Останнє оновлення :
27/04/2026
Протипухлинний препарат   Cyclophosphamide  
ін'єкція
капсула Розчин для перорального застосування
Стійкість в розчинах Стійкість сумішей Фактори, що впливають на стабільність Сумісність Шлях введення Список літератури pdf
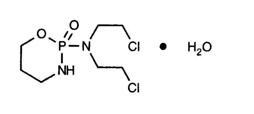
   Хімічна структура  

Торгова назва   Торгова назва     

Торгові назви є орієнтовними, а склад допоміжних речовин може бути різним залежно від країни та виробника

Alkyloxan Єгипет, Малайзія
Celomide Індія
Ciclofosfamida Аргентина, Румунія, Чилі
Cicloxal Іспанія
Cryofaxol Мексика
Cycloblastin Австралія
Cycloblastine Нідерланди
Cyclophosphamid Данія, Німеччина
Cyclophosphamide Великобританія, Нова Зеландія, Саудівська Аравія, Сполучені Штати Америки
Cyclostin Німеччина
Cycloxan Малайзія
Cycram Єгипет
Cytoxan Канада, Сполучені Штати Америки, Угорщина
Eldamide Індія
Endoxan Індія, Іран, Італія, Австрія, Австралія, Бельгія, Венесуела, Греція, Еквадор, Колумбія, Люксембург, Марокко, Нідерланди, Німеччина, Нова Зеландія, Об'єднані Арабські Емірати, Польща, Португалія, Саудівська Аравія, Словенія, Таїланд, Туніс, Туреччина, Угорщина, Франція, Хорватія, Чилі, Швейцарія
Endoxana Ірландія, Великобританія
Formitex Колумбія, Мексика
Genoxal Іспанія
Genuxal Бразилія
Hidrofosmin Мексика
Ledoxan Колумбія
Ledoxina Колумбія, Мексика
Neophos Єгипет
Neosar Сполучені Штати Америки
Procytox Канада
Sendoxan Ісландія, Данія, Норвегія, Фінляндія, Швеція
Syklofosfamid Туреччина, Фінляндія
Сумісність   ін'єкція   Сумісність : Cyclophosphamide              
explication_incompatibilite_molecules
З'єднання Розчинник Список літератури
сумісний
ін'єкція Cyclophosphamide 20 mg/ml
NaHCO3 150
сумісний
ін'єкція Cyclophosphamide
Натрію хлорид 0,9% 4865
сумісний
ін'єкція Cyclophosphamide
NaCl 0,45% Глюкоза 5% 4865
сумісний
ін'єкція Cyclophosphamide 10 mg/ml
Парентеральне харчування (бінарна суміш) 301
сумісний
ін'єкція Cyclophosphamide 10 mg/ml
Парентеральне харчування (ліпідами) 1415
сумісний
ін'єкція Cyclophosphamide
Глюкоза 5% 4989
сумісний
ін'єкція Cyclophosphamide 10 mg/ml
ін'єкція Allopurinol sodium 3 mg/ml
Натрію хлорид 0,9% 307
сумісний
ін'єкція Cyclophosphamide 10 mg/ml
ін'єкція Amifostine 10 mg/ml
Глюкоза 5% 3
Негайне помутніння Несумісні
ін'єкція Cyclophosphamide 10 mg/ml
ін'єкція Amphotericin B cholesteryl sulfate complex 0.83 mg/ml
Глюкоза 5% 921
сумісний
ін'єкція Cyclophosphamide
Натрію хлорид 0,9% 4989
сумісний
ін'єкція Cyclophosphamide 10 mg/ml
ін'єкція Anidulafungin 0.5 mg/ml
Глюкоза 5% 1982
сумісний
ін'єкція Cyclophosphamide 10 mg/ml
ін'єкція Aztreonam 40 mg/ml
Глюкоза 5% 99
сумісний
ін'єкція Cyclophosphamide 10 mg/ml
ін'єкція Cladribine 0.5 mg/ml
NaCl 0,9% + антибактеріальний 1496
сумісний
ін'єкція Cyclophosphamide 10 mg/ml
ін'єкція Cladribine 0.015 mg/ml
Натрію хлорид 0,9% 1496
сумісний
ін'єкція Cyclophosphamide 10 mg/ml
ін'єкція Doripenem 5 mg/ml
Глюкоза 5% 2262
сумісний
ін'єкція Cyclophosphamide 10 mg/ml
ін'єкція Doripenem 5 mg/ml
Натрію хлорид 0,9% 2262
сумісний
ін'єкція Cyclophosphamide 10 mg/ml
ін'єкція Doxorubicin hydrochloride liposome peg 0.4 mg/ml
Глюкоза 5% 251
сумісний
ін'єкція Cyclophosphamide 10 mg/ml
ін'єкція Etoposide phosphate 5 mg/ml
Глюкоза 5% 1410
сумісний
ін'єкція Cyclophosphamide 10 mg/ml
ін'єкція Filgrastim 30 µg/ml
Глюкоза 5% 244
сумісний
ін'єкція Cyclophosphamide 10 mg/ml
ін'єкція Fludarabine phosphate 1 mg/ml
Глюкоза 5% 492
сумісний
