zadnja posodobitev :
27/04/2026
rak drog   Cyclophosphamide  
Brizgalka
Kapsula Peroralna raztopina
Stabilnost raztopine Stabilnost mešanice Faktorji, ki vplivajo na stabilnost Kompatibilnost način aplikacije Viri pdf
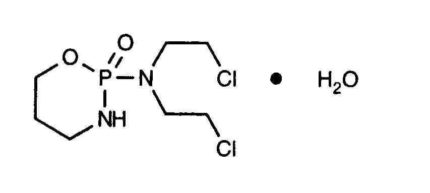
   Kemična formula  

Lastniško ime   Lastniško ime     

Sestava pomožnih snovi je med paralelami lahko različna

Alkyloxan Egipt, Malezija
Celomide Indija
Ciclofosfamida Argentina, Čile, Romunija
Cicloxal Španija
Cryofaxol Mehika
Cycloblastin Avstralija
Cycloblastine Nizozemska
Cyclophosphamid Danska, Nemčija
Cyclophosphamide nova Zelandija, Savdska Arabija, Velika Britanija, Združene države Amerike
Cyclostin Nemčija
Cycloxan Malezija
Cycram Egipt
Cytoxan Kanada, Madžarska, Združene države Amerike
Eldamide Indija
Endoxan Avstralija, Avstrija, Belgija, Čile, Ekvador, Francija, Grčija, Hrvaška, Indija, Iran, Italija, Kolumbija, Luksemburg, Madžarska, Maroko, Nemčija, Nizozemska, nova Zelandija, Poljska, Portugalska, Savdska Arabija, Slovenija, Švica, Tajska, Tunizija, Turčija, Venezuela, Združeni arabski emirati
Endoxana Irska, Velika Britanija
Formitex Kolumbija, Mehika
Genoxal Španija
Genuxal Brazilija
Hidrofosmin Mehika
Ledoxan Kolumbija
Ledoxina Kolumbija, Mehika
Neophos Egipt
Neosar Združene države Amerike
Procytox Kanada
Sendoxan Danska, Finska, Islandija, Norveška, Švedska
Syklofosfamid Finska, Turčija
Kompatibilnost   Brizgalka   Kompatibilnost : Cyclophosphamide              
Ta zaslon prikazuje združljivost ali nezdružljivost s, v tem primeru, vrsto nezdružljivosti (padavine, sprememba barve, sprememba emulzije itd.). Tu prikazane združljivosti so večinoma samo fizične, pri čemer se kemijska stabilnost vsake molekule redko ocenjuje. Vrednotenje teh zmesi so preučevali, da bi preučili možnost pacientovega dajanja na mestu Y. Teh podatkov ni mogoče uporabiti za pripravo mešanic v vrečkah ali brizgah. Ta vrsta informacij je na voljo na zaslonu "Obstojnost v mešanici".
