Poslední aktualizace :
27/04/2026
rakovina drog   Cyclophosphamide  
injekce
kapsle Perorální roztok
Stabilita roztoků Stabilita směsí Faktory ovlivňující stabilitu Kompatibilita Způsoby aplikace Odkazy pdf
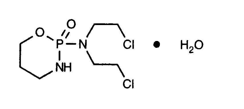
   Chemický vzorec  

Obchodní název   Obchodní název     

Trade names are indicative and excipients composition can be different depending on the country and manufacturers

Alkyloxan Egypt, Malajsie
Celomide Indie
Ciclofosfamida Argentina, Chile, Rumunsko
Cicloxal äpanÏlsko
Cryofaxol Mexiko
Cycloblastin Austrálie
Cycloblastine Nizozemsko
Cyclophosphamid Dánsko, NÏmecko
Cyclophosphamide nový Zéland, Saúdská Arábie, USA, Velká Británie
Cyclostin NÏmecko
Cycloxan Malajsie
Cycram Egypt
Cytoxan Kanada, MaÔarsko, USA
Eldamide Indie
Endoxan Austrálie, Belgie, Chile, Chorvatsko, Ekvádor, Francie, Indie, Írán, Itálie, Kolumbie, Lucembursko, MaÔarsko, Maroko, NÏmecko, Nizozemsko, nový Zéland, Polsko, Portugalsko, Rakousko, Saúdská Arábie, Slovinsko, Spojené arabské emiráty, Švýcarsko, Thajsko, Tunisko, Turecko, Venezuela, ÿecko
Endoxana Irsko, Velká Británie
Formitex Kolumbie, Mexiko
Genoxal äpanÏlsko
Genuxal BrazÌlie
Hidrofosmin Mexiko
Ledoxan Kolumbie
Ledoxina Kolumbie, Mexiko
Neophos Egypt
Neosar USA
Procytox Kanada
Sendoxan Dánsko, Finsko, Island, Norsko, Švédsko
Syklofosfamid Finsko, Turecko
Kompatibilita   injekce   Kompatibilita : Cyclophosphamide              
Tato obrazovka ukazuje kompatibilitu nebo nekompatibilitu s, v tomto případě, typem nekompatibility (srážení, změna barvy, modifikace emulze atd.). Zde uvedené kompatibility jsou většinou pouze fyzikální, přičemž chemická stabilita každé molekuly je zřídka hodnocena. Hodnocení těchto směsí bylo studováno, aby se zvážila možnost podání Y-místa pacientovi. Tyto údaje nelze použít k přípravě směsí předem v pytlích nebo stříkačkách. Tento typ informací je k dispozici na obrazovce „Stabilita ve směsi“.
SlouËenina RozpouötÏdlo Odkazy
Kompatibilní
injekce Cyclophosphamide 20 mg/ml
NaHCO3 150
Kompatibilní
injekce Cyclophosphamide
Chlorid sodný 0,9% 4865
Kompatibilní
injekce Cyclophosphamide
NaCl 0,45% GlukÛza 5% 4865
Kompatibilní
injekce Cyclophosphamide 10 mg/ml
Parenterální výživa (binární směs) 301
Kompatibilní
injekce Cyclophosphamide 10 mg/ml
Parenterální výživa (lipidy) 1415
Kompatibilní
injekce Cyclophosphamide
GlukÛza 5% 4989
Kompatibilní
injekce Cyclophosphamide 10 mg/ml
injekce Allopurinol sodium 3 mg/ml
Chlorid sodný 0,9% 307
Kompatibilní
injekce Cyclophosphamide 10 mg/ml
injekce Amifostine 10 mg/ml
GlukÛza 5% 3
Okamžitá zákal Nekompatibilní
injekce Cyclophosphamide 10 mg/ml
injekce Amphotericin B cholesteryl sulfate complex 0.83 mg/ml
GlukÛza 5% 921
Kompatibilní
injekce Cyclophosphamide
Chlorid sodný 0,9% 4989
Kompatibilní
injekce Cyclophosphamide 10 mg/ml
injekce Anidulafungin 0.5 mg/ml
GlukÛza 5% 1982
Kompatibilní
injekce Cyclophosphamide 10 mg/ml
injekce Aztreonam 40 mg/ml
GlukÛza 5% 99
Kompatibilní
injekce Cyclophosphamide 10 mg/ml
injekce Cladribine 0.5 mg/ml
NaCl 0,9% + antibakterial 1496
Kompatibilní
injekce Cyclophosphamide 10 mg/ml
injekce Cladribine 0.015 mg/ml
Chlorid sodný 0,9% 1496
Kompatibilní
injekce Cyclophosphamide 10 mg/ml
injekce Doripenem 5 mg/ml
GlukÛza 5% 2262
Kompatibilní
injekce Cyclophosphamide 10 mg/ml
injekce Doripenem 5 mg/ml
Chlorid sodný 0,9% 2262
Kompatibilní
injekce Cyclophosphamide 10 mg/ml
injekce Doxorubicin hydrochloride liposome peg 0.4 mg/ml
GlukÛza 5% 251
Kompatibilní
injekce Cyclophosphamide 10 mg/ml
injekce Etoposide phosphate 5 mg/ml
GlukÛza 5% 1410
Kompatibilní
injekce Cyclophosphamide 10 mg/ml
