Последнее обновление :
27/04/2026
Цитостатическое средство   Cyclophosphamide  
Инъекция
Капсула Раствор для перорального приёма
Стабильность растворов Стабильность смесей Факторы, которые влияют на стабильность Совместимость Способы введения Библиография pdf
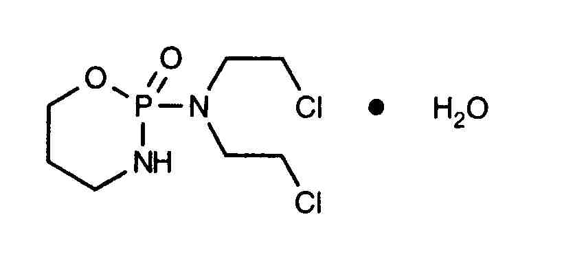
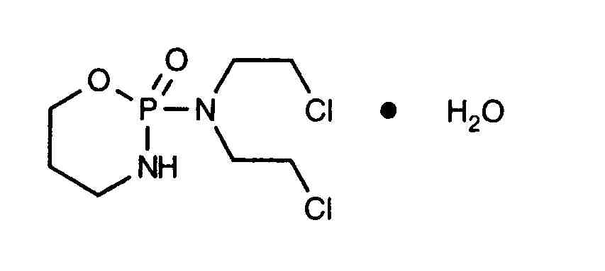
   Химическая структура  

Товарное название   Товарное название     

Trade names are indicative and excipients composition can be different depending on the country and manufacturers

Alkyloxan Египет, Малайзия
Celomide Индия
Ciclofosfamida Аргентина, Румыния, чили
Cicloxal Испания
Cryofaxol Мексика
Cycloblastin Австралия
Cycloblastine Голландия
Cyclophosphamid Германия, Дания
Cyclophosphamide Великобритания, новая Зеландия, Саудовская Аравия, Соединённые Штаты Америки
Cyclostin Германия
Cycloxan Малайзия
Cycram Египет
Cytoxan Венгрия, Канада, Соединённые Штаты Америки
Eldamide Индия
Endoxan Австралия, Австрия, Бельгия, Венгрия, Венесуэла, Германия, Голландия, Греция, Индия, Иран, Италия, Колумбия, Люксембург, Марокко, новая Зеландия, Объединенные Арабские Эмираты, Польша, Португалия, Саудовская Аравия, Словения, Таиланд, Тунис, Турция, Франция, Хорватия, чили, Швейцария, Эквадор
Endoxana Великобритания, Ирландия
Formitex Колумбия, Мексика
Genoxal Испания
Genuxal Бразилия
Hidrofosmin Мексика
Ledoxan Колумбия
Ledoxina Колумбия, Мексика
Neophos Египет
Neosar Соединённые Штаты Америки
Procytox Канада
Sendoxan Дания, Исландия, Норвегия, Финляндия, Швеция
Syklofosfamid Турция, Финляндия
Совместимость   Инъекция   Совместимость : Cyclophosphamide              
Эта таблица показывает совместимость или несовместимость препаратов, по возможности тип несовместимости (преципитат, смена цвета, разложение эмульсии и др.). Показанные здесь совместимости в основном физические, по возможности указана и химическая стабильность каждой молекулы. Анализ этих смесей произведён для исследования возможности ввести препараты пациенту в Y-соединении систем. Эти данные нельзя использовать, чтобы приготовить лекарства на будущее в мешках или шприцах. Эта информация доступна в разделе "Стабильность смесей".
