Última actualización :
27/04/2026
fármacos contra el cáncer   Cyclophosphamide  
Inyectables
Cápsula Solución Oral
Estabilidad en solucion Estabilidad en mezcla Factores que influyen sobre la estabilidad Compatibilidades método de inyección Bibliografía pdf
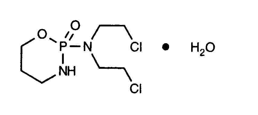
   Estructura química  

Nombre comercial   Nombre comercial     

Los nombres comerciales son orientativos y los excipientes de la formulación pueden ser distintos dependiendo del país y del laboratorio fabricante.

Alkyloxan Egipto, Malasia
Celomide India
Ciclofosfamida Argentina, Chile, Rumania
Cicloxal España
Cryofaxol México
Cycloblastin Australia
Cycloblastine Países Bajos
Cyclophosphamid Alemania, Dinamarca
Cyclophosphamide Arabia Saudita, Estados Unidos de América, Gran Bretaña, Nueva Zelanda
Cyclostin Alemania
Cycloxan Malasia
Cycram Egipto
Cytoxan Canadá, Estados Unidos de América, Hungría
Eldamide India
Endoxan Alemania, Arabia Saudita, Australia, Austria, Bélgica, Chile, Colombia, Croacia, Ecuador, Emiratos Árabes Unidos, Eslovenia, Francia, Grecia, Hungría, India, Irán, Italia, Luxemburgo, Marruecos, Nueva Zelanda, Países Bajos, Polonia, Portugal, Suiza, Tailandia, Túnez, Turquía, Venezuela
Endoxana Gran Bretaña, Irlanda
Formitex Colombia, México
Genoxal España
Genuxal Brasil
Hidrofosmin México
Ledoxan Colombia
Ledoxina Colombia, México
Neophos Egipto
Neosar Estados Unidos de América
Procytox Canadá
Sendoxan Dinamarca, Finlandia, Islandia, Noruega, Suecia
Syklofosfamid Finlandia, Turquía
Compatibilidades   Inyectables   Compatibilidades : Cyclophosphamide              
Esta pantalla muestra las compatibilidades o incompatibilidades, así como el tipo de incompatibilidad (precipitación, cambio de color, modificación de una emulsión, etc). Las compatibilidades que se recogen aquí son fundamentalmente físicas, mostrando raramente la estabilidad química de la molécula. La evaluación de estas mezclas se estudió con el fin de de comprobar la posibilidad de administración en Y al paciente. Estos datos no pueden utilizarse en el caso de la preparación de mezclas dentro de bolsas o jeringas. Este tipo de información está disponible en la pantalla “Estabilidad en mezcla”.
Molécula Solvente Bibliografía
Compatible
Inyectables Cyclophosphamide 20 mg/ml
NaHCO3 150
Compatible
Inyectables Cyclophosphamide
Cloruro de sodio 0,9% 4865
Compatible
Inyectables Cyclophosphamide
NaCl 0,45% Glucosa 5% 4865
Compatible
Inyectables Cyclophosphamide 10 mg/ml
Nutrición parenteral (libre de lípidos) 301
Compatible
Inyectables Cyclophosphamide 10 mg/ml
Nutrición parenteral (con lípidos) 1415
Compatible
Inyectables Cyclophosphamide
Glucosa 5% 4989
Compatible
Inyectables Cyclophosphamide 10 mg/ml
Inyectables Allopurinol sodium 3 mg/ml
Cloruro de sodio 0,9% 307
Compatible
Inyectables Cyclophosphamide 10 mg/ml
Inyectables Amifostine 10 mg/ml
Glucosa 5% 3
Turbidez inmediata Incompatible
Inyectables Cyclophosphamide 10 mg/ml
Inyectables Amphotericin B cholesteryl sulfate complex 0.83 mg/ml
Glucosa 5% 921
Compatible
Inyectables Cyclophosphamide
Cloruro de sodio 0,9% 4989
Compatible
Inyectables Cyclophosphamide 10 mg/ml
Inyectables Anidulafungin 0.5 mg/ml
Glucosa 5% 1982
Compatible
Inyectables Cyclophosphamide 10 mg/ml
Inyectables Aztreonam 40 mg/ml
Glucosa 5% 99
Compatible
Inyectables Cyclophosphamide 10 mg/ml
Inyectables Cladribine 0.5 mg/ml
NaCl 0,9% + bacteriostático 1496
Compatible
Inyectables Cyclophosphamide 10 mg/ml
Inyectables Cladribine 0.015 mg/ml
Cloruro de sodio 0,9% 1496
Compatible
Inyectables Cyclophosphamide 10 mg/ml
Inyectables Doripenem 5 mg/ml
Glucosa 5% 2262
Compatible
Inyectables Cyclophosphamide 10 mg/ml
Inyectables Doripenem 5 mg/ml
Cloruro de sodio 0,9% 2262
Compatible
Inyectables Cyclophosphamide 10 mg/ml
Inyectables Doxorubicin hydrochloride liposome peg 0.4 mg/ml
Glucosa 5% 251
Compatible
Inyectables Cyclophosphamide 10 mg/ml
Inyectables Etoposide phosphate 5 mg/ml
Glucosa 5% 1410
Compatible
