Zadnji put ažurirano :
27/04/2026
lijek protiv karcinoma   Cyclophosphamide  
injekcija
kapsula oralna otopina
Stabilizacija rješenja Stabilnost mješavine Stabilizacijski faktor Kompatibilnosti način davanja lijeka Bibliografija pdf
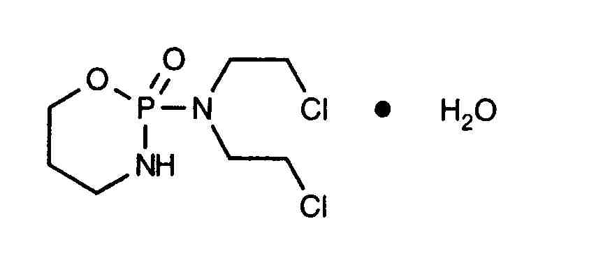
   Kemijska struktura  

Nekomercijalni   Nekomercijalni     

Zaštićeni nazivi su indikativni i sastav ekscipijensa može biti različit ovisno o državi i laboratorijima

Alkyloxan Egipat, Malezija
Celomide Indija
Ciclofosfamida Argentina, Čile, Rumunjska
Cicloxal Španjolska
Cryofaxol Meksiko
Cycloblastin Australija
Cycloblastine Nizozemska
Cyclophosphamid Danska, Njemačka
Cyclophosphamide novi Zeland, S A D, Saudijska Arabija, Velika Britanija
Cyclostin Njemačka
Cycloxan Malezija
Cycram Egipat
Cytoxan Kanada, Madžarska, S A D
Eldamide Indija
Endoxan Indija, Australija, Austrija, Belgija, Čile, Ekvador, Francuska, Grčka, Hrvatska, Iran, Italija, Kolumbija, Luksemburg, Madžarska, Maroko, Nizozemska, Njemačka, novi Zeland, Poljska, Portugal, Saudijska Arabija, Slovenija, Švicarska, Tajland, Tunis, Turska, Ujedinjeni Arapski Emirati, Venecuela
Endoxana Irska, Velika Britanija
Formitex Kolumbija, Meksiko
Genoxal Španjolska
Genuxal Brazil
Hidrofosmin Meksiko
Ledoxan Kolumbija
Ledoxina Kolumbija, Meksiko
Neophos Egipat
Neosar S A D
Procytox Kanada
Sendoxan Danska, Finska, Island, Norveška, Švedska
Syklofosfamid Finska, Turska
Kompatibilnosti   injekcija   Kompatibilnosti : Cyclophosphamide              
Ovdje su prikazane kompatibilnosti ili nekompatibilnosti s tipom nekompatibilnosti (taloženje, promjena boje, modifikacija emulzije itd.) u ovom slučaju. Kompatibilnosti prikazane ovdje najčešće su fizikalne dok se kemijska stabilnost molekule rijetko procjenjuje. Procjena ovih mikstura je proučavana kako bi se razmotrila mogućnost primjene lijeka putem Y-mjesta. Ovi se podaci ne smiju koristiti za pripremu mikstura unaprijed u vrećicama ili štrcaljkama. Ova vrsta informacije se može pronaći u odjeljku « stabilnost u miksturama ».
