclophosphamide 10 mg/ml
Injekció Fludarabine phosphate 1 mg/ml
5% glükóz 492
Összeegyeztethető
Injekció Cyclophosphamide 20 mg/ml
Injekció Gallium nitrate 1 mg/ml
0,9% nátrium-klorid 91
Összeegyeztethető
Injekció Cyclophosphamide 10 mg/ml
Injekció Gemcitabine hydrochloride 10 mg/ml
0,9% nátrium-klorid 1423
Összeegyeztethető
Injekció Cyclophosphamide 2 mg/ml
Injekció Granisetron hydrochloride 1 mg/ml
Injekcióhoz való víz 57
Összeegyeztethető
Injekció Cyclophosphamide 1 mg/ml
Injekció Hydroxyzine dihydrochloride 0.5 mg/ml
5% glükóz 331
Összeegyeztethető
Injekció Cyclophosphamide 4 mg/ml
Injekció Idarubicin hydrochloride 1 mg/ml
0,9% nátrium-klorid 491
Csapadék 4 óra után Összeegyeztethetetlen
Injekció Cyclophosphamide 10 mg/ml
Injekció Lansoprazole 0.55 mg/ml
0,9% nátrium-klorid 1625
Összeegyeztethető
Injekció Cyclophosphamide 10 mg/ml
Injekció Linezolid 2 mg/ml
Egy sem 1925
Összeegyeztethető
Injekció Cyclophosphamide 10 mg/ml
Injekció Melphalan 0.1 mg/ml
0,9% nátrium-klorid 169
Összeegyeztethető
Injekció Cyclophosphamide 1.8 mg/ml
Injekció Mesna 0.54 mg/ml
5% glükóz 1833
Összeegyeztethető
Injekció Cyclophosphamide 10.8 mg/ml
Injekció Mesna 3.2 mg/ml
5% glükóz 1833
Összeegyeztethető
Injekció Cyclophosphamide 1 >> 10 mg/ml
Injekció Mesna 0.2 >> 10 mg/ml
0,9% nátrium-klorid 2104
Összeegyeztethető
Injekció Cyclophosphamide 20 mg/ml
Injekció Methotrexate sodium 30 mg/ml
0,9% nátrium-klorid 150
Meghatározatlan összeférhetetlenség Összeegyeztethetetlen
Injekció Cyclophosphamide
Injekció Mitomycin
4471
Kémiai instabilitás Összeegyeztethetetlen
Injekció Cyclophosphamide
Injekció Mitomycin
3128
Összeegyeztethető
Injekció Cyclophosphamide 2 mg/ml
Injekció Ondansetron hydrochloride 0,4 mg/ml
0,9% nátrium-klorid 50
Összeegyeztethető
Injekció Cyclophosphamide 0,3 mg/ml
Injekció Ondansetron hydrochloride 0,05 mg/ml
0,9% nátrium-klorid 50
Összeegyeztethető
Injekció Cyclophosphamide 20 mg/ml
Injekció Ondansetron hydrochloride 0,016 >> 0,16 mg/ml
Injekcióhoz való víz 3574
Összeegyeztethető
Injekció Cyclophosphamide 0,3 mg/ml
Injekció Ondansetron hydrochloride 0,05 mg/ml
5% glükóz 50
Összeegyeztethető
Injekció Cyclophosphamide 2 mg/ml
Injekció Ondansetron hydrochloride 0,4 mg/ml
5% glükóz 50
Összeegyeztethető
Injekció Cyclophosphamide 10 mg/ml
Injekció Ondansetron hydrochloride 1 mg/ml
0,9% nátrium-klorid 334
Összeegyeztethető
Injekció Cyclophosphamide 10 mg/ml
Injekció Oxaliplatin 0,5 mg/ml
5% glükóz 1662
Összeegyeztethető
Injekció Cyclophosphamide 10 mg/ml
Injekció Paclitaxel 1.2 mg/ml
5% glükóz 85
Összeegyeztethető
Injekció Cyclophosphamide 10 mg/ml
Injekció Palonosetron hydrochloride 50 µg/ml
5% glükóz 2016
Összeegyeztethető
Injekció Cyclophosphamide 10 mg/ml
Injekció Pemetrexed disodium 20 mg/ml
0,9% nátrium-klorid 1953
Összeegyeztethető
Injekció Cyclophosphamide 10 mg/ml
Injekció Piperacillin sodium / tazobactam 40/5 mg/ml
5% glükóz 81
Összeegyeztethető
Injekció Cyclophosphamide 10 mg/ml
Injekció Propofol 10 mg/ml
Egy sem 300
Az emulzió instabilitása 24 óra múlva Összeegyeztethetetlen
Injekció Cyclophosphamide 4 mg/ml
Injekció Propofol
660
Összeegyeztethető
Injekció Cyclophosphamide 10 mg/ml
Injekció Sargramostim 10 µg/ml
0,9% nátrium-klorid 335
Összeegyeztethető
Injekció Cyclophosphamide 20 mg/ml
Injekció Sodium bicarbonate 14 mg/ml
Egy sem 150
Összeegyeztethető
Injekció Cyclophosphamide 10 mg/ml
Injekció Teniposide 0.1 mg/ml
5% glükóz 905
Összeegyeztethető
Injekció Cyclophosphamide 10 mg/ml
Injekció Thiotepa 1 mg/ml
5% glükóz 249
Összeegyeztethető
Injekció Cyclophosphamide 20 mg/ml
Injekció Topotecan 0.056 mg/ml
5% glükóz 1026
Összeegyeztethető
Injekció Cyclophosphamide 20 mg/ml
Injekció Topotecan 0.056 mg/ml
0,9% nátrium-klorid 1026
Összeegyeztethető
Injekció Cyclophosphamide 10 mg/ml
Injekció Vinorelbine tartrate 1 mg/ml
0,9% nátrium-klorid 84

  Mentions Légales