最新更新 :
27/04/2026
抗癌藥物   Cyclophosphamide  
注射液
口服剂 胶囊
溶液稳定性 混合物稳定性 影响稳定性的因素 兼容性 用药途径 引用文献 PDF
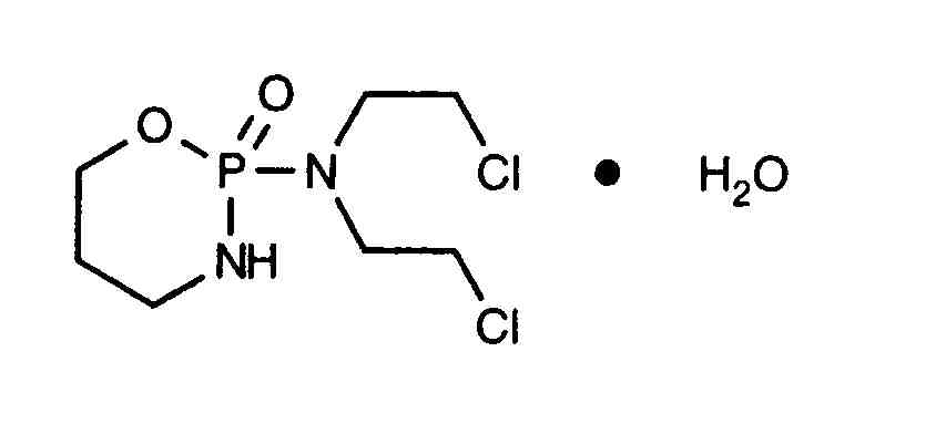
   化学式  