Inyectables Cyclophosphamide 10 mg/ml
Inyectables Filgrastim 30 µg/ml
Glucosa 5% 244
Compatible
Inyectables Cyclophosphamide 10 mg/ml
Inyectables Fludarabine phosphate 1 mg/ml
Glucosa 5% 492
Compatible
Inyectables Cyclophosphamide 20 mg/ml
Inyectables Gallium nitrate 1 mg/ml
Cloruro de sodio 0,9% 91
Compatible
Inyectables Cyclophosphamide 10 mg/ml
Inyectables Gemcitabine hydrochloride 10 mg/ml
Cloruro de sodio 0,9% 1423
Compatible
Inyectables Cyclophosphamide 2 mg/ml
Inyectables Granisetron hydrochloride 1 mg/ml
Agua para preparación inyectable 57
Compatible
Inyectables Cyclophosphamide 1 mg/ml
Inyectables Hydroxyzine dihydrochloride 0.5 mg/ml
Glucosa 5% 331
Compatible
Inyectables Cyclophosphamide 4 mg/ml
Inyectables Idarubicin hydrochloride 1 mg/ml
Cloruro de sodio 0,9% 491
Precipitación después de 4 horas. Incompatible
Inyectables Cyclophosphamide 10 mg/ml
Inyectables Lansoprazole 0.55 mg/ml
Cloruro de sodio 0,9% 1625
Compatible
Inyectables Cyclophosphamide 10 mg/ml
Inyectables Linezolid 2 mg/ml
Ninguno 1925
Compatible
Inyectables Cyclophosphamide 10 mg/ml
Inyectables Melphalan 0.1 mg/ml
Cloruro de sodio 0,9% 169
Compatible
Inyectables Cyclophosphamide 1.8 mg/ml
Inyectables Mesna 0.54 mg/ml
Glucosa 5% 1833
Compatible
Inyectables Cyclophosphamide 10.8 mg/ml
Inyectables Mesna 3.2 mg/ml
Glucosa 5% 1833
Compatible
Inyectables Cyclophosphamide 1 >> 10 mg/ml
Inyectables Mesna 0.2 >> 10 mg/ml
Cloruro de sodio 0,9% 2104
Compatible
Inyectables Cyclophosphamide 20 mg/ml
Inyectables Methotrexate sodium 30 mg/ml
Cloruro de sodio 0,9% 150
Incompatibilidad no especificada Incompatible
Inyectables Cyclophosphamide
Inyectables Mitomycin
4471
Inestabilidad química Incompatible
Inyectables Cyclophosphamide
Inyectables Mitomycin
3128
Compatible
Inyectables Cyclophosphamide 2 mg/ml
Inyectables Ondansetron hydrochloride 0,4 mg/ml
Cloruro de sodio 0,9% 50
Compatible
Inyectables Cyclophosphamide 0,3 mg/ml
Inyectables Ondansetron hydrochloride 0,05 mg/ml
Cloruro de sodio 0,9% 50
Compatible
Inyectables Cyclophosphamide 20 mg/ml
Inyectables Ondansetron hydrochloride 0,016 >> 0,16 mg/ml
Agua para preparación inyectable 3574
Compatible
Inyectables Cyclophosphamide 0,3 mg/ml
Inyectables Ondansetron hydrochloride 0,05 mg/ml
Glucosa 5% 50
Compatible
Inyectables Cyclophosphamide 2 mg/ml
Inyectables Ondansetron hydrochloride 0,4 mg/ml
Glucosa 5% 50
Compatible
Inyectables Cyclophosphamide 10 mg/ml
Inyectables Ondansetron hydrochloride 1 mg/ml
Cloruro de sodio 0,9% 334
Compatible
Inyectables Cyclophosphamide 10 mg/ml
Inyectables Oxaliplatin 0,5 mg/ml
Glucosa 5% 1662
Compatible
Inyectables Cyclophosphamide 10 mg/ml
Inyectables Paclitaxel 1.2 mg/ml
Glucosa 5% 85
Compatible
Inyectables Cyclophosphamide 10 mg/ml
Inyectables Palonosetron hydrochloride 50 µg/ml
Glucosa 5% 2016
Compatible
Inyectables Cyclophosphamide 10 mg/ml
Inyectables Pemetrexed disodium 20 mg/ml
Cloruro de sodio 0,9% 1953
Compatible
Inyectables Cyclophosphamide 10 mg/ml
Inyectables Piperacillin sodium / tazobactam 40/5 mg/ml
Glucosa 5% 81
Compatible
Inyectables Cyclophosphamide 10 mg/ml
Inyectables Propofol 10 mg/ml
Ninguno 300
Inestabilidad de la emulsión después de 24 horas. Incompatible
Inyectables Cyclophosphamide 4 mg/ml
Inyectables Propofol
660
Compatible
Inyectables Cyclophosphamide 10 mg/ml
Inyectables Sargramostim 10 µg/ml
Cloruro de sodio 0,9% 335
Compatible
Inyectables Cyclophosphamide 20 mg/ml
Inyectables Sodium bicarbonate 14 mg/ml
Ninguno 150
Compatible
Inyectables Cyclophosphamide 10 mg/ml
Inyectables Teniposide 0.1 mg/ml
Glucosa 5% 905
Compatible
Inyectables Cyclophosphamide 10 mg/ml
Inyectables Thiotepa 1 mg/ml
Glucosa 5% 249
Compatible
Inyectables Cyclophosphamide 20 mg/ml
Inyectables Topotecan 0.056 mg/ml
Glucosa 5% 1026
Compatible
Inyectables Cyclophosphamide 20 mg/ml
Inyectables Topotecan 0.056 mg/ml
Cloruro de sodio 0,9% 1026
Compatible
Inyectables Cyclophosphamide 10 mg/ml
Inyectables Vinorelbine tartrate 1 mg/ml
Cloruro de sodio 0,9% 84

  Mentions Légales