ін'єкція Cyclophosphamide 20 mg/ml
ін'єкція Gallium nitrate 1 mg/ml
Натрію хлорид 0,9% 91
сумісний
ін'єкція Cyclophosphamide 10 mg/ml
ін'єкція Gemcitabine hydrochloride 10 mg/ml
Натрію хлорид 0,9% 1423
сумісний
ін'єкція Cyclophosphamide 2 mg/ml
ін'єкція Granisetron hydrochloride 1 mg/ml
Вода для ін'єкцій 57
сумісний
ін'єкція Cyclophosphamide 1 mg/ml
ін'єкція Hydroxyzine dihydrochloride 0.5 mg/ml
Глюкоза 5% 331
сумісний
ін'єкція Cyclophosphamide 4 mg/ml
ін'єкція Idarubicin hydrochloride 1 mg/ml
Натрію хлорид 0,9% 491
Опади через 4 год Несумісні
ін'єкція Cyclophosphamide 10 mg/ml
ін'єкція Lansoprazole 0.55 mg/ml
Натрію хлорид 0,9% 1625
сумісний
ін'єкція Cyclophosphamide 10 mg/ml
ін'єкція Linezolid 2 mg/ml
Жодного 1925
сумісний
ін'єкція Cyclophosphamide 10 mg/ml
ін'єкція Melphalan 0.1 mg/ml
Натрію хлорид 0,9% 169
сумісний
ін'єкція Cyclophosphamide 1.8 mg/ml
ін'єкція Mesna 0.54 mg/ml
Глюкоза 5% 1833
сумісний
ін'єкція Cyclophosphamide 10.8 mg/ml
ін'єкція Mesna 3.2 mg/ml
Глюкоза 5% 1833
сумісний
ін'єкція Cyclophosphamide 1 >> 10 mg/ml
ін'єкція Mesna 0.2 >> 10 mg/ml
Натрію хлорид 0,9% 2104
сумісний
ін'єкція Cyclophosphamide 20 mg/ml
ін'єкція Methotrexate sodium 30 mg/ml
Натрію хлорид 0,9% 150
Неуточнена несумісність Несумісні
ін'єкція Cyclophosphamide
ін'єкція Mitomycin
4471
Хімічна нестійкість Несумісні
ін'єкція Cyclophosphamide
ін'єкція Mitomycin
3128
сумісний
ін'єкція Cyclophosphamide 2 mg/ml
ін'єкція Ondansetron hydrochloride 0,4 mg/ml
Натрію хлорид 0,9% 50
сумісний
ін'єкція Cyclophosphamide 0,3 mg/ml
ін'єкція Ondansetron hydrochloride 0,05 mg/ml
Натрію хлорид 0,9% 50
сумісний
ін'єкція Cyclophosphamide 20 mg/ml
ін'єкція Ondansetron hydrochloride 0,016 >> 0,16 mg/ml
Вода для ін'єкцій 3574
сумісний
ін'єкція Cyclophosphamide 0,3 mg/ml
ін'єкція Ondansetron hydrochloride 0,05 mg/ml
Глюкоза 5% 50
сумісний
ін'єкція Cyclophosphamide 2 mg/ml
ін'єкція Ondansetron hydrochloride 0,4 mg/ml
Глюкоза 5% 50
сумісний
ін'єкція Cyclophosphamide 10 mg/ml
ін'єкція Ondansetron hydrochloride 1 mg/ml
Натрію хлорид 0,9% 334
сумісний
ін'єкція Cyclophosphamide 10 mg/ml
ін'єкція Oxaliplatin 0,5 mg/ml
Глюкоза 5% 1662
сумісний
ін'єкція Cyclophosphamide 10 mg/ml
ін'єкція Paclitaxel 1.2 mg/ml
Глюкоза 5% 85
сумісний
ін'єкція Cyclophosphamide 10 mg/ml
ін'єкція Palonosetron hydrochloride 50 µg/ml
Глюкоза 5% 2016
сумісний
ін'єкція Cyclophosphamide 10 mg/ml
ін'єкція Pemetrexed disodium 20 mg/ml
Натрію хлорид 0,9% 1953
сумісний
ін'єкція Cyclophosphamide 10 mg/ml
ін'єкція Piperacillin sodium / tazobactam 40/5 mg/ml
Глюкоза 5% 81
сумісний
ін'єкція Cyclophosphamide 10 mg/ml
ін'єкція Propofol 10 mg/ml
Жодного 300
Нестійкість емульсії через 24 години Несумісні
ін'єкція Cyclophosphamide 4 mg/ml
ін'єкція Propofol
660
сумісний
ін'єкція Cyclophosphamide 10 mg/ml
ін'єкція Sargramostim 10 µg/ml
Натрію хлорид 0,9% 335
сумісний
ін'єкція Cyclophosphamide 20 mg/ml
ін'єкція Sodium bicarbonate 14 mg/ml
Жодного 150
сумісний
ін'єкція Cyclophosphamide 10 mg/ml
ін'єкція Teniposide 0.1 mg/ml
Глюкоза 5% 905
сумісний
ін'єкція Cyclophosphamide 10 mg/ml
ін'єкція Thiotepa 1 mg/ml
Глюкоза 5% 249
сумісний
ін'єкція Cyclophosphamide 20 mg/ml
ін'єкція Topotecan 0.056 mg/ml
Глюкоза 5% 1026
сумісний
ін'єкція Cyclophosphamide 20 mg/ml
ін'єкція Topotecan 0.056 mg/ml
Натрію хлорид 0,9% 1026
сумісний
ін'єкція Cyclophosphamide 10 mg/ml
ін'єкція Vinorelbine tartrate 1 mg/ml
Натрію хлорид 0,9% 84

  Mentions Légales