Cập nhật lần cuối :
27/04/2026
thuốc trị ung thư   Cyclophosphamide  
Dạng tiêm
Dung dịch uống Viên nang
Tính ổn định của các dung dịch Độ ổn định khi trộn lẫn Những yếu tố ảnh hưởng đến độ ổn định Khả năng tương thích Đường dùng Tài liệu tham khảo Pdf
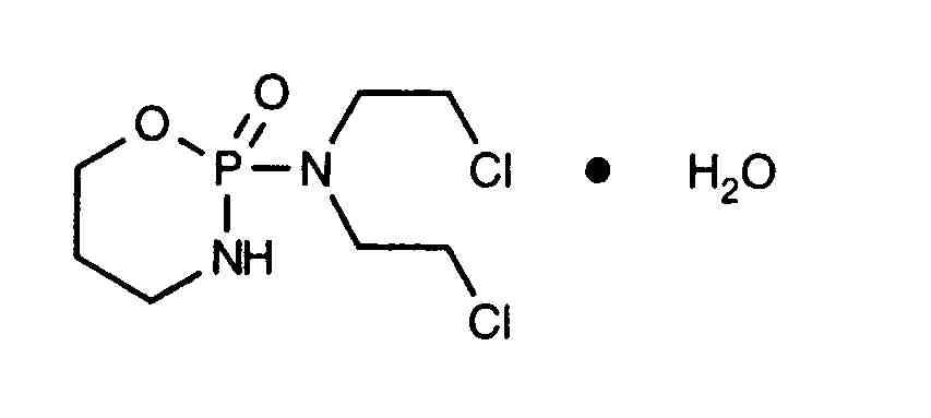
   Cấu trúc hóa học  

Tên thương mại   Tên thương mại     

Các tên thương mại được cung cấp và thành phần tá dược có thể khác nhau giữa các quốc gia và các hãng dược

Alkyloxan Ả Rập, Malaysia
Celomide Ấn Độ
Ciclofosfamida Argentina, Chile, Romania
Cicloxal Tây Ban Nha
Cryofaxol Mexico
Cycloblastin Úc
Cycloblastine Hà Lan
Cyclophosphamid Đan Mạch, Đức
Cyclophosphamide Ả Rập Saudi, Anh, Hoa Kỳ, new zealand
Cyclostin Đức
Cycloxan Malaysia
Cycram Ả Rập
Cytoxan Canada, Hoa Kỳ, Hungary
Eldamide Ấn Độ
Endoxan Ả Rập Saudi, Ấn Độ, Áo, Ba Lan, Bỉ, Bồ Đào Nha, Chile, Colombia, Croatia, Ecuador, Hà Lan, Hungary, Hy Lạp, Iran, Luxembourg, Morocco, new zealand, Pháp, Slovenia, Thái Lan, Thổ Nhĩ Kỳ, Thụy Sỹ, Tunisia, Úc, United Arab Emirates, Venezuela, Ý, Đức
Endoxana Anh, Ireland
Formitex Colombia, Mexico
Genoxal Tây Ban Nha
Genuxal Brazil
Hidrofosmin Mexico
Ledoxan Colombia
Ledoxina Colombia, Mexico
Neophos Ả Rập
Neosar Hoa Kỳ
Procytox Canada
Sendoxan Iceland, Na Uy, Phần Lan, Thụy Điển, Đan Mạch
Syklofosfamid Phần Lan, Thổ Nhĩ Kỳ
Khả năng tương thích   Dạng tiêm   Khả năng tương thích : Cyclophosphamide              
Màn hình này cho biết khả năng tương thích hoặc không tương thích, trong trường hợp này là loại không tương thích (kết tủa, thay đổi màu sắc, sửa đổi nhũ tương, v.v.). Sự tương hợp được chỉ ra ở đây chủ yếu chỉ là vật lý, với độ ổn định hóa học của mỗi phân tử hiếm khi được đánh giá. Việc đánh giá các hỗn hợp này được nghiên cứu để xem xét khả năng sử dụng vị trí Y cho bệnh nhân. Những dữ liệu này không thể được sử dụng để tạo hỗn hợp trước trong túi hoặc ống tiêm. Loại thông tin này có sẵn trong màn hình "Độ ổn định trong hỗn hợp».
