Seneste opdatering :
27/04/2026
anticancer medicin   Cyclophosphamide  
Injektion
Kapsel Oral opløsning
Stabilitet i (vandige) opløsninger Stabilitet i blandinger Faktorer der påvirker stabiliteten Kompatibilitet Administrationsvej Bibliografi pdf
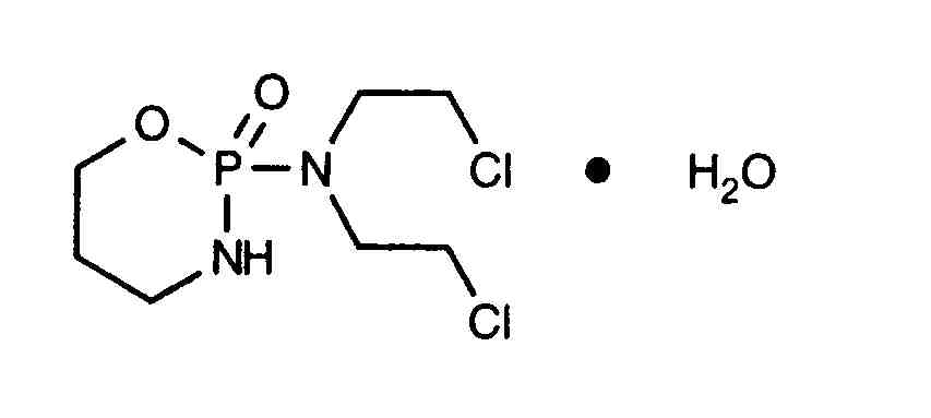
   Kemisk struktur  

Handelsnavn   Handelsnavn     

Handel navne er vejledende og hjælpestoffer sammensætning kan være forskellig afhængigt af landet og laboratorier

Alkyloxan Malaysia, Ægypten
Celomide Indien
Ciclofosfamida Argentina, Chile, Rumænien
Cicloxal Spanien
Cryofaxol Mexico
Cycloblastin Australien
Cycloblastine Holland
Cyclophosphamid Danmark, Tyskland
Cyclophosphamide New Zealand, Saudi-Arabien, Storbritanien, USA
Cyclostin Tyskland
Cycloxan Malaysia
Cycram Ægypten
Cytoxan Canada, Ungarn, USA
Eldamide Indien
Endoxan Australien, Belgien, Chile, Colombia, Ecuador, Forenede Arabiske Emirater, Frankrig, Grækenland, Holland, Indien, Iran, Italien, Kroatien, Luxemborg, Marokko, New Zealand, Polen, Portugal, Saudi-Arabien, Schweiz, Slovenien, Thailand, Tunesien, Tyrkiet, Tyskland, Ungarn, Venezuela, Østrig
Endoxana Irland, Storbritanien
Formitex Colombia, Mexico
Genoxal Spanien
Genuxal Brasilien
Hidrofosmin Mexico
Ledoxan Colombia
Ledoxina Colombia, Mexico
Neophos Ægypten
Neosar USA
Procytox Canada
Sendoxan Danmark, Finland, Island, Norge, Sverige
Syklofosfamid Finland, Tyrkiet
Kompatibilitet   Injektion   Kompatibilitet : Cyclophosphamide              
Denne skærm viser kompatibilitet eller uforenelighed med, i dette tilfælde typen af inkompatibilitet (udfældning, farveændring, ændring af en emulsion osv.). Kompatibiliteterne vist her er for det meste kun fysiske, idet den kemiske stabilitet af hvert molekyle sjældent vurderes. Evalueringen af disse blandinger blev undersøgt for at overveje muligheden for Y-sted-administration til patienten. Disse data kan ikke bruges til at fremstille blandinger på forhånd i poser eller sprøjter. Denne type information findes på skærmen "Stabilitet i blanding".
