Pēdējā atjaunošana :
27/04/2026
vēzis narkotiku   Cyclophosphamide  
Injekcija
Kapsula Orāls šķīdums
Šķīduma stabilitāte Maisījuma stabilitāte Stabilitāti ietekmējoši faktori Saderība Levadīšanas veids Literatūras saraksts pdf
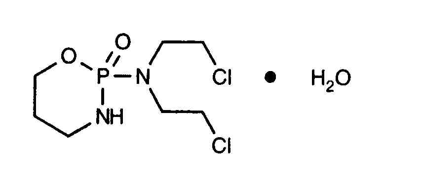
   Ķīmiskā uzbūve   

Oriģinālais nosaukums   Oriģinālais nosaukums     

Tirdzniecības nosaukumi ir apzīmējoši un palīgvielas var atšķirties dažādām valstīm un laboratorijām

Alkyloxan Ēģipte, Malaizija
Celomide Indija
Ciclofosfamida Argentīna, Čīle, Rumānija
Cicloxal Spānija
Cryofaxol Meksika
Cycloblastin Austrālija
Cycloblastine Holande
Cyclophosphamid Dānija, Vācija
Cyclophosphamide Amerikas Savienotās Valstis, Jaunzēlande, Lielbritānija, Saūda Arābija
Cyclostin Vācija
Cycloxan Malaizija
Cycram Ēģipte
Cytoxan Amerikas Savienotās Valstis, Kanāda, Ungārija
Eldamide Indija
Endoxan Apvienotie Arābu Emirāti, Austrālija, Austrija, Beļģija, Čīle, Ekvadora, Francija, Grieķija, Holande, Horvātija, Indija, Irāna, Itālija, Jaunzēlande, Kolumbija, Luksemburga, Maroka, Polija, Portugāle, Saūda Arābija, Slovēnija, Šveice, Taizeme, Tunisija, Turcija, Ungārija, Vācija, Venecuēla
Endoxana Īrija, Lielbritānija
Formitex Kolumbija, Meksika
Genoxal Spānija
Genuxal Brazīlija
Hidrofosmin Meksika
Ledoxan Kolumbija
Ledoxina Kolumbija, Meksika
Neophos Ēģipte
Neosar Amerikas Savienotās Valstis
Procytox Kanāda
Sendoxan Dānija, Islande, Norvēģija, Somija, Zviedrija
Syklofosfamid Somija, Turcija
Saderība   Injekcija   Saderība : Cyclophosphamide              
Šī tabula parāda zāļu saderību vai nesaderību, pēc iespējas arī nesaderības tipu (precipitācija, krāsas maiņa, emulsijas sadalīšanās utt). Parādītas šeit saderības ir pārsvarā tikai fizikālās, pēc iespējas tiek parādīta ķīmiskā stabilitāte katrai molekulai. Šo maisījumu analīze tikai veikta, lai izprastu iespējamību ievadīt zāles Y-savienojuma vietā sistēmā pacientam. Šie dati nevar tikt izmantoti, lai pagatavot zāļu maisījumus vēlākai lietošanai maisos vai šļircēs. Šī informācija ir pieejama sadaļā "Maisījuma stabilitāte".