商品名   商品名     

商品名仅供参考, 药品所用的辅料可能依国家或厂商不同有所不同。

Alkyloxan 埃及, 马来西亚
Celomide 印度
Ciclofosfamida 智利, 罗马尼亚, 阿根廷
Cicloxal 西班牙
Cryofaxol 墨西哥
Cycloblastin 澳大利亚
Cycloblastine 荷兰
Cyclophosphamid 丹麦, 德国
Cyclophosphamide 新西蘭, 沙特阿拉伯, 美国, 英国
Cyclostin 德国
Cycloxan 马来西亚
Cycram 埃及
Cytoxan 加拿大, 匈牙利, 美国
Eldamide 印度
Endoxan 伊朗, 克罗地亚, 匈牙利, 卢森堡, 印度, 厄瓜多尔, 哥伦比亚, 土耳其, 奥地利, 委内瑞拉, 希腊, 德国, 意大利, 摩洛哥, 斯洛文尼亚, 新西蘭, 智利, 比利时, 沙特阿拉伯, 法国, 波兰, 泰国, 澳大利亚, 瑞士, 突尼斯, 荷兰, 葡萄牙, 阿联酋
Endoxana 爱尔兰, 英国
Formitex 哥伦比亚, 墨西哥
Genoxal 西班牙
Genuxal 巴西
Hidrofosmin 墨西哥
Ledoxan 哥伦比亚
Ledoxina 哥伦比亚, 墨西哥
Neophos 埃及
Neosar 美国
Procytox 加拿大
Sendoxan 丹麦, 冰岛, 挪威, 瑞典, 芬兰
Syklofosfamid 土耳其, 芬兰
兼容性   注射液   兼容性 : Cyclophosphamide              
This screen indicates the compatibilities or incompatibilities with, in this case, the type of incompatibility (precipitation, color change, modification of an emulsion, etc.). The compatibilities shown here are mostly physical only, with the chemical stability of each molecule rarely being assessed. The evaluation of these mixtures was studied to consider the possibility of Y-site administration to the patient. These data cannot be used for making mixtures in advance in bags or syringes. This type of information is available in the screen "Stability in mixture ».
分子 溶剂 引用文献
兼容
注射液 Cyclophosphamide 20 mg/ml
NaHCO3 150
兼容
注射液 Cyclophosphamide
NaCl 0,9% 4865
兼容
注射液 Cyclophosphamide
NaCl 0,45% 葡萄糖 5% 4865
兼容
注射液 Cyclophosphamide 10 mg/ml
肠外营养(二种混合物) 301
兼容
注射液 Cyclophosphamide 10 mg/ml
肠外营养(含脂肪) 1415
兼容
注射液 Cyclophosphamide
葡萄糖5% 4989
兼容
注射液 Cyclophosphamide 10 mg/ml
注射液 Allopurinol sodium 3 mg/ml
NaCl 0,9% 307
兼容
注射液 Cyclophosphamide 10 mg/ml
注射液 Amifostine 10 mg/ml
葡萄糖5% 3
立即渾濁 不相容
注射液 Cyclophosphamide 10 mg/ml
注射液 Amphotericin B cholesteryl sulfate complex 0.83 mg/ml
葡萄糖5% 921
兼容
注射液 Cyclophosphamide
NaCl 0,9% 4989
兼容
注射液 Cyclophosphamide 10 mg/ml
注射液 Anidulafungin 0.5 mg/ml
葡萄糖5% 1982
兼容
注射液 Cyclophosphamide 10 mg/ml
注射液 Aztreonam 40 mg/ml
葡萄糖5% 99
兼容
注射液 Cyclophosphamide 10 mg/ml
注射液 Cladribine 0.5 mg/ml
NaCl 0,9%+抗生素 1496
兼容
注射液 Cyclophosphamide 10 mg/ml
注射液 Cladribine 0.015 mg/ml
NaCl 0,9% 1496
兼容
注射液 Cyclophosphamide 10 mg/ml
注射液 Doripenem 5 mg/ml
葡萄糖5% 2262
兼容
注射液 Cyclophosphamide 10 mg/ml
注射液 Doripenem 5 mg/ml
NaCl 0,9% 2262
兼容
注射液 Cyclophosphamide 10 mg/ml
注射液 Doxorubicin hydrochloride liposome peg 0.4 mg/ml
葡萄糖5% 251
兼容
注射液 Cyclophosphamide 10 mg/ml
注射液 Etoposide phosphate 5 mg/ml
葡萄糖5% 1410
兼容
注射液 Cyclophosphamide 10 mg/ml
注射液 Filgrastim 30 µg/ml
葡萄糖5% 244
兼容
注射液 Cyclophosphamide 10 mg/ml
注射液 Fludarabine phosphate 1 mg/ml
葡萄糖5% 492
兼容
注射液 Cyclophosphamide 20 mg/ml
注射液 Gallium nitrate 1 mg/ml
NaCl 0,9% 91
兼容
注射液 Cyclophosphamide 10 mg/ml
注射液 Gemcitabine hydrochloride 10 mg/ml
NaCl 0,9% 1423
兼容
注射液 Cyclophosphamide 2 mg/ml
注射液 Granisetron hydrochloride 1 mg/ml
注射用水 57
兼容
注射液 Cyclophosphamide 1 mg/ml
注射液 Hydroxyzine dihydrochloride 0.5 mg/ml
葡萄糖5% 331
兼容
注射液 Cyclophosphamide 4 mg/ml
注射液 Idarubicin hydrochloride 1 mg/ml
NaCl 0,9% 491
4小時後出現沉澱 不相容
注射液 Cyclophosphamide 10 mg/ml
注射液 Lansoprazole 0.55 mg/ml
NaCl 0,9% 1625
兼容
注射液 Cyclophosphamide 10 mg/ml
注射液 Linezolid 2 mg/ml
无 1925
兼容
注射液 Cyclophosphamide 10 mg/ml
注射液 Melphalan 0.1 mg/ml
NaCl 0,9% 169
兼容
注射液 Cyclophosphamide 1.8 mg/ml
注射液 Mesna 0.54 mg/ml
葡萄糖5% 1833
兼容
注射液 Cyclophosphamide 10.8 mg/ml
注射液 Mesna 3.2 mg/ml
葡萄糖5% 1833
兼容
注射液 Cyclophosphamide 1 >> 10 mg/ml
注射液 Mesna 0.2 >> 10 mg/ml
NaCl 0,9% 2104
兼容
注射液 Cyclophosphamide 20 mg/ml
注射液 Methotrexate sodium 30 mg/ml
NaCl 0,9% 150
未指定的不兼容性 不相容
注射液 Cyclophosphamide
注射液 Mitomycin
4471
化學不穩定性 不相容
注射液 Cyclophosphamide
注射液 Mitomycin
3128
兼容
注射液 Cyclophosphamide 2 mg/ml
注射液 Ondansetron hydrochloride 0,4 mg/ml
NaCl 0,9% 50
兼容
注射液 Cyclophosphamide 0,3 mg/ml
注射液 Ondansetron hydrochloride 0,05 mg/ml
NaCl 0,9% 50
兼容
注射液 Cyclophosphamide 20 mg/ml
注射液 Ondansetron hydrochloride 0,016 >> 0,16 mg/ml
注射用水 3574
兼容
注射液 Cyclophosphamide 0,3 mg/ml
注射液 Ondansetron hydrochloride 0,05 mg/ml
葡萄糖5% 50
兼容
注射液 Cyclophosphamide 2 mg/ml
注射液 Ondansetron hydrochloride 0,4 mg/ml
葡萄糖5% 50
兼容
注射液 Cyclophosphamide 10 mg/ml
注射液 Ondansetron hydrochloride 1 mg/ml
NaCl 0,9% 334
兼容
注射液 Cyclophosphamide 10 mg/ml
注射液 Oxaliplatin 0,5 mg/ml
葡萄糖5% 1662
兼容
注射液 Cyclophosphamide 10 mg/ml
注射液 Paclitaxel 1.2 mg/ml
葡萄糖5% 85
兼容
注射液 Cyclophosphamide 10 mg/ml
注射液 Palonosetron hydrochloride 50 µg/ml
葡萄糖5% 2016
兼容
注射液 Cyclophosphamide 10 mg/ml
注射液 Pemetrexed disodium 20 mg/ml
NaCl 0,9% 1953
兼容
注射液 Cyclophosphamide 10 mg/ml
注射液 Piperacillin sodium / tazobactam 40/5 mg/ml
葡萄糖5% 81
兼容
注射液 Cyclophosphamide 10 mg/ml
注射液 Propofol 10 mg/ml
无 300
24小時後乳液的不穩定性 不相容
注射液 Cyclophosphamide 4 mg/ml
注射液 Propofol
660
兼容
注射液 Cyclophosphamide 10 mg/ml
注射液 Sargramostim 10 µg/ml
NaCl 0,9% 335
兼容
注射液 Cyclophosphamide 20 mg/ml
注射液 Sodium bicarbonate 14 mg/ml
无 150
兼容
注射液 Cyclophosphamide 10 mg/ml
注射液 Teniposide 0.1 mg/ml
葡萄糖5% 905
兼容
注射液 Cyclophosphamide 10 mg/ml
注射液 Thiotepa 1 mg/ml
葡萄糖5% 249
兼容
注射液 Cyclophosphamide 20 mg/ml
注射液 Topotecan 0.056 mg/ml
葡萄糖5% 1026
兼容
注射液 Cyclophosphamide 20 mg/ml
注射液 Topotecan 0.056 mg/ml
NaCl 0,9% 1026
兼容
注射液 Cyclophosphamide 10 mg/ml
注射液 Vinorelbine tartrate 1 mg/ml
NaCl 0,9% 84

  Mentions Légales