Molekyle Opløsningsmiddel Bibliografi
Kompatibel
Injektion Cyclophosphamide 20 mg/ml
NaHCO3 150
Kompatibel
Injektion Cyclophosphamide
0,9 % Natriumklorid 4865
Kompatibel
Injektion Cyclophosphamide
0,45 % NaCl - 5 % Glukose 4865
Kompatibel
Injektion Cyclophosphamide 10 mg/ml
Parenteral ernæring (lipid-fri) 301
Kompatibel
Injektion Cyclophosphamide 10 mg/ml
Parenteral ernæring (lipider) 1415
Kompatibel
Injektion Cyclophosphamide
5 % Glukose 4989
Kompatibel
Injektion Cyclophosphamide 10 mg/ml
Injektion Allopurinol sodium 3 mg/ml
0,9 % Natriumklorid 307
Kompatibel
Injektion Cyclophosphamide 10 mg/ml
Injektion Amifostine 10 mg/ml
5 % Glukose 3
Umiddelbar turbiditet Uforenelig
Injektion Cyclophosphamide 10 mg/ml
Injektion Amphotericin B cholesteryl sulfate complex 0.83 mg/ml
5 % Glukose 921
Kompatibel
Injektion Cyclophosphamide
0,9 % Natriumklorid 4989
Kompatibel
Injektion Cyclophosphamide 10 mg/ml
Injektion Anidulafungin 0.5 mg/ml
5 % Glukose 1982
Kompatibel
Injektion Cyclophosphamide 10 mg/ml
Injektion Aztreonam 40 mg/ml
5 % Glukose 99
Kompatibel
Injektion Cyclophosphamide 10 mg/ml
Injektion Cladribine 0.5 mg/ml
0,9 % NaCl + antibakteriel 1496
Kompatibel
Injektion Cyclophosphamide 10 mg/ml
Injektion Cladribine 0.015 mg/ml
0,9 % Natriumklorid 1496
Kompatibel
Injektion Cyclophosphamide 10 mg/ml
Injektion Doripenem 5 mg/ml
5 % Glukose 2262
Kompatibel
Injektion Cyclophosphamide 10 mg/ml
Injektion Doripenem 5 mg/ml
0,9 % Natriumklorid 2262
Kompatibel
Injektion Cyclophosphamide 10 mg/ml
Injektion Doxorubicin hydrochloride liposome peg 0.4 mg/ml
5 % Glukose 251
Kompatibel
Injektion Cyclophosphamide 10 mg/ml
Injektion Etoposide phosphate 5 mg/ml
5 % Glukose 1410
Kompatibel
Injektion Cyclophosphamide 10 mg/ml
Injektion Filgrastim 30 µg/ml
5 % Glukose 244
Kompatibel
Injektion Cyclophosphamide 10 mg/ml
Injektion Fludarabine phosphate 1 mg/ml
5 % Glukose 492
Kompatibel
Injektion Cyclophosphamide 20 mg/ml
Injektion Gallium nitrate 1 mg/ml
0,9 % Natriumklorid 91
Kompatibel
Injektion Cyclophosphamide 10 mg/ml
Injektion Gemcitabine hydrochloride 10 mg/ml
0,9 % Natriumklorid 1423
Kompatibel
Injektion Cyclophosphamide 2 mg/ml
Injektion Granisetron hydrochloride 1 mg/ml
Vand til injektion 57
Kompatibel
Injektion Cyclophosphamide 1 mg/ml
Injektion Hydroxyzine dihydrochloride 0.5 mg/ml
5 % Glukose 331
Kompatibel
Injektion Cyclophosphamide 4 mg/ml
Injektion Idarubicin hydrochloride 1 mg/ml
0,9 % Natriumklorid 491
Nedbør efter 4 timer Uforenelig
Injektion Cyclophosphamide 10 mg/ml
Injektion Lansoprazole 0.55 mg/ml
0,9 % Natriumklorid 1625
Kompatibel
Injektion Cyclophosphamide 10 mg/ml
Injektion Linezolid 2 mg/ml
Ingen 1925
Kompatibel
Injektion Cyclophosphamide 10 mg/ml
Injektion Melphalan 0.1 mg/ml
