Letztes “update” :
27/04/2026
Antikrebsmittel   Cyclophosphamide  
Injektion
Kapsel (Singular !) Lösung zum Einnehmen
Stabilität der Lösung Gemengestabilität Stabilitätbeeinflussende Faktoren Kompatibilitäten Applikationsart Literaturverzeichnis pdf
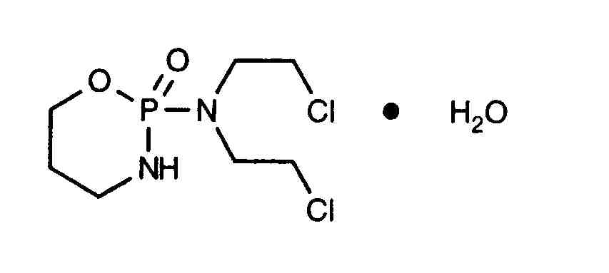
   Chemische Struktur  

Handelsmarke   Handelsmarke     

Handelsnamen sind als beispielhaft anzusehen. Sonstige Bestandteile können je nach Hersteller oder Land verschieden sein

Alkyloxan Ägypten, Malaysia
Celomide Indien
Ciclofosfamida Argentinien, Chile, Rumänien
Cicloxal Spanien
Cryofaxol Mexiko
Cycloblastin Australien
Cycloblastine Niederlande
Cyclophosphamid Dänemark, Deutschland
Cyclophosphamide Großbritannien, Neuseeland, Saudi-Arabien, Vereinigte Staaten von Amerika
Cyclostin Deutschland
Cycloxan Malaysia
Cycram Ägypten
Cytoxan Kanada, Ungarn, Vereinigte Staaten von Amerika
Eldamide Indien
Endoxan Australien, Belgien, Chile, Deutschland, Ecuador, Frankreich, Griechenland, Indien, Iran, Italien, Kolumbien, Kroatien, Luxemburg, Marokko, Neuseeland, Niederlande, Österreich, Polen, Portugal, Saudi-Arabien, Schweiz, Slowenien, Thailand, Tunesien, Türkei, Ungarn, Venezuela, Vereinigte Arabische Emirate
Endoxana Großbritannien, Irland
Formitex Kolumbien, Mexiko
Genoxal Spanien
Genuxal Brasilien
Hidrofosmin Mexiko
Ledoxan Kolumbien
Ledoxina Kolumbien, Mexiko
Neophos Ägypten
Neosar Vereinigte Staaten von Amerika
Procytox Kanada
Sendoxan Dänemark, Finnland, Island, Norwegen, Schweden
Syklofosfamid Finnland, Türkei
Kompatibilitäten   Injektion   Kompatibilitäten : Cyclophosphamide              
Dieser Bildschirm zeigt die Kompatibilitäten oder Inkompatibilitäten mit der Art der Inkompatibilität (hier: Ausfällung, Farbänderung, Modifikation einer Emulsion usw.) an. Die hier gezeigten Kompatibilitäten sind meist nur physikalisch, wobei die chemische Stabilität jedes Moleküls selten bewertet wird. Die Bewertung dieser Gemische wurde untersucht, um die Möglichkeit einer Verabreichung über eine Y-Verbindung zu berücksichtigen. Diese Daten können daher nicht zur Herstellung von Mischungen im Voraus in Beuteln oder Spritzen verwendet werden. Sie finden diese Informationen auf dem Bildschirm "Stabilität in Mischung».