Savienojums Šķīdinātājs Literatūras saraksts
Savietojams
Injekcija Cyclophosphamide 20 mg/ml
NaHCO3 150
Savietojams
Injekcija Cyclophosphamide
Nātrija hlorīds 0.9% 4865
Savietojams
Injekcija Cyclophosphamide
0.45% NaCl 5% glikoze 4865
Savietojams
Injekcija Cyclophosphamide 10 mg/ml
Parenterāla barošana (lipīdu-free) 301
Savietojams
Injekcija Cyclophosphamide 10 mg/ml
Parenterāla barošana (ar lipīdiem) 1415
Savietojams
Injekcija Cyclophosphamide
5% glikoze 4989
Savietojams
Injekcija Cyclophosphamide 10 mg/ml
Injekcija Allopurinol sodium 3 mg/ml
Nātrija hlorīds 0.9% 307
Savietojams
Injekcija Cyclophosphamide 10 mg/ml
Injekcija Amifostine 10 mg/ml
5% glikoze 3
Tūlītēja duļķainība Nesavienojams
Injekcija Cyclophosphamide 10 mg/ml
Injekcija Amphotericin B cholesteryl sulfate complex 0.83 mg/ml
5% glikoze 921
Savietojams
Injekcija Cyclophosphamide
Nātrija hlorīds 0.9% 4989
Savietojams
Injekcija Cyclophosphamide 10 mg/ml
Injekcija Anidulafungin 0.5 mg/ml
5% glikoze 1982
Savietojams
Injekcija Cyclophosphamide 10 mg/ml
Injekcija Aztreonam 40 mg/ml
5% glikoze 99
Savietojams
Injekcija Cyclophosphamide 10 mg/ml
Injekcija Cladribine 0.5 mg/ml
0.9% NaCl + antibakteriāls 1496
Savietojams
Injekcija Cyclophosphamide 10 mg/ml
Injekcija Cladribine 0.015 mg/ml
Nātrija hlorīds 0.9% 1496
Savietojams
Injekcija Cyclophosphamide 10 mg/ml
Injekcija Doripenem 5 mg/ml
5% glikoze 2262
Savietojams
Injekcija Cyclophosphamide 10 mg/ml
Injekcija Doripenem 5 mg/ml
Nātrija hlorīds 0.9% 2262
Savietojams
Injekcija Cyclophosphamide 10 mg/ml
Injekcija Doxorubicin hydrochloride liposome peg 0.4 mg/ml
5% glikoze 251
Savietojams
Injekcija Cyclophosphamide 10 mg/ml
Injekcija Etoposide phosphate 5 mg/ml
5% glikoze 1410
Savietojams
Injekcija Cyclophosphamide 10 mg/ml
Injekcija Filgrastim 30 µg/ml
5% glikoze 244
Savietojams
Injekcija Cyclophosphamide 10 mg/ml
Injekcija Fludarabine phosphate 1 mg/ml
5% glikoze 492
Savietojams
Injekcija Cyclophosphamide 20 mg/ml
Injekcija Gallium nitrate 1 mg/ml
Nātrija hlorīds 0.9% 91
Savietojams
Injekcija Cyclophosphamide 10 mg/ml
Injekcija Gemcitabine hydrochloride 10 mg/ml
Nātrija hlorīds 0.9% 1423
Savietojams
Injekcija Cyclophosphamide 2 mg/ml
Injekcija Granisetron hydrochloride 1 mg/ml
Ūdens injekcijām 57
Savietojams
Injekcija Cyclophosphamide 1 mg/ml
Injekcija Hydroxyzine dihydrochloride 0.5 mg/ml
5% glikoze 331
Savietojams
Injekcija Cyclophosphamide 4 mg/ml
Injekcija Idarubicin hydrochloride 1 mg/ml
Nātrija hlorīds 0.9% 491
Nokrišņi pēc 4 stundām Nesavienojams
Injekcija Cyclophosphamide 10 mg/ml
Injekcija Lansoprazole 0.55 mg/ml
Nātrija hlorīds 0.9% 1625
Savietojams
Injekcija Cyclophosphamide 10 mg/ml
Injekcija Linezolid 2 mg/ml
Nekāds 1925
Savietojams
Injekcija Cyclophosphamide 10 mg/ml
Injekcija Melphalan 0.1 mg/ml