Sestava Topilo Viri
Združljivo
Brizgalka Cyclophosphamide 20 mg/ml
NaHCO3 150
Združljivo
Brizgalka Cyclophosphamide
Natrijev klorid 0,9% 4865
Združljivo
Brizgalka Cyclophosphamide
NaCl 0,45% Glukoza 5% 4865
Združljivo
Brizgalka Cyclophosphamide 10 mg/ml
Parenteralna prehrana (binarno zmes) 301
Združljivo
Brizgalka Cyclophosphamide 10 mg/ml
Parenteralna prehrana (z lipidi) 1415
Združljivo
Brizgalka Cyclophosphamide
Glukoza 5% 4989
Združljivo
Brizgalka Cyclophosphamide 10 mg/ml
Brizgalka Allopurinol sodium 3 mg/ml
Natrijev klorid 0,9% 307
Združljivo
Brizgalka Cyclophosphamide 10 mg/ml
Brizgalka Amifostine 10 mg/ml
Glukoza 5% 3
Takojšnja motnost Nezdružljivo
Brizgalka Cyclophosphamide 10 mg/ml
Brizgalka Amphotericin B cholesteryl sulfate complex 0.83 mg/ml
Glukoza 5% 921
Združljivo
Brizgalka Cyclophosphamide
Natrijev klorid 0,9% 4989
Združljivo
Brizgalka Cyclophosphamide 10 mg/ml
Brizgalka Anidulafungin 0.5 mg/ml
Glukoza 5% 1982
Združljivo
Brizgalka Cyclophosphamide 10 mg/ml
Brizgalka Aztreonam 40 mg/ml
Glukoza 5% 99
Združljivo
Brizgalka Cyclophosphamide 10 mg/ml
Brizgalka Cladribine 0.5 mg/ml
NaCl 0,9%  + bakteriostatik 1496
Združljivo
Brizgalka Cyclophosphamide 10 mg/ml
Brizgalka Cladribine 0.015 mg/ml
Natrijev klorid 0,9% 1496
Združljivo
Brizgalka Cyclophosphamide 10 mg/ml
Brizgalka Doripenem 5 mg/ml
Glukoza 5% 2262
Združljivo
Brizgalka Cyclophosphamide 10 mg/ml
Brizgalka Doripenem 5 mg/ml
Natrijev klorid 0,9% 2262
Združljivo
Brizgalka Cyclophosphamide 10 mg/ml
Brizgalka Doxorubicin hydrochloride liposome peg 0.4 mg/ml
Glukoza 5% 251
Združljivo
Brizgalka Cyclophosphamide 10 mg/ml
Brizgalka Etoposide phosphate 5 mg/ml
Glukoza 5% 1410
Združljivo
Brizgalka Cyclophosphamide 10 mg/ml
Brizgalka Filgrastim 30 µg/ml
Glukoza 5% 244
Združljivo
Brizgalka Cyclophosphamide 10 mg/ml
Brizgalka Fludarabine phosphate 1 mg/ml
Glukoza 5% 492
Združljivo
Brizgalka Cyclophosphamide 20 mg/ml
Brizgalka Gallium nitrate 1 mg/ml
Natrijev klorid 0,9% 91
Združljivo
Brizgalka Cyclophosphamide 10 mg/ml
Brizgalka Gemcitabine hydrochloride 10 mg/ml
Natrijev klorid 0,9% 1423
Združljivo
Brizgalka Cyclophosphamide 2 mg/ml
Brizgalka Granisetron hydrochloride 1 mg/ml
Voda za injekcije 57
Združljivo
Brizgalka Cyclophosphamide 1 mg/ml
Brizgalka Hydroxyzine dihydrochloride 0.5 mg/ml
Glukoza 5% 331
Združljivo
Brizgalka Cyclophosphamide 4 mg/ml
Brizgalka Idarubicin hydrochloride 1 mg/ml
Natrijev klorid 0,9% 491
Padavine po 4 urah Nezdružljivo
Brizgalka Cyclophosphamide 10 mg/ml
Brizgalka Lansoprazole 0.55 mg/ml
Natrijev klorid 0,9% 1625
Združljivo
Brizgalka Cyclophosphamide 10 mg/ml
Brizgalka Linezolid 2 mg/ml
Nobeden 1925
Združljivo
Brizgalka Cyclophosphamide 10 mg/ml
Brizgalka Melphalan 0.1 mg/ml