Molekül Lösungsmittel Literaturverzeichnis
kompatibel
Injektion Cyclophosphamide 20 mg/ml
NaHCO3 150
kompatibel
Injektion Cyclophosphamide
0,9% Natriumchlorid 4865
kompatibel
Injektion Cyclophosphamide
0,45 NaCl  5% Glucose 4865
kompatibel
Injektion Cyclophosphamide 10 mg/ml
Parenterale Ernährung (Lipid-frei) 301
kompatibel
Injektion Cyclophosphamide 10 mg/ml
Parenterale Ernährung (mit Lipiden) 1415
kompatibel
Injektion Cyclophosphamide
5% Glucose 4989
kompatibel
Injektion Cyclophosphamide 10 mg/ml
Injektion Allopurinol sodium 3 mg/ml
0,9% Natriumchlorid 307
kompatibel
Injektion Cyclophosphamide 10 mg/ml
Injektion Amifostine 10 mg/ml
5% Glucose 3
Sofortige Trübung nicht kompatibel
Injektion Cyclophosphamide 10 mg/ml
Injektion Amphotericin B cholesteryl sulfate complex 0.83 mg/ml
5% Glucose 921
kompatibel
Injektion Cyclophosphamide
0,9% Natriumchlorid 4989
kompatibel
Injektion Cyclophosphamide 10 mg/ml
Injektion Anidulafungin 0.5 mg/ml
5% Glucose 1982
kompatibel
Injektion Cyclophosphamide 10 mg/ml
Injektion Aztreonam 40 mg/ml
5% Glucose 99
kompatibel
Injektion Cyclophosphamide 10 mg/ml
Injektion Cladribine 0.5 mg/ml
0,9% NaCl  + bakterostatsich 1496
kompatibel
Injektion Cyclophosphamide 10 mg/ml
Injektion Cladribine 0.015 mg/ml
0,9% Natriumchlorid 1496
kompatibel
Injektion Cyclophosphamide 10 mg/ml
Injektion Doripenem 5 mg/ml
5% Glucose 2262
kompatibel
Injektion Cyclophosphamide 10 mg/ml
Injektion Doripenem 5 mg/ml
0,9% Natriumchlorid 2262
kompatibel
Injektion Cyclophosphamide 10 mg/ml
Injektion Doxorubicin hydrochloride liposome peg 0.4 mg/ml
5% Glucose 251
kompatibel
Injektion Cyclophosphamide 10 mg/ml
Injektion Etoposide phosphate 5 mg/ml
5% Glucose 1410
kompatibel
Injektion Cyclophosphamide 10 mg/ml
Injektion Filgrastim 30 µg/ml
5% Glucose 244
kompatibel
Injektion Cyclophosphamide 10 mg/ml
Injektion Fludarabine phosphate 1 mg/ml
5% Glucose 492
kompatibel
Injektion Cyclophosphamide 20 mg/ml
Injektion Gallium nitrate 1 mg/ml
0,9% Natriumchlorid 91
kompatibel
Injektion Cyclophosphamide 10 mg/ml
Injektion Gemcitabine hydrochloride 10 mg/ml
0,9% Natriumchlorid 1423
kompatibel
Injektion Cyclophosphamide 2 mg/ml
Injektion Granisetron hydrochloride 1 mg/ml
Wasser für injektable präparate 57
kompatibel
Injektion Cyclophosphamide 1 mg/ml
Injektion Hydroxyzine dihydrochloride 0.5 mg/ml
5% Glucose 331
kompatibel
Injektion Cyclophosphamide 4 mg/ml
Injektion Idarubicin hydrochloride 1 mg/ml
0,9% Natriumchlorid 491
Niederschlag nach 4 Stunden nicht kompatibel
Injektion Cyclophosphamide 10 mg/ml
Injektion Lansoprazole 0.55 mg/ml
0,9% Natriumchlorid 1625
kompatibel
Injektion Cyclophosphamide 10 mg/ml
Injektion Linezolid 2 mg/ml
Kein 1925
kompatibel
Injektion Cyclophosphamide 10 mg/ml
Injektion Melphalan 0.1 mg/ml