Phân tử Dung môi Mục lục
Tương thích
Dạng tiêm Cyclophosphamide 20 mg/ml
NaHCO3 150
Tương thích
Dạng tiêm Cyclophosphamide
NaCl 0,9% 4865
Tương thích
Dạng tiêm Cyclophosphamide
NaCl 0,45% Glucose 5% 4865
Tương thích
Dạng tiêm Cyclophosphamide 10 mg/ml
Dinh dưỡng đường tĩnh mạch (hỗn hợp 2 thành phần) 301
Tương thích
Dạng tiêm Cyclophosphamide 10 mg/ml
Dinh dưỡng đường tĩnh mạch (có lipids) 1415
Tương thích
Dạng tiêm Cyclophosphamide
Glucose 5% 4989
Tương thích
Dạng tiêm Cyclophosphamide 10 mg/ml
Dạng tiêm Allopurinol sodium 3 mg/ml
NaCl 0,9% 307
Tương thích
Dạng tiêm Cyclophosphamide 10 mg/ml
Dạng tiêm Amifostine 10 mg/ml
Glucose 5% 3
Độ đục ngay lập tức Không tương thích
Dạng tiêm Cyclophosphamide 10 mg/ml
Dạng tiêm Amphotericin B cholesteryl sulfate complex 0.83 mg/ml
Glucose 5% 921
Tương thích
Dạng tiêm Cyclophosphamide
NaCl 0,9% 4989
Tương thích
Dạng tiêm Cyclophosphamide 10 mg/ml
Dạng tiêm Anidulafungin 0.5 mg/ml
Glucose 5% 1982
Tương thích
Dạng tiêm Cyclophosphamide 10 mg/ml
Dạng tiêm Aztreonam 40 mg/ml
Glucose 5% 99
Tương thích
Dạng tiêm Cyclophosphamide 10 mg/ml
Dạng tiêm Cladribine 0.5 mg/ml
NaCl 0,9% + chất kháng khuẩn 1496
Tương thích
Dạng tiêm Cyclophosphamide 10 mg/ml
Dạng tiêm Cladribine 0.015 mg/ml
NaCl 0,9% 1496
Tương thích
Dạng tiêm Cyclophosphamide 10 mg/ml
Dạng tiêm Doripenem 5 mg/ml
Glucose 5% 2262
Tương thích
Dạng tiêm Cyclophosphamide 10 mg/ml
Dạng tiêm Doripenem 5 mg/ml
NaCl 0,9% 2262
Tương thích
Dạng tiêm Cyclophosphamide 10 mg/ml
Dạng tiêm Doxorubicin hydrochloride liposome peg 0.4 mg/ml
Glucose 5% 251
Tương thích
Dạng tiêm Cyclophosphamide 10 mg/ml
Dạng tiêm Etoposide phosphate 5 mg/ml
Glucose 5% 1410
Tương thích
Dạng tiêm Cyclophosphamide 10 mg/ml
Dạng tiêm Filgrastim 30 µg/ml
Glucose 5% 244
Tương thích
Dạng tiêm Cyclophosphamide 10 mg/ml
Dạng tiêm Fludarabine phosphate 1 mg/ml
Glucose 5% 492
Tương thích
Dạng tiêm Cyclophosphamide 20 mg/ml
Dạng tiêm Gallium nitrate 1 mg/ml
NaCl 0,9% 91
Tương thích
Dạng tiêm Cyclophosphamide 10 mg/ml
Dạng tiêm Gemcitabine hydrochloride 10 mg/ml
NaCl 0,9% 1423
Tương thích
Dạng tiêm Cyclophosphamide 2 mg/ml
Dạng tiêm Granisetron hydrochloride 1 mg/ml
Nước cất pha tiêm 57
Tương thích
Dạng tiêm Cyclophosphamide 1 mg/ml
Dạng tiêm Hydroxyzine dihydrochloride 0.5 mg/ml
Glucose 5% 331
Tương thích
Dạng tiêm Cyclophosphamide 4 mg/ml
Dạng tiêm Idarubicin hydrochloride 1 mg/ml
NaCl 0,9% 491
Lượng mưa sau 4 giờ Không tương thích
Dạng tiêm Cyclophosphamide 10 mg/ml
Dạng tiêm Lansoprazole 0.55 mg/ml
NaCl 0,9% 1625
Tương thích
Dạng tiêm Cyclophosphamide 10 mg/ml
Dạng tiêm Linezolid 2 mg/ml
Không 1925
Tương thích
Dạng tiêm Cyclophosphamide 10 mg/ml
Dạng tiêm Melphalan 0.1 mg/ml