injekce Filgrastim 30 µg/ml
GlukÛza 5% 244
Kompatibilní
injekce Cyclophosphamide 10 mg/ml
injekce Fludarabine phosphate 1 mg/ml
GlukÛza 5% 492
Kompatibilní
injekce Cyclophosphamide 20 mg/ml
injekce Gallium nitrate 1 mg/ml
Chlorid sodný 0,9% 91
Kompatibilní
injekce Cyclophosphamide 10 mg/ml
injekce Gemcitabine hydrochloride 10 mg/ml
Chlorid sodný 0,9% 1423
Kompatibilní
injekce Cyclophosphamide 2 mg/ml
injekce Granisetron hydrochloride 1 mg/ml
Voda pro injekci 57
Kompatibilní
injekce Cyclophosphamide 1 mg/ml
injekce Hydroxyzine dihydrochloride 0.5 mg/ml
GlukÛza 5% 331
Kompatibilní
injekce Cyclophosphamide 4 mg/ml
injekce Idarubicin hydrochloride 1 mg/ml
Chlorid sodný 0,9% 491
Srážky po 4 hodinách Nekompatibilní
injekce Cyclophosphamide 10 mg/ml
injekce Lansoprazole 0.55 mg/ml
Chlorid sodný 0,9% 1625
Kompatibilní
injekce Cyclophosphamide 10 mg/ml
injekce Linezolid 2 mg/ml
Žádné 1925
Kompatibilní
injekce Cyclophosphamide 10 mg/ml
injekce Melphalan 0.1 mg/ml
Chlorid sodný 0,9% 169
Kompatibilní
injekce Cyclophosphamide 1.8 mg/ml
injekce Mesna 0.54 mg/ml
GlukÛza 5% 1833
Kompatibilní
injekce Cyclophosphamide 10.8 mg/ml
injekce Mesna 3.2 mg/ml
GlukÛza 5% 1833
Kompatibilní
injekce Cyclophosphamide 1 >> 10 mg/ml
injekce Mesna 0.2 >> 10 mg/ml
Chlorid sodný 0,9% 2104
Kompatibilní
injekce Cyclophosphamide 20 mg/ml
injekce Methotrexate sodium 30 mg/ml
Chlorid sodný 0,9% 150
Nespecifikovaná nekompatibilita Nekompatibilní
injekce Cyclophosphamide
injekce Mitomycin
4471
Chemická nestabilita Nekompatibilní
injekce Cyclophosphamide
injekce Mitomycin
3128
Kompatibilní
injekce Cyclophosphamide 2 mg/ml
injekce Ondansetron hydrochloride 0,4 mg/ml
Chlorid sodný 0,9% 50
Kompatibilní
injekce Cyclophosphamide 0,3 mg/ml
injekce Ondansetron hydrochloride 0,05 mg/ml
Chlorid sodný 0,9% 50
Kompatibilní
injekce Cyclophosphamide 20 mg/ml
injekce Ondansetron hydrochloride 0,016 >> 0,16 mg/ml
Voda pro injekci 3574
Kompatibilní
injekce Cyclophosphamide 0,3 mg/ml
injekce Ondansetron hydrochloride 0,05 mg/ml
GlukÛza 5% 50
Kompatibilní
injekce Cyclophosphamide 2 mg/ml
injekce Ondansetron hydrochloride 0,4 mg/ml
GlukÛza 5% 50
Kompatibilní
injekce Cyclophosphamide 10 mg/ml
injekce Ondansetron hydrochloride 1 mg/ml
Chlorid sodný 0,9% 334
Kompatibilní
injekce Cyclophosphamide 10 mg/ml
injekce Oxaliplatin 0,5 mg/ml
GlukÛza 5% 1662
Kompatibilní
injekce Cyclophosphamide 10 mg/ml
injekce Paclitaxel 1.2 mg/ml
GlukÛza 5% 85
Kompatibilní
injekce Cyclophosphamide 10 mg/ml
injekce Palonosetron hydrochloride 50 µg/ml
GlukÛza 5% 2016
Kompatibilní
injekce Cyclophosphamide 10 mg/ml
injekce Pemetrexed disodium 20 mg/ml
Chlorid sodný 0,9% 1953
Kompatibilní
injekce Cyclophosphamide 10 mg/ml
injekce Piperacillin sodium / tazobactam 40/5 mg/ml
GlukÛza 5% 81
Kompatibilní
injekce Cyclophosphamide 10 mg/ml
injekce Propofol 10 mg/ml
Žádné 300
Nestabilita emulze po 24 hodinách Nekompatibilní
injekce Cyclophosphamide 4 mg/ml
injekce Propofol
660
Kompatibilní
injekce Cyclophosphamide 10 mg/ml
injekce Sargramostim 10 µg/ml
Chlorid sodný 0,9% 335
Kompatibilní
injekce Cyclophosphamide 20 mg/ml
injekce Sodium bicarbonate 14 mg/ml
Žádné 150
Kompatibilní
injekce Cyclophosphamide 10 mg/ml
injekce Teniposide 0.1 mg/ml
GlukÛza 5% 905
Kompatibilní
injekce Cyclophosphamide 10 mg/ml
injekce Thiotepa 1 mg/ml
GlukÛza 5% 249
Kompatibilní
injekce Cyclophosphamide 20 mg/ml
injekce Topotecan 0.056 mg/ml
GlukÛza 5% 1026
Kompatibilní
injekce Cyclophosphamide 20 mg/ml
injekce Topotecan 0.056 mg/ml
Chlorid sodný 0,9% 1026
Kompatibilní
injekce Cyclophosphamide 10 mg/ml
injekce Vinorelbine tartrate 1 mg/ml
Chlorid sodný 0,9% 84

  Mentions Légales