0,9 % Natriumklorid 169
Kompatibel
Injektion Cyclophosphamide 1.8 mg/ml
Injektion Mesna 0.54 mg/ml
5 % Glukose 1833
Kompatibel
Injektion Cyclophosphamide 10.8 mg/ml
Injektion Mesna 3.2 mg/ml
5 % Glukose 1833
Kompatibel
Injektion Cyclophosphamide 1 >> 10 mg/ml
Injektion Mesna 0.2 >> 10 mg/ml
0,9 % Natriumklorid 2104
Kompatibel
Injektion Cyclophosphamide 20 mg/ml
Injektion Methotrexate sodium 30 mg/ml
0,9 % Natriumklorid 150
Uspecificeret inkompatibilitet Uforenelig
Injektion Cyclophosphamide
Injektion Mitomycin
4471
Kemisk ustabilitet Uforenelig
Injektion Cyclophosphamide
Injektion Mitomycin
3128
Kompatibel
Injektion Cyclophosphamide 2 mg/ml
Injektion Ondansetron hydrochloride 0,4 mg/ml
0,9 % Natriumklorid 50
Kompatibel
Injektion Cyclophosphamide 0,3 mg/ml
Injektion Ondansetron hydrochloride 0,05 mg/ml
0,9 % Natriumklorid 50
Kompatibel
Injektion Cyclophosphamide 20 mg/ml
Injektion Ondansetron hydrochloride 0,016 >> 0,16 mg/ml
Vand til injektion 3574
Kompatibel
Injektion Cyclophosphamide 0,3 mg/ml
Injektion Ondansetron hydrochloride 0,05 mg/ml
5 % Glukose 50
Kompatibel
Injektion Cyclophosphamide 2 mg/ml
Injektion Ondansetron hydrochloride 0,4 mg/ml
5 % Glukose 50
Kompatibel
Injektion Cyclophosphamide 10 mg/ml
Injektion Ondansetron hydrochloride 1 mg/ml
0,9 % Natriumklorid 334
Kompatibel
Injektion Cyclophosphamide 10 mg/ml
Injektion Oxaliplatin 0,5 mg/ml
5 % Glukose 1662
Kompatibel
Injektion Cyclophosphamide 10 mg/ml
Injektion Paclitaxel 1.2 mg/ml
5 % Glukose 85
Kompatibel
Injektion Cyclophosphamide 10 mg/ml
Injektion Palonosetron hydrochloride 50 µg/ml
5 % Glukose 2016
Kompatibel
Injektion Cyclophosphamide 10 mg/ml
Injektion Pemetrexed disodium 20 mg/ml
0,9 % Natriumklorid 1953
Kompatibel
Injektion Cyclophosphamide 10 mg/ml
Injektion Piperacillin sodium / tazobactam 40/5 mg/ml
5 % Glukose 81
Kompatibel
Injektion Cyclophosphamide 10 mg/ml
Injektion Propofol 10 mg/ml
Ingen 300
Ustabilitet af emulsionen efter 24 timer Uforenelig
Injektion Cyclophosphamide 4 mg/ml
Injektion Propofol
660
Kompatibel
Injektion Cyclophosphamide 10 mg/ml
Injektion Sargramostim 10 µg/ml
0,9 % Natriumklorid 335
Kompatibel
Injektion Cyclophosphamide 20 mg/ml
Injektion Sodium bicarbonate 14 mg/ml
Ingen 150
Kompatibel
Injektion Cyclophosphamide 10 mg/ml
Injektion Teniposide 0.1 mg/ml
5 % Glukose 905
Kompatibel
Injektion Cyclophosphamide 10 mg/ml
Injektion Thiotepa 1 mg/ml
5 % Glukose 249
Kompatibel
Injektion Cyclophosphamide 20 mg/ml
Injektion Topotecan 0.056 mg/ml
5 % Glukose 1026
Kompatibel
Injektion Cyclophosphamide 20 mg/ml
Injektion Topotecan 0.056 mg/ml
0,9 % Natriumklorid 1026
Kompatibel
Injektion Cyclophosphamide 10 mg/ml
Injektion Vinorelbine tartrate 1 mg/ml
0,9 % Natriumklorid 84

  Mentions Légales