molekula sredstvo za rastapanje Bibliografija
Kompatibilan
injekcija Cyclophosphamide 20 mg/ml
NaHCO3 150
Kompatibilan
injekcija Cyclophosphamide
natrijumkorid 0,9% 4865
Kompatibilan
injekcija Cyclophosphamide
NaCL 0,45% glukoza 4865
Kompatibilan
injekcija Cyclophosphamide 10 mg/ml
Parenteralna prehrana (bezlipidna) 301
Kompatibilan
injekcija Cyclophosphamide 10 mg/ml
Parenteralna prehrana (lipidima) 1415
Kompatibilan
injekcija Cyclophosphamide
glukoza 5% 4989
Kompatibilan
injekcija Cyclophosphamide 10 mg/ml
injekcija Allopurinol sodium 3 mg/ml
natrijumkorid 0,9% 307
Kompatibilan
injekcija Cyclophosphamide 10 mg/ml
injekcija Amifostine 10 mg/ml
glukoza 5% 3
Neposredna zamućenost inkompatibilan
injekcija Cyclophosphamide 10 mg/ml
injekcija Amphotericin B cholesteryl sulfate complex 0.83 mg/ml
glukoza 5% 921
Kompatibilan
injekcija Cyclophosphamide
natrijumkorid 0,9% 4989
Kompatibilan
injekcija Cyclophosphamide 10 mg/ml
injekcija Anidulafungin 0.5 mg/ml
glukoza 5% 1982
Kompatibilan
injekcija Cyclophosphamide 10 mg/ml
injekcija Aztreonam 40 mg/ml
glukoza 5% 99
Kompatibilan
injekcija Cyclophosphamide 10 mg/ml
injekcija Cladribine 0.5 mg/ml
NaCL 0,9% + bakteriostatična 1496
Kompatibilan
injekcija Cyclophosphamide 10 mg/ml
injekcija Cladribine 0.015 mg/ml
natrijumkorid 0,9% 1496
Kompatibilan
injekcija Cyclophosphamide 10 mg/ml
injekcija Doripenem 5 mg/ml
glukoza 5% 2262
Kompatibilan
injekcija Cyclophosphamide 10 mg/ml
injekcija Doripenem 5 mg/ml
natrijumkorid 0,9% 2262
Kompatibilan
injekcija Cyclophosphamide 10 mg/ml
injekcija Doxorubicin hydrochloride liposome peg 0.4 mg/ml
glukoza 5% 251
Kompatibilan
injekcija Cyclophosphamide 10 mg/ml
injekcija Etoposide phosphate 5 mg/ml
glukoza 5% 1410
Kompatibilan
injekcija Cyclophosphamide 10 mg/ml
injekcija Filgrastim 30 µg/ml
glukoza 5% 244
Kompatibilan
injekcija Cyclophosphamide 10 mg/ml
injekcija Fludarabine phosphate 1 mg/ml
glukoza 5% 492
Kompatibilan
injekcija Cyclophosphamide 20 mg/ml
injekcija Gallium nitrate 1 mg/ml
natrijumkorid 0,9% 91
Kompatibilan
injekcija Cyclophosphamide 10 mg/ml
injekcija Gemcitabine hydrochloride 10 mg/ml
natrijumkorid 0,9% 1423
Kompatibilan
injekcija Cyclophosphamide 2 mg/ml
injekcija Granisetron hydrochloride 1 mg/ml
čista voda za injektiranje 57
Kompatibilan
injekcija Cyclophosphamide 1 mg/ml
injekcija Hydroxyzine dihydrochloride 0.5 mg/ml
glukoza 5% 331
Kompatibilan
injekcija Cyclophosphamide 4 mg/ml
injekcija Idarubicin hydrochloride 1 mg/ml
natrijumkorid 0,9% 491
Padavine nakon 4 sata inkompatibilan
injekcija Cyclophosphamide 10 mg/ml
injekcija Lansoprazole 0.55 mg/ml
natrijumkorid 0,9% 1625
Kompatibilan
injekcija Cyclophosphamide 10 mg/ml
injekcija Linezolid 2 mg/ml
nijedan 1925
Kompatibilan
injekcija Cyclophosphamide 10 mg/ml
injekcija Melphalan 0.1 mg/ml