Nātrija hlorīds 0.9% 169
Savietojams
Injekcija Cyclophosphamide 1.8 mg/ml
Injekcija Mesna 0.54 mg/ml
5% glikoze 1833
Savietojams
Injekcija Cyclophosphamide 10.8 mg/ml
Injekcija Mesna 3.2 mg/ml
5% glikoze 1833
Savietojams
Injekcija Cyclophosphamide 1 >> 10 mg/ml
Injekcija Mesna 0.2 >> 10 mg/ml
Nātrija hlorīds 0.9% 2104
Savietojams
Injekcija Cyclophosphamide 20 mg/ml
Injekcija Methotrexate sodium 30 mg/ml
Nātrija hlorīds 0.9% 150
Neprecizēta nesaderība Nesavienojams
Injekcija Cyclophosphamide
Injekcija Mitomycin
4471
Ķīmiskā nestabilitāte Nesavienojams
Injekcija Cyclophosphamide
Injekcija Mitomycin
3128
Savietojams
Injekcija Cyclophosphamide 2 mg/ml
Injekcija Ondansetron hydrochloride 0,4 mg/ml
Nātrija hlorīds 0.9% 50
Savietojams
Injekcija Cyclophosphamide 0,3 mg/ml
Injekcija Ondansetron hydrochloride 0,05 mg/ml
Nātrija hlorīds 0.9% 50
Savietojams
Injekcija Cyclophosphamide 20 mg/ml
Injekcija Ondansetron hydrochloride 0,016 >> 0,16 mg/ml
Ūdens injekcijām 3574
Savietojams
Injekcija Cyclophosphamide 0,3 mg/ml
Injekcija Ondansetron hydrochloride 0,05 mg/ml
5% glikoze 50
Savietojams
Injekcija Cyclophosphamide 2 mg/ml
Injekcija Ondansetron hydrochloride 0,4 mg/ml
5% glikoze 50
Savietojams
Injekcija Cyclophosphamide 10 mg/ml
Injekcija Ondansetron hydrochloride 1 mg/ml
Nātrija hlorīds 0.9% 334
Savietojams
Injekcija Cyclophosphamide 10 mg/ml
Injekcija Oxaliplatin 0,5 mg/ml
5% glikoze 1662
Savietojams
Injekcija Cyclophosphamide 10 mg/ml
Injekcija Paclitaxel 1.2 mg/ml
5% glikoze 85
Savietojams
Injekcija Cyclophosphamide 10 mg/ml
Injekcija Palonosetron hydrochloride 50 µg/ml
5% glikoze 2016
Savietojams
Injekcija Cyclophosphamide 10 mg/ml
Injekcija Pemetrexed disodium 20 mg/ml
Nātrija hlorīds 0.9% 1953
Savietojams
Injekcija Cyclophosphamide 10 mg/ml
Injekcija Piperacillin sodium / tazobactam 40/5 mg/ml
5% glikoze 81
Savietojams
Injekcija Cyclophosphamide 10 mg/ml
Injekcija Propofol 10 mg/ml
Nekāds 300
Emulsijas nestabilitāte pēc 24 stundām Nesavienojams
Injekcija Cyclophosphamide 4 mg/ml
Injekcija Propofol
660
Savietojams
Injekcija Cyclophosphamide 10 mg/ml
Injekcija Sargramostim 10 µg/ml
Nātrija hlorīds 0.9% 335
Savietojams
Injekcija Cyclophosphamide 20 mg/ml
Injekcija Sodium bicarbonate 14 mg/ml
Nekāds 150
Savietojams
Injekcija Cyclophosphamide 10 mg/ml
Injekcija Teniposide 0.1 mg/ml
5% glikoze 905
Savietojams
Injekcija Cyclophosphamide 10 mg/ml
Injekcija Thiotepa 1 mg/ml
5% glikoze 249
Savietojams
Injekcija Cyclophosphamide 20 mg/ml
Injekcija Topotecan 0.056 mg/ml
5% glikoze 1026
Savietojams
Injekcija Cyclophosphamide 20 mg/ml
Injekcija Topotecan 0.056 mg/ml
Nātrija hlorīds 0.9% 1026
Savietojams
Injekcija Cyclophosphamide 10 mg/ml
Injekcija Vinorelbine tartrate 1 mg/ml
Nātrija hlorīds 0.9% 84

  Mentions Légales