Natrijev klorid 0,9% 169
Združljivo
Brizgalka Cyclophosphamide 1.8 mg/ml
Brizgalka Mesna 0.54 mg/ml
Glukoza 5% 1833
Združljivo
Brizgalka Cyclophosphamide 10.8 mg/ml
Brizgalka Mesna 3.2 mg/ml
Glukoza 5% 1833
Združljivo
Brizgalka Cyclophosphamide 1 >> 10 mg/ml
Brizgalka Mesna 0.2 >> 10 mg/ml
Natrijev klorid 0,9% 2104
Združljivo
Brizgalka Cyclophosphamide 20 mg/ml
Brizgalka Methotrexate sodium 30 mg/ml
Natrijev klorid 0,9% 150
Nedoločena nezdružljivost Nezdružljivo
Brizgalka Cyclophosphamide
Brizgalka Mitomycin
4471
Kemijska nestabilnost Nezdružljivo
Brizgalka Cyclophosphamide
Brizgalka Mitomycin
3128
Združljivo
Brizgalka Cyclophosphamide 2 mg/ml
Brizgalka Ondansetron hydrochloride 0,4 mg/ml
Natrijev klorid 0,9% 50
Združljivo
Brizgalka Cyclophosphamide 0,3 mg/ml
Brizgalka Ondansetron hydrochloride 0,05 mg/ml
Natrijev klorid 0,9% 50
Združljivo
Brizgalka Cyclophosphamide 20 mg/ml
Brizgalka Ondansetron hydrochloride 0,016 >> 0,16 mg/ml
Voda za injekcije 3574
Združljivo
Brizgalka Cyclophosphamide 0,3 mg/ml
Brizgalka Ondansetron hydrochloride 0,05 mg/ml
Glukoza 5% 50
Združljivo
Brizgalka Cyclophosphamide 2 mg/ml
Brizgalka Ondansetron hydrochloride 0,4 mg/ml
Glukoza 5% 50
Združljivo
Brizgalka Cyclophosphamide 10 mg/ml
Brizgalka Ondansetron hydrochloride 1 mg/ml
Natrijev klorid 0,9% 334
Združljivo
Brizgalka Cyclophosphamide 10 mg/ml
Brizgalka Oxaliplatin 0,5 mg/ml
Glukoza 5% 1662
Združljivo
Brizgalka Cyclophosphamide 10 mg/ml
Brizgalka Paclitaxel 1.2 mg/ml
Glukoza 5% 85
Združljivo
Brizgalka Cyclophosphamide 10 mg/ml
Brizgalka Palonosetron hydrochloride 50 µg/ml
Glukoza 5% 2016
Združljivo
Brizgalka Cyclophosphamide 10 mg/ml
Brizgalka Pemetrexed disodium 20 mg/ml
Natrijev klorid 0,9% 1953
Združljivo
Brizgalka Cyclophosphamide 10 mg/ml
Brizgalka Piperacillin sodium / tazobactam 40/5 mg/ml
Glukoza 5% 81
Združljivo
Brizgalka Cyclophosphamide 10 mg/ml
Brizgalka Propofol 10 mg/ml
Nobeden 300
Nestabilnost emulzije po 24 urah Nezdružljivo
Brizgalka Cyclophosphamide 4 mg/ml
Brizgalka Propofol
660
Združljivo
Brizgalka Cyclophosphamide 10 mg/ml
Brizgalka Sargramostim 10 µg/ml
Natrijev klorid 0,9% 335
Združljivo
Brizgalka Cyclophosphamide 20 mg/ml
Brizgalka Sodium bicarbonate 14 mg/ml
Nobeden 150
Združljivo
Brizgalka Cyclophosphamide 10 mg/ml
Brizgalka Teniposide 0.1 mg/ml
Glukoza 5% 905
Združljivo
Brizgalka Cyclophosphamide 10 mg/ml
Brizgalka Thiotepa 1 mg/ml
Glukoza 5% 249
Združljivo
Brizgalka Cyclophosphamide 20 mg/ml
Brizgalka Topotecan 0.056 mg/ml
Glukoza 5% 1026
Združljivo
Brizgalka Cyclophosphamide 20 mg/ml
Brizgalka Topotecan 0.056 mg/ml
Natrijev klorid 0,9% 1026
Združljivo
Brizgalka Cyclophosphamide 10 mg/ml
Brizgalka Vinorelbine tartrate 1 mg/ml
Natrijev klorid 0,9% 84

  Mentions Légales