0,9% Natriumchlorid 169
kompatibel
Injektion Cyclophosphamide 1.8 mg/ml
Injektion Mesna 0.54 mg/ml
5% Glucose 1833
kompatibel
Injektion Cyclophosphamide 10.8 mg/ml
Injektion Mesna 3.2 mg/ml
5% Glucose 1833
kompatibel
Injektion Cyclophosphamide 1 >> 10 mg/ml
Injektion Mesna 0.2 >> 10 mg/ml
0,9% Natriumchlorid 2104
kompatibel
Injektion Cyclophosphamide 20 mg/ml
Injektion Methotrexate sodium 30 mg/ml
0,9% Natriumchlorid 150
Nicht spezifizierte Inkompatibilität nicht kompatibel
Injektion Cyclophosphamide
Injektion Mitomycin
4471
Chemische Instabilität nicht kompatibel
Injektion Cyclophosphamide
Injektion Mitomycin
3128
kompatibel
Injektion Cyclophosphamide 2 mg/ml
Injektion Ondansetron hydrochloride 0,4 mg/ml
0,9% Natriumchlorid 50
kompatibel
Injektion Cyclophosphamide 0,3 mg/ml
Injektion Ondansetron hydrochloride 0,05 mg/ml
0,9% Natriumchlorid 50
kompatibel
Injektion Cyclophosphamide 20 mg/ml
Injektion Ondansetron hydrochloride 0,016 >> 0,16 mg/ml
Wasser für injektable präparate 3574
kompatibel
Injektion Cyclophosphamide 0,3 mg/ml
Injektion Ondansetron hydrochloride 0,05 mg/ml
5% Glucose 50
kompatibel
Injektion Cyclophosphamide 2 mg/ml
Injektion Ondansetron hydrochloride 0,4 mg/ml
5% Glucose 50
kompatibel
Injektion Cyclophosphamide 10 mg/ml
Injektion Ondansetron hydrochloride 1 mg/ml
0,9% Natriumchlorid 334
kompatibel
Injektion Cyclophosphamide 10 mg/ml
Injektion Oxaliplatin 0,5 mg/ml
5% Glucose 1662
kompatibel
Injektion Cyclophosphamide 10 mg/ml
Injektion Paclitaxel 1.2 mg/ml
5% Glucose 85
kompatibel
Injektion Cyclophosphamide 10 mg/ml
Injektion Palonosetron hydrochloride 50 µg/ml
5% Glucose 2016
kompatibel
Injektion Cyclophosphamide 10 mg/ml
Injektion Pemetrexed disodium 20 mg/ml
0,9% Natriumchlorid 1953
kompatibel
Injektion Cyclophosphamide 10 mg/ml
Injektion Piperacillin sodium / tazobactam 40/5 mg/ml
5% Glucose 81
kompatibel
Injektion Cyclophosphamide 10 mg/ml
Injektion Propofol 10 mg/ml
Kein 300
Instabilität der Emulsion nach 24 Stunden nicht kompatibel
Injektion Cyclophosphamide 4 mg/ml
Injektion Propofol
660
kompatibel
Injektion Cyclophosphamide 10 mg/ml
Injektion Sargramostim 10 µg/ml
0,9% Natriumchlorid 335
kompatibel
Injektion Cyclophosphamide 20 mg/ml
Injektion Sodium bicarbonate 14 mg/ml
Kein 150
kompatibel
Injektion Cyclophosphamide 10 mg/ml
Injektion Teniposide 0.1 mg/ml
5% Glucose 905
kompatibel
Injektion Cyclophosphamide 10 mg/ml
Injektion Thiotepa 1 mg/ml
5% Glucose 249
kompatibel
Injektion Cyclophosphamide 20 mg/ml
Injektion Topotecan 0.056 mg/ml
5% Glucose 1026
kompatibel
Injektion Cyclophosphamide 20 mg/ml
Injektion Topotecan 0.056 mg/ml
0,9% Natriumchlorid 1026
kompatibel
Injektion Cyclophosphamide 10 mg/ml
Injektion Vinorelbine tartrate 1 mg/ml
0,9% Natriumchlorid 84

  Mentions Légales