Молекула Растворитель Ссылки
совместимый
Инъекция Cyclophosphamide 20 mg/ml
NaHCO3 150
совместимый
Инъекция Cyclophosphamide
Натрия хлорид 0,9% 4865
совместимый
Инъекция Cyclophosphamide
NaCl 0,45% Глюкоза 5% 4865
совместимый
Инъекция Cyclophosphamide 10 mg/ml
Парентеральное питание (бинарная смесь) 301
совместимый
Инъекция Cyclophosphamide 10 mg/ml
Парентеральное питание (с липидами) 1415
совместимый
Инъекция Cyclophosphamide
Глюкоза 5% 4989
совместимый
Инъекция Cyclophosphamide 10 mg/ml
Инъекция Allopurinol sodium 3 mg/ml
Натрия хлорид 0,9% 307
совместимый
Инъекция Cyclophosphamide 10 mg/ml
Инъекция Amifostine 10 mg/ml
Глюкоза 5% 3
Немедленная мутность несовместимый
Инъекция Cyclophosphamide 10 mg/ml
Инъекция Amphotericin B cholesteryl sulfate complex 0.83 mg/ml
Глюкоза 5% 921
совместимый
Инъекция Cyclophosphamide
Натрия хлорид 0,9% 4989
совместимый
Инъекция Cyclophosphamide 10 mg/ml
Инъекция Anidulafungin 0.5 mg/ml
Глюкоза 5% 1982
совместимый
Инъекция Cyclophosphamide 10 mg/ml
Инъекция Aztreonam 40 mg/ml
Глюкоза 5% 99
совместимый
Инъекция Cyclophosphamide 10 mg/ml
Инъекция Cladribine 0.5 mg/ml
NaCl 0,9% + антибактериальный 1496
совместимый
Инъекция Cyclophosphamide 10 mg/ml
Инъекция Cladribine 0.015 mg/ml
Натрия хлорид 0,9% 1496
совместимый
Инъекция Cyclophosphamide 10 mg/ml
Инъекция Doripenem 5 mg/ml
Глюкоза 5% 2262
совместимый
Инъекция Cyclophosphamide 10 mg/ml
Инъекция Doripenem 5 mg/ml
Натрия хлорид 0,9% 2262
совместимый
Инъекция Cyclophosphamide 10 mg/ml
Инъекция Doxorubicin hydrochloride liposome peg 0.4 mg/ml
Глюкоза 5% 251
совместимый
Инъекция Cyclophosphamide 10 mg/ml
Инъекция Etoposide phosphate 5 mg/ml
Глюкоза 5% 1410
совместимый
Инъекция Cyclophosphamide 10 mg/ml
Инъекция Filgrastim 30 µg/ml
Глюкоза 5% 244
совместимый
Инъекция Cyclophosphamide 10 mg/ml
Инъекция Fludarabine phosphate 1 mg/ml
Глюкоза 5% 492
совместимый
Инъекция Cyclophosphamide 20 mg/ml
Инъекция Gallium nitrate 1 mg/ml
Натрия хлорид 0,9% 91
совместимый
Инъекция Cyclophosphamide 10 mg/ml
Инъекция Gemcitabine hydrochloride 10 mg/ml
Натрия хлорид 0,9% 1423
совместимый
Инъекция Cyclophosphamide 2 mg/ml
Инъекция Granisetron hydrochloride 1 mg/ml
Вода для инъекций 57
совместимый
Инъекция Cyclophosphamide 1 mg/ml
Инъекция Hydroxyzine dihydrochloride 0.5 mg/ml
Глюкоза 5% 331
совместимый
Инъекция Cyclophosphamide 4 mg/ml
Инъекция Idarubicin hydrochloride 1 mg/ml
Натрия хлорид 0,9% 491
Осадки через 4 часа несовместимый
Инъекция Cyclophosphamide 10 mg/ml
Инъекция Lansoprazole 0.55 mg/ml
Натрия хлорид 0,9% 1625
совместимый
Инъекция Cyclophosphamide 10 mg/ml
Инъекция Linezolid 2 mg/ml
Нет 1925
совместимый
Инъекция Cyclophosphamide 10 mg/ml
Инъекция Melphalan 0.1 mg/ml