NaCl 0,9% 169
Tương thích
Dạng tiêm Cyclophosphamide 1.8 mg/ml
Dạng tiêm Mesna 0.54 mg/ml
Glucose 5% 1833
Tương thích
Dạng tiêm Cyclophosphamide 10.8 mg/ml
Dạng tiêm Mesna 3.2 mg/ml
Glucose 5% 1833
Tương thích
Dạng tiêm Cyclophosphamide 1 >> 10 mg/ml
Dạng tiêm Mesna 0.2 >> 10 mg/ml
NaCl 0,9% 2104
Tương thích
Dạng tiêm Cyclophosphamide 20 mg/ml
Dạng tiêm Methotrexate sodium 30 mg/ml
NaCl 0,9% 150
Không tương thích không xác định Không tương thích
Dạng tiêm Cyclophosphamide
Dạng tiêm Mitomycin
4471
Không ổn định hóa học Không tương thích
Dạng tiêm Cyclophosphamide
Dạng tiêm Mitomycin
3128
Tương thích
Dạng tiêm Cyclophosphamide 2 mg/ml
Dạng tiêm Ondansetron hydrochloride 0,4 mg/ml
NaCl 0,9% 50
Tương thích
Dạng tiêm Cyclophosphamide 0,3 mg/ml
Dạng tiêm Ondansetron hydrochloride 0,05 mg/ml
NaCl 0,9% 50
Tương thích
Dạng tiêm Cyclophosphamide 20 mg/ml
Dạng tiêm Ondansetron hydrochloride 0,016 >> 0,16 mg/ml
Nước cất pha tiêm 3574
Tương thích
Dạng tiêm Cyclophosphamide 0,3 mg/ml
Dạng tiêm Ondansetron hydrochloride 0,05 mg/ml
Glucose 5% 50
Tương thích
Dạng tiêm Cyclophosphamide 2 mg/ml
Dạng tiêm Ondansetron hydrochloride 0,4 mg/ml
Glucose 5% 50
Tương thích
Dạng tiêm Cyclophosphamide 10 mg/ml
Dạng tiêm Ondansetron hydrochloride 1 mg/ml
NaCl 0,9% 334
Tương thích
Dạng tiêm Cyclophosphamide 10 mg/ml
Dạng tiêm Oxaliplatin 0,5 mg/ml
Glucose 5% 1662
Tương thích
Dạng tiêm Cyclophosphamide 10 mg/ml
Dạng tiêm Paclitaxel 1.2 mg/ml
Glucose 5% 85
Tương thích
Dạng tiêm Cyclophosphamide 10 mg/ml
Dạng tiêm Palonosetron hydrochloride 50 µg/ml
Glucose 5% 2016
Tương thích
Dạng tiêm Cyclophosphamide 10 mg/ml
Dạng tiêm Pemetrexed disodium 20 mg/ml
NaCl 0,9% 1953
Tương thích
Dạng tiêm Cyclophosphamide 10 mg/ml
Dạng tiêm Piperacillin sodium / tazobactam 40/5 mg/ml
Glucose 5% 81
Tương thích
Dạng tiêm Cyclophosphamide 10 mg/ml
Dạng tiêm Propofol 10 mg/ml
Không 300
Tính không ổn định của nhũ tương sau 24 giờ Không tương thích
Dạng tiêm Cyclophosphamide 4 mg/ml
Dạng tiêm Propofol
660
Tương thích
Dạng tiêm Cyclophosphamide 10 mg/ml
Dạng tiêm Sargramostim 10 µg/ml
NaCl 0,9% 335
Tương thích
Dạng tiêm Cyclophosphamide 20 mg/ml
Dạng tiêm Sodium bicarbonate 14 mg/ml
Không 150
Tương thích
Dạng tiêm Cyclophosphamide 10 mg/ml
Dạng tiêm Teniposide 0.1 mg/ml
Glucose 5% 905
Tương thích
Dạng tiêm Cyclophosphamide 10 mg/ml
Dạng tiêm Thiotepa 1 mg/ml
Glucose 5% 249
Tương thích
Dạng tiêm Cyclophosphamide 20 mg/ml
Dạng tiêm Topotecan 0.056 mg/ml
Glucose 5% 1026
Tương thích
Dạng tiêm Cyclophosphamide 20 mg/ml
Dạng tiêm Topotecan 0.056 mg/ml
NaCl 0,9% 1026
Tương thích
Dạng tiêm Cyclophosphamide 10 mg/ml
Dạng tiêm Vinorelbine tartrate 1 mg/ml
NaCl 0,9% 84

  Mentions Légales