natrijumkorid 0,9% 169
Kompatibilan
injekcija Cyclophosphamide 1.8 mg/ml
injekcija Mesna 0.54 mg/ml
glukoza 5% 1833
Kompatibilan
injekcija Cyclophosphamide 10.8 mg/ml
injekcija Mesna 3.2 mg/ml
glukoza 5% 1833
Kompatibilan
injekcija Cyclophosphamide 1 >> 10 mg/ml
injekcija Mesna 0.2 >> 10 mg/ml
natrijumkorid 0,9% 2104
Kompatibilan
injekcija Cyclophosphamide 20 mg/ml
injekcija Methotrexate sodium 30 mg/ml
natrijumkorid 0,9% 150
Neodređena nespojivost inkompatibilan
injekcija Cyclophosphamide
injekcija Mitomycin
4471
Kemijska nestabilnost inkompatibilan
injekcija Cyclophosphamide
injekcija Mitomycin
3128
Kompatibilan
injekcija Cyclophosphamide 2 mg/ml
injekcija Ondansetron hydrochloride 0,4 mg/ml
natrijumkorid 0,9% 50
Kompatibilan
injekcija Cyclophosphamide 0,3 mg/ml
injekcija Ondansetron hydrochloride 0,05 mg/ml
natrijumkorid 0,9% 50
Kompatibilan
injekcija Cyclophosphamide 20 mg/ml
injekcija Ondansetron hydrochloride 0,016 >> 0,16 mg/ml
čista voda za injektiranje 3574
Kompatibilan
injekcija Cyclophosphamide 0,3 mg/ml
injekcija Ondansetron hydrochloride 0,05 mg/ml
glukoza 5% 50
Kompatibilan
injekcija Cyclophosphamide 2 mg/ml
injekcija Ondansetron hydrochloride 0,4 mg/ml
glukoza 5% 50
Kompatibilan
injekcija Cyclophosphamide 10 mg/ml
injekcija Ondansetron hydrochloride 1 mg/ml
natrijumkorid 0,9% 334
Kompatibilan
injekcija Cyclophosphamide 10 mg/ml
injekcija Oxaliplatin 0,5 mg/ml
glukoza 5% 1662
Kompatibilan
injekcija Cyclophosphamide 10 mg/ml
injekcija Paclitaxel 1.2 mg/ml
glukoza 5% 85
Kompatibilan
injekcija Cyclophosphamide 10 mg/ml
injekcija Palonosetron hydrochloride 50 µg/ml
glukoza 5% 2016
Kompatibilan
injekcija Cyclophosphamide 10 mg/ml
injekcija Pemetrexed disodium 20 mg/ml
natrijumkorid 0,9% 1953
Kompatibilan
injekcija Cyclophosphamide 10 mg/ml
injekcija Piperacillin sodium / tazobactam 40/5 mg/ml
glukoza 5% 81
Kompatibilan
injekcija Cyclophosphamide 10 mg/ml
injekcija Propofol 10 mg/ml
nijedan 300
Nestabilnost emulzije nakon 24 sati inkompatibilan
injekcija Cyclophosphamide 4 mg/ml
injekcija Propofol
660
Kompatibilan
injekcija Cyclophosphamide 10 mg/ml
injekcija Sargramostim 10 µg/ml
natrijumkorid 0,9% 335
Kompatibilan
injekcija Cyclophosphamide 20 mg/ml
injekcija Sodium bicarbonate 14 mg/ml
nijedan 150
Kompatibilan
injekcija Cyclophosphamide 10 mg/ml
injekcija Teniposide 0.1 mg/ml
glukoza 5% 905
Kompatibilan
injekcija Cyclophosphamide 10 mg/ml
injekcija Thiotepa 1 mg/ml
glukoza 5% 249
Kompatibilan
injekcija Cyclophosphamide 20 mg/ml
injekcija Topotecan 0.056 mg/ml
glukoza 5% 1026
Kompatibilan
injekcija Cyclophosphamide 20 mg/ml
injekcija Topotecan 0.056 mg/ml
natrijumkorid 0,9% 1026
Kompatibilan
injekcija Cyclophosphamide 10 mg/ml
injekcija Vinorelbine tartrate 1 mg/ml
natrijumkorid 0,9% 84

  Mentions Légales