Натрия хлорид 0,9% 169
совместимый
Инъекция Cyclophosphamide 1.8 mg/ml
Инъекция Mesna 0.54 mg/ml
Глюкоза 5% 1833
совместимый
Инъекция Cyclophosphamide 10.8 mg/ml
Инъекция Mesna 3.2 mg/ml
Глюкоза 5% 1833
совместимый
Инъекция Cyclophosphamide 1 >> 10 mg/ml
Инъекция Mesna 0.2 >> 10 mg/ml
Натрия хлорид 0,9% 2104
совместимый
Инъекция Cyclophosphamide 20 mg/ml
Инъекция Methotrexate sodium 30 mg/ml
Натрия хлорид 0,9% 150
Неопределенная несовместимость несовместимый
Инъекция Cyclophosphamide
Инъекция Mitomycin
4471
Химическая нестабильность несовместимый
Инъекция Cyclophosphamide
Инъекция Mitomycin
3128
совместимый
Инъекция Cyclophosphamide 2 mg/ml
Инъекция Ondansetron hydrochloride 0,4 mg/ml
Натрия хлорид 0,9% 50
совместимый
Инъекция Cyclophosphamide 0,3 mg/ml
Инъекция Ondansetron hydrochloride 0,05 mg/ml
Натрия хлорид 0,9% 50
совместимый
Инъекция Cyclophosphamide 20 mg/ml
Инъекция Ondansetron hydrochloride 0,016 >> 0,16 mg/ml
Вода для инъекций 3574
совместимый
Инъекция Cyclophosphamide 0,3 mg/ml
Инъекция Ondansetron hydrochloride 0,05 mg/ml
Глюкоза 5% 50
совместимый
Инъекция Cyclophosphamide 2 mg/ml
Инъекция Ondansetron hydrochloride 0,4 mg/ml
Глюкоза 5% 50
совместимый
Инъекция Cyclophosphamide 10 mg/ml
Инъекция Ondansetron hydrochloride 1 mg/ml
Натрия хлорид 0,9% 334
совместимый
Инъекция Cyclophosphamide 10 mg/ml
Инъекция Oxaliplatin 0,5 mg/ml
Глюкоза 5% 1662
совместимый
Инъекция Cyclophosphamide 10 mg/ml
Инъекция Paclitaxel 1.2 mg/ml
Глюкоза 5% 85
совместимый
Инъекция Cyclophosphamide 10 mg/ml
Инъекция Palonosetron hydrochloride 50 µg/ml
Глюкоза 5% 2016
совместимый
Инъекция Cyclophosphamide 10 mg/ml
Инъекция Pemetrexed disodium 20 mg/ml
Натрия хлорид 0,9% 1953
совместимый
Инъекция Cyclophosphamide 10 mg/ml
Инъекция Piperacillin sodium / tazobactam 40/5 mg/ml
Глюкоза 5% 81
совместимый
Инъекция Cyclophosphamide 10 mg/ml
Инъекция Propofol 10 mg/ml
Нет 300
Нестабильность эмульсии через 24 часов. несовместимый
Инъекция Cyclophosphamide 4 mg/ml
Инъекция Propofol
660
совместимый
Инъекция Cyclophosphamide 10 mg/ml
Инъекция Sargramostim 10 µg/ml
Натрия хлорид 0,9% 335
совместимый
Инъекция Cyclophosphamide 20 mg/ml
Инъекция Sodium bicarbonate 14 mg/ml
Нет 150
совместимый
Инъекция Cyclophosphamide 10 mg/ml
Инъекция Teniposide 0.1 mg/ml
Глюкоза 5% 905
совместимый
Инъекция Cyclophosphamide 10 mg/ml
Инъекция Thiotepa 1 mg/ml
Глюкоза 5% 249
совместимый
Инъекция Cyclophosphamide 20 mg/ml
Инъекция Topotecan 0.056 mg/ml
Глюкоза 5% 1026
совместимый
Инъекция Cyclophosphamide 20 mg/ml
Инъекция Topotecan 0.056 mg/ml
Натрия хлорид 0,9% 1026
совместимый
Инъекция Cyclophosphamide 10 mg/ml
Инъекция Vinorelbine tartrate 1 mg/ml
Натрия хлорид 0,9% 84